Title: Being Well-Born: An Introduction to Eugenics
Author: Michael F. Guyer
Editor: M. V. O'Shea
Release date: May 21, 2012 [eBook #39751]
Language: English
Credits: Produced by Bryan Ness and the Online Distributed
Proofreading Team at http://www.pgdp.net (This file was
produced from images generously made available by The
Internet Archive.)

BEING WELL-BORN
AN INTRODUCTION TO EUGENICS
By
MICHAEL F. GUYER, Ph. D.
Professor of Zoology, The University of Wisconsin
Childhood and Youth Series
Edited by M. V. O’SHEA
Professor of Education, The University of Wisconsin
INDIANAPOLIS
THE BOBBS-MERRILL COMPANY
PUBLISHERS
Copyright 1916
The Bobbs-Merrill Company
PRESS OF
BRAUNWORTH & CO.
BOOKBINDERS AND PRINTERS
BROOKLYN, N. Y.
TO MY WIFE
HELEN M. GUYER
The writer recalls that when he was a young boy, he heard the grown-up people in the community earnestly and incessantly debating the question: Does heredity play a greater part in shaping one’s mind and body than does his environment? From that day to this he has listened to men and women in every walk of life discussing the relation of heredity to environment in determining human traits. Teachers and parents are constantly asking: “Are such and such characteristics in my children due to their inheritance or to the way they have been trained?” Students of juvenile delinquency and of mental defect and deficiency are searching everywhere for light on this matter. It is not to be wondered at that practically all people are peculiarly interested in this problem, since it concerns intimately one’s personal traits, and it constantly confronts any one who is responsible for the care and culture of the young.
It is suggestive to note how people differ in their views regarding the extent to which a child’s physical and mental qualities and capacities are fixed definitely by his inheritance. The writer has often heard students in university classes discuss the subject; and their handling of the problem has shown how superficially and even superstitiously most persons regard the mechanism and functions of heredity. It is significant also to observe what extreme views many people hold regarding the possibility of affecting a child’s traits and abilities by subjecting him to specific influences during his prenatal life. In any group of one hundred persons chosen at random, probably seventy-five will believe in specific prenatal influence. Many of them will believe in birthmarks due to peculiar experiences of the mother. A popular book recently published asserts among other things that if a mother will look upon beautiful pictures and listen to good music during the prenatal period of her child, the latter will possess esthetic traits and interests in high degree. On the other hand, people generally do not seem to think that degenerate parents beget only degenerate children. Alcoholics, feeble-minded persons and the like are permitted to bring children into the world.
Very few people have any precise knowledge of the mechanism of heredity. The whole thing is inscrutable to them, and is shrouded in mystery. Superstition flourishes among even intelligent persons in respect to heredity, and errors due to education, and tragedies resulting from vicious social organization are all alike ascribed to its uncontrollable forces. Most people are none the wiser because they do not know to what extent the physical and mental defects and deviations of individuals are due to inheritance or to the malign influences of the individual’s environment and training.
Professor Guyer, who has studied the whole problem in a thoroughgoing, scientific way, has prepared this book with a view to illuminating some of the mysteries that surround the subject of heredity, and to dispelling the illusions that persist regarding it. He shows the method which nature follows in the development of the individual. He presents the laws which have become established respecting the extent to which and the manner in which immediate and remote ancestors contribute to the child’s physical and mental organism. He answers many questions which those who are engaged in social work or in education in the home or the school are asking to-day. He discusses subjects upon which every serious-minded person wishes to be informed. He has thus made a book which is both of theoretical and of practical interest.
He has written in a style which should make his book attractive to the parent and the teacher as well as to the student of the complicated mechanism of inheritance. Only a few special terms are used, and these should not give any reader trouble, because the treatment throughout is so concrete that the meaning of the terms will be easily grasped. Further, the book is illustrated, with many attractive and instructive illustrations which will show at a glance the working of the principles of inheritance which are developed in the text.
This book may be heartily commended to all who are interested in questions of human nature, education and social reform. It should enable the parent, the teacher and the legislator to understand more clearly than most of them now do in how far children’s traits and possibilities are or can be fixed by inheritance as contrasted with environmental conditions and nurture in home, school, church and institutional life.
M. V. O’Shea.
Madison, Wisconsin.
One of the most significant processes at work in society to-day is the awakening of the civilized world to the rights of the child; and it is coming to be realized that its right of rights is that of being well-born. Any series of publications, therefore, dealing primarily with the problems of child nature may very fittingly be initiated by a discussion of the factor of well-nigh supreme importance in determining this nature, heredity.
No principles have more direct bearing on the welfare of man than those of heredity, and yet on scarcely any subject does as wide-spread ignorance prevail. This is due in part to the complexity of the subject, but more to the fact that in the past no clear-cut methods of attacking the manifold problems involved had been devised. Happily this difficulty has at least in part been overcome.
It is no exaggeration to say that during the last fifteen years we have made more progress in measuring the extent of inheritance and in determining its elemental factors than in all previous time. Instead of dealing wholly now with vague general impressions and speculations, certain definite principles of genetic transmission have been disclosed. And since it is becoming more and more apparent that these hold for man as well as for plants and animals in general, we can no longer ignore the social responsibilities which the new facts thrust upon us.
Since what a child becomes is determined so largely by its inborn capacities it is of the greatest importance that teachers and parents realize something of the nature of such aptitudes before they begin to awaken them. For education consists in large measure in applying the stimuli necessary to set going these potentialities and of affording opportunity for their expression. Of the good propensities, some will require merely the start, others will need to be fostered and coaxed into permanence through the stereotyping effects of proper habits; of the dangerous or bad, some must be kept dormant by preventing improper stimulation, others repressed by the cultivation of inhibitive tendencies, and yet others smothered or excluded by filling their place with desirable traits before they themselves come into expression.
We must see clearly, furthermore, that even the best of pedagogy and parental training has obvious limits. Once grasp the truth that a child’s fate in life is frequently decided long before birth, and that no amount of food or hospital service or culture or tears will ever wholly make good the deficiencies of bad “blood,” or in the language of the biologist, a faulty germ-plasm, and the conviction must surely be borne home to the intelligent members of society that one thing of superlative importance in life is the making of a wise choice of a marriage mate on the one hand, and the prevention of parenthood to the obviously unfit on the other.
In the present volume it is intended to examine into the natural endowment of the child. And since full comprehension of it requires some understanding of the nature of the physical mechanism by which hereditary traits are handed on from generation to generation, a small amount of space is given to this phase. Then, that the reader may appreciate to their fullest extent the facts gathered concerning man, a review of the more significant principles of genetics as revealed through experiments in breeding plants and animals has been undertaken. The main applications of these principles to man is pointed out in a general discussion of human heredity. Finally, inasmuch as all available data indicate that the fate of our very civilization hangs on the issue, the work concludes with an account of the new science of eugenics which is striving for the betterment of the race by determining and promulgating the laws of human inheritance so that mankind may intelligently go about conserving good and repressing bad human stocks.
In order to eliminate as many errors as possible and to avoid oversights I have submitted various chapters to certain of my colleagues and friends who are authorities in the special field treated therein. While these gentlemen are in no way responsible for the material of any chapter they have added greatly to the value of the whole by their suggestions and comments. Thus I am indebted to Professor Leon J. Cole for reading the entire manuscript; to Professors A. S. Pearse and F. C. Sharp for reading Chapter VII; to Professor C. R. Bardeen for reading special parts; to Doctor J. S. Evans for reading Chapter VI and part of V; to Doctor W. F. Lorenz, of the Mendota Hospital, for reading Chapter VIII; to Judge E. Ray Stevens for reading Chapter IX, and to Helen M. Guyer for several readings of the entire manuscript.
Grateful acknowledgment is made to all of these readers, to various publishers and periodicals for the use of certain of the illustrations, to the authors of the numerous books and papers from which much of the material in such a work as this must necessarily be selected, and to my artist, Miss H. J. Wakeman, for her painstaking endeavors to make her work conform to my ideas of what each diagram should show.
M. F. G.
CONTENTS
| CHAPTER | PAGE | |
| I | Heredity | 1 |
| Blood heritage—Kind determined by origin—Ancestry a network—Ancestry in royalty—Offspring derived from one parent only—Dual ancestry an aid in studying heredity—Reversion—Telegony—Prenatal influences apart from heredity—Parent body and germ not identical—A hereditary character defined—Hereditary mingling a mosaic rather than a blend—Determiners of characters, not characters themselves, transmitted—Our knowledge of heredity derived along three lines—The method of experimental breeding—The statistical method—Galton’s law of regression—Correlations between parents and offspring—The biometrical method, statistical, not physiological—Mental as well as physical qualities inheritable. | ||
| II | The Bearers of the Heritage | 20 |
| The cell the unit of structure—Unicellular organisms—Importance of cell-theory—Heredity in unicellular forms—Reproduction and heredity in colonial protozoa—Conjugation—Specialization of sex-cells—The fertilized ovum—Advancement seen in the Volvox colony—Natural death—Specialization in higher organisms—Sexual phenomena in higher forms—Cell-division—Chromosomes constant in number and appearance—Significance of the chromosomes—Cleavage of the egg—Chief processes operative in building the body—The origin of the new germ-cells—Significance of the early setting apart of the germ-cells—Individuality of chromosomes—Pairs of chromosomes—Reduction of the number of chromosomes by one-half—Maturation of the sperm-cell—Maturation of the egg-cell—Parallel between the two processes—Fertilization—Significance of the behavior of the chromosomes—A single set of chromosomes sufficient for the production of an organism—The duality of the body and the singleness of the germ—The cytoplasm in inheritance—Chromosomes possibly responsible for the distinctiveness of given characters—Sex and heredity—Many theories of sex determination—The sex-chromosome—Sex-linked characters in man—In lower forms. | ||
| III | Mendelism | 67 |
| New discoveries in the field of heredity—Mendel—Rediscovery of Mendelian principles—Independence of inheritable characters—Illustration in the Andalusian fowl—The cause of the ratio—Verification of the hypothesis—Dominant and recessive—Segregation in the next generation—Illustrated in guinea-pigs—Terminology—The theory of presence and absence—Additional terminology—Dominance not always complete—Modifications of dominance—Mendel’s own work—Dihybrids—Getting new combinations of characters—Segregations of the determiners—Four kinds of gametes in each sex—The 9:3:3:1 ratio—Phenotype and genotype—The question of blended inheritance—Nilsson-Ehle’s discoveries—Such cases easily mistaken for true blends—Skin-color in man—Questionable if real blends exist—The place of the Mendelian factors in the germ-cell—Parallel between the behavior of Mendelian factors and chromosomes—A single chromosome not restricted to carrying a single determiner. | ||
| IV | Mendelism in Man | 97 |
| Probably applicable to many characters in man—Difficult to get correct data—A generalized presence-absence formula—Indications of incomplete dominance—Why after the first generation only half the children may show the dominant character—Eye-color in man—Hair-color—Hair-shape—Irregularities—Digital malformations—Eye defects—Other defects inherited as dominants—Recessive conditions more difficult to deal with—Albinism—Other recessive conditions in man—Breeding out defects—Other inheritable conditions in man. | ||
| V | Are Modifications Acquired Directly by the Body Inherited? | 121 |
| Which new characters are inherited?—Examples of somatic modifications—Use and disuse—The problem stated—Special conditions in mammals—Three fundamental questions—External influences may directly affect the germ-cells—Such effects improbable in warm-blooded animals—Poisons may affect the germ-plasm—How can somatic modifications be registered in germ-cells?—Persistence of Mendelian factors argues against such a mode of inheritance—Experiments on insects—On plants—On vertebrates—Epilepsy in guinea-pigs—Effects of mutilations not inherited—Transplantation of gonads—Effects of body on germ, general not specific—Certain characters inexplicable as inherited somatic acquirements—Neuter insects—Origin of new characters in germinal variation—Sexual reproduction in relation to new characters—Many features of an organism characterized by utility—Germinal variation a simpler and more inclusive explanation—Analysis of cases—Effects of training—Instincts—Disease—Reappearance not necessarily inheritance—Prenatal infection not inheritance—Inheritance of a predisposition not inheritance of a disease—Tuberculosis—Two individuals of tubercular stock should not marry—Special susceptibility less of a factor in many diseases—Deaf-mutism—Gout—Nervous and mental diseases—Other disorders which have hereditary aspects—Induced immunity not inherited—Social, ethical and educational significance of non-inheritance of somatic modifications—No cause for discouragement—Improved environment will help conserve superior strains when they do appear. | ||
| VI | Prenatal Influences | 159 |
| All that a child possesses at birth not necessarily hereditary—The myth of maternal impressions—Injurious prenatal influences—Lead poisoning—The expectant mother should have rest—Too short intervals between children—Expectant mothers neglected—Alcoholism—Unreliability of most data—Alcohol a germinal and fetal poison—Various views of specialists on the effects of alcoholism on progeny—The affinity of alcohol for germinal tissue—Innate degeneracy versus the effects of alcohol—Experimental alcoholism in lower animals—Further remarks on the situation in man—Much inebriety in man due to defective nervous constitution—Factors to be reckoned with in the study of alcoholism—Venereal diseases—The seriousness of the situation—Infantile blindness—Syphilis—Some of the effects—A blood test—Many syphilitics married—Why permit existing conditions to continue?—Ante-nuptial medical inspection—The perils of venereal disease must be prevented at any cost—Bad environment can wreck good germ-plasm. | ||
| VII | Responsibility for Conduct | 195 |
| All mental process accompanied by neural process—Gradations in nervous response from lower organisms to man—Behavior of many animals often an automatic adjustment to simple external agents—Tropisms—Certain apparently complex volitions probably only tropisms—Complicating factors—Many tropic responses apparently purposeful—Tropisms grade into reflex actions and instincts—Adjustability of instincts opens the way for intelligent behavior—Modification of habits possible in lower animals—Some lower vertebrates profit by experience—Rational behavior—Conceptual thought probably an outgrowth of simpler psychic states—The capacity for alternative action in higher animals—The elemental units of the nervous system are the same in lower and higher animals—Neuron theory—Establishment of pathways through the nervous system—Characteristic arrangements of nerve cells subject to inheritance—Different parts of the cortex yield different reactions—Skill acquired in one branch of learning probably not transferred to another branch—Preponderance of cortex in highest animals—Special fiber tracts in the spinal cord of man and higher apes—Great complexity in associations and more neurons in the brain of man—The nervous system in the main already staged at the time of birth—Many pathways of conduction not yet established—The extent of the modifiable zone unknown—Various possibilities of reaction in the child—Probable origin of altruistic human conduct—Training in motive necessary—Actual practise in carrying out projects important—Interest and difficulty both essential—The realization of certain possibilities of the germ rather than others is subject to control—We must afford the opportunity and provide the proper stimuli for the development of good traits—Moral responsibility. | ||
| VIII | Mental and Nervous Defects | 228 |
| Prevalence of insanity—Imperfect adjustments of the brain mechanism inheritable—Many mental defectives married—Disproportionate increase in number of mental defectives—Protests voiced by alienists—Examples of hereditary feeble-mindedness—Difficult to secure accurate data—Feeble-mindedness and insanity not the same—Many types of insanity—Not all insanities of the same eugenical significance—Difficulties of getting genealogies of specific forms of insanity—Certain forms of insanity seem to behave as Mendelian recessives—Grades of feeble-mindedness—About two-thirds of feeble-mindedness inherited—Some results of non-restraint of the feeble-minded—Not all cases of mental deficiency inherited—Epileptics—Feeble-mindedness probably a recessive—Many apparently normal people are carriers of neuropathic defects—Tests for mental deficiency—The backward child in school—The exceptionally able child—Cost of caring for our mentally disordered—Importance of rigid segregation of the feeble-minded—Importance of early diagnosis of insanity—Opinion of competent psychiatrists essential—Some insanities not hereditary—Importance of heredity in insanity not appreciated. | ||
| IX | Crime and Delinquency | 263 |
| Heredity and environment in this field—Feeble-mindedness often a factor—Many delinquent girls mentally deficient—Institutional figures misleading—Many prisoners mentally subnormal—Inhibitions necessary to social welfare—The high-grade moron a difficult problem—Degenerate strains—Intensification of defects by inbreeding—Vicious surroundings not a sufficient explanation in degenerate stocks—Not all delinquents defectives—No special inheritable crime-factor—What is a born criminal?—Epileptic criminal especially dangerous—The mental disorders most frequently associated with crime—Bearing of immigration on crime and delinquency—Sexual vice—School instruction in sex-hygiene—Mere knowledge not the crux of the sex problem—Early training in self-restraint an important preventive of crime and delinquency—Multiplication of delinquent defectives must be prevented. | ||
| X | Race Betterment Through Heredity | 289 |
| Questionable charity—Past protests—An increasing flood of defectives—Natural elimination of defectives done away with—Why not prevent our social maladies?—Eugenics defined—Improved environment alone will not cure racial degeneracy—Heredity and environment—Inter-racial marriage—Human conservation—Kindness in the long run—The problem has two phases—Constructive eugenics must be based on education—Inferior increasing more rapidly than superior stocks—An unselected population may contain much valuable material—The lack of criteria for judging fitness—The college graduate—Native ability, independence and energy eugenically desirable—Four children to each marriage required to maintain a stock—Factors contributing to low birth-rate in desirable strains—The educated public must be made to realize the situation—Utilization of family pride as a basis for constructive eugenics—The tendency for like to marry like—Public opinion as an incentive to action—Choosing a marriage mate means choosing a parent—The best eugenic marriage also a love match—The elimination of the grossly unfit urgent—Suggested remedies—Inefficacy of laws which forbid marriage of mental defectives—Systems of mating impracticable in the main—Corrective mating presupposes knowledge of eugenics—Segregation has many advocates—Sterilization as a eugenic measure—To what conditions applicable—In insanity—In feeble-mindedness—In cases of epilepsy—Sterilization laws—Social dangers in vasectomy—Our present knowledge insufficient—Sterilization laws on trial—An educated public sentiment the most valuable eugenic agent—The question of personal liberty—Education of women in eugenics needed—Much yet to be done—A working program—Which shall it be? | ||
| Glossary | 343 | |
| References for Further Reading and Study | 355 | |
| Index | 361 |
BEING WELL-BORN
HEREDITY
It is a commonplace fact that offspring tend to resemble their parents. So commonplace, indeed, that few stop to wonder at it. No one misunderstands us when we say that such and such a young man is “a chip off the old block,” for that is simply an emphatic way of stating that he resembles one or the other of his parents. The same is true of such familiar expressions as “what’s bred in the bone,” “blood will tell,” and kindred catch phrases. All are but recognitions of the same common fact that offspring exhibit various characteristics similar to those of their progenitors.
Blood Heritage.—To this phenomenon of resemblance in successive generations based on ancestry the term heredity is applied. In man, for instance, there is a marked tendency toward the reappearance in offspring of structures, habits, features, and even personal mannerisms, minute physical defects, and intimate mental peculiarities like those possessed by their parents or more remote forebears. These personal characteristics based on descent from a common source are what we may call the blood heritage of the child to discriminate it from a wholly[Pg 2] different kind of inheritance, namely, the passing on from one generation to the next of such material things as personal property or real estate.
Kind Determined by Origin.—It is inheritance in the sense of community of origin that determines whether a given living creature shall be man, beast, bird, fish, or what not. A given individual is human because his ancestors were human. In addition to this stock supply of human qualities he has certain well-marked features which we recognize as characteristics of race. That is, if he is of Anglo-Saxon or Italian or Mongolian parentage, naturally his various qualities will be Anglo-Saxon, Italian, or Mongolian. Still further, he has many distinctive features of mind and body that we recognize as family traits and lastly, his personal characteristics such as designate him to us as Tom, Harry, or James must be added. The latter would include such minutiæ as size and shape of ears, nose or hands; complexion; perhaps even certain defects; voice; color of eyes; and a thousand other particulars. Although we designate these manifold items as individual, they are in reality largely more or less duplicates of similar features that occur in one or the other of his progenitors, features which he would not have in their existing form but for the hereditary relation between him and them.
“O Damsel Dorothy! Dorothy Q.!
Strange is the gift that I owe to you;
·····
What if a hundred years ago
Those close-shut lips had answered ‘No,’
·····
[Pg 3]Should I be I, or would it be
One-tenth another, to nine-tenths me?”
“Soft is the breath of a maiden’s yes;
Not the light gossamer stirs with less;
But never a cable that holds so fast
Through all the battles of wave and blast,
And never an echo of speech or song
That lives in the babbling air so long!
There were tones in the voice that whispered then
You may hear to-day in a hundred men.”
When life steps into the world of matter there comes with it a sort of physical immortality, so to speak; not of the individual, it is true, but of the race. But the important thing to note is that the race is made up, not of a succession of wholly unrelated forms, but a continuation of the same kind of living organisms, and this sameness is due to the actual physical descent of each new individual from a predecessor. In other words, any living organism is the kind of organism it is in virtue of its hereditary relation to its ancestors.
It is part of the biologist’s task to seek a material basis, a continuity of actual substance, for this continuity of life and form between an organism and its offspring. Moreover, inasmuch as the offspring is never precisely similar to its progenitors he must determine also what qualities are susceptible of transmission and in what measure.
Ancestry a Network.—From the fact that each child has all of the ancestors of its mother as well as of its father, arises the great complications which are met with in determining the lineage of an individual.[Pg 4] A person has two parents, four grandparents, eight great grandparents, and thus following out pedigree it is plain to be seen that through this process of doubling in each generation, in the course of a few centuries one’s ancestry is apparently enormous. By actual computation, according to Professor D. S. Jordan, if we count thirty generations back to the Norman invasion of England in 1066, at this ratio of duplication, the child of to-day would have had at that time an ancestry of 8,598,094,592 persons. But we know that the total number of inhabitants in England during the time of William the Conqueror was but a small fraction of this enormous aggregate. This means that we shall have to modify our inference that a child has twice as many ancestors as its parents; a condition which at first sight seems evident, but which is not literally true. The fact is that the parents of the child, in all probability, have many ancestors in common—a state of affairs which is brought about through the intermarriage of relatives, and this is especially frequent among remoter descendants of common progenitors. Time after time in genealogy strains of blood have crossed and recrossed until it is not improbable that a man of to-day who is of English origin has the blood in his veins from every inhabitant of England who lived during the time of William the Conqueror and left fruitful descendants. Instead of conceiving of ancestry as an ever branching and widening tree-like system as it recedes into the past, it is more accurate, therefore, to regard it in the light of an elaborate meshwork. The “family tree” in reality becomes the family net.
[Pg 5]Ancestry in Royalty.—The pedigrees of royal families have proved to be of much importance in the study of human inheritance, not that royal traits are any more heritable than any other, but simply because the records have been carefully kept so that they are the most comprehensive and easily followed pedigrees available. The netlike weave of ancestry is particularly well exemplified in some of these families because of much close intermarriage. Their heritage typifies on an intensified scale the heritage of the mass of mankind. For example, if we go six generations back in the ancestry of Frederick the Great instead of the expected sixty-four individual ancestors we find only forty; or in a still more closely woven stock, in the Spanish royal line of Don Carlos we find in six generations instead of sixty-four individual ancestors, only twenty-eight. While the present German emperor might have had four thousand ninety-six ancestors in the twelfth generation back, it is estimated that owing to intermarriage he probably had only five hundred thirty-three.
Offspring Derived from One Parent Only.—So far in our reckoning of heredity we have counted elements from both father and mother, and the complications which arise from such a double ancestry are manifestly very perplexing ones. If we could do away with the elements of sex and find offspring that are derived from one parent only, it would seemingly simplify our problem very much for we should thus have a direct line of descent, free from intermingling. This, in fact, occurs to a greater or less extent among lower animals in a number of instances. There may[Pg 6] be only female forms for a number of generations and the eggs which they produce develop directly into new individuals. Moreover, many of the simpler organisms have the power of dividing their bodies into two and thus giving rise to two new forms, each of which resembles the parent. This shows plainly that we may have inheritance without the appearance of any male ancestor at all, hence sex is not always a necessary factor in reproduction or heredity. The development of eggs asexually, that is, without uniting first with a male cognate, is termed parthenogenesis. The ordinary plant louse or aphid which is frequently found upon geraniums is a familiar example of an animal which reproduces largely in this way. During the summer only the females exist and they are so astonishingly fertile that one such aphid and her progeny, supposing none dies, will produce one hundred million in the course of five generations. In the last broods of the fall, males and females appear and fertile eggs are produced which lie dormant through the winter to start the cycle of the next year. Again, the eggs of some kinds of animals which normally have to unite with a male germ before they develop, can be made to develop by merely treating them with chemical solutions. The difference between an offspring derived in such a manner, and one which has developed from an egg fertilized by the male is that it is made up of characteristics from only one source, the maternal.
Dual Ancestry an Aid in Studying Heredity.—Although we have the factors of heredity in a more simplified form in the case of asexual transmission,[Pg 7] as a matter of fact most of our insight into the problems of heredity has been attained from a study of sexually reproducing forms, because the very existence of two sets of more or less parallel features offers a kind of checking up system by which we can follow a given characteristic.
Reversion.—Occasionally, however, plants and animals do not develop the complete individuality we might expect, but stop short at or re-attain some ancestral stage along the line of descent, and thus come to resemble some progenitor perhaps many generations back of their own time. Thus it is well known that as regards one or more characteristics a child may resemble a grandparent or often some remote ancestor much more closely than it does its immediate parent. The reappearance of such ancestral traits the student of heredity designates as Reversion or Atavism.
Reversion may occur apparently in any class of plants or animals. It is especially pronounced among domesticated forms, which through man’s selection have been produced under more or less artificial conditions. For example, among fancy breeds of pigeons, there may be an occasional return to the old slaty blue color of the ancestral rock-pigeon, with two dark cross-bars on the wings, from which all modern breeds have been derived. This is almost sure to happen if the fancy varieties are inter-crossed for two or three generations. Another example of reversion frequently cited is the occasional reappearance in domestic poultry of the reddish or brownish color pattern of the ancestral jungle-fowl to which, among[Pg 8] modern forms, the Indian game seems most nearly related in color. Still another example is the cross-bars or stripes occasionally to be seen on the forelegs of colts, particularly mules, reminiscent of the extinct wild progenitors which were supposedly striped.
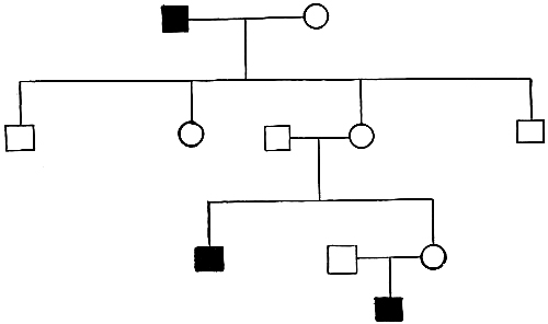
Fig. 1, p. 9, is a picture of a hybrid between the common fowl and the guinea-fowl. The chevron-like markings on certain feathers show a reversion to a type of color pattern that is prevalent among both the primitive pheasants (the domestic chicken is a pheasant) and the primitive guinea-fowls. Although the common spotted guinea-fowl may be crossed with a black chicken which shows no trace of barring, nevertheless the hybrid offspring are likely to bear a chevron-like pattern such as that shown in the picture.
There has been much quibbling over the relative meanings of reversion and atavism. The general idea, whichever term we use, is that there is a “throwing back” in a noticeable degree through inheritance to some ancestral condition beyond the immediate parents. A few recent authors have taken the term atavism in a restricted sense and use it to signify specifically those not uncommon cases in which a particular character of an offspring resembles the corresponding character of a grandparent instead of a parent. Such, for example, as the blue eye-color of a child with brown-eyed parents, each of whom in turn has had a blue-eyed parent. The tendency of other authors is to abandon the term entirely because of the diversity of meaning that has been attached to it in the past.

Fig. 1
Hybrid between the guinea-fowl and the common fowl,showing in many feathers reversion to a primitive chevron-like barring.
Certain classes of so-called reversions, such as the case of the eye-color just cited, are readily explicable on Mendelian principles as we shall see in a later chapter, but probably not all kinds of phenomena described as reversion can be so explained. For example, some seem to be cases of suppressed development. The word reversion, indeed, must be looked on[Pg 10] as a convenient descriptive term rather than as the name of a single specific condition.
Telegony.—There is yet a wide-spread belief in the supposed influence of an earlier sire on offspring born by the same mother to a later and different sire. This alleged phenomenon is termed telegony. For example, many dog-breeders assert that if a thoroughbred bitch has ever had pups by a mongrel father, her later offspring, although sired by a thoroughbred, will show taints of the former mongrel mating. In such cases the female is believed to be ruined for breeding purposes. Other supposed instances of such influences have been cited among horses, cattle, sheep, pigs, cats, birds, pets of various kinds and even men. The historic case most frequently quoted is that of Lord Morton’s mare which bore a hybrid colt when bred to a quagga, a striped zebra-like animal now extinct. In later years the same mare bore two colts, sired by a black Arabian horse. Both colts showed stripes on the neck and other parts of the body, particularly on the legs. It was inferred that this striping was a sort of after effect of the earlier breeding with the quagga. In recent times, however, Professor Ewart has repeated the experiment a number of times with different mares using a Burchell zebra as the test sire. Although his experiments have been devised so as to conduce in every way possible to telegony his results have been negative. Moreover, it has been pointed out that the stripes on the legs of the two foals alleged to show telegony could not have been derived from the quagga sire for, unlike zebras, quaggas did not have their legs striped. Furthermore[Pg 11] it is known that the occurrence of dark brown stripes on the neck, withers and legs of ordinary colts is not uncommon, some cases of which have exhibited more zebra-like markings than those of the colts from Lord Morton’s mare. It seems much more probable, therefore, that the alleged instances are merely cases of ordinary reversion to the striped ancestral color pattern which probably characterized the wild progenitors of the domesticated horse.
Various experiments on guinea-pigs, horses, mice and other forms, especially devised to test out this alleged after-influence of an earlier sire, have all proved negative and the general belief of the biologist to-day is that telegony is a myth.
Prenatal Influences Apart from Heredity.—In discussing the problems of heredity it is necessary to consider also the possibilities of external influences apart from lineage which may affect offspring through either parent. Although modifications derived directly by the parent, and prenatal influences in general, are of extremely doubtful value as of permanent inheritable significance, nevertheless they must be reckoned with in any inventory of a child’s endowment at birth. Impaired vitality on the part of the mother, bad nutrition and physical vicissitudes of various kinds all enter as factors in the birthright of the child, who, moreover, may bear in its veins slumbering poisons from some progenitor who has handed on blood taints not properly attributable to heredity. Of such importance is this kind of influence to the welfare of the immediate child that it will be necessary to discuss it in considerable detail in a later chapter.
[Pg 12]Parent Body and Germ Not Identical.—Inasmuch as each new individual appears to arise from material derived from its parent, taking the evidence at its face value one might suppose that any peculiarity of organization called forth in the living substance of the parent would naturally be repeated in the offspring, but a closer study of the developing organism from its first inception to maturity shows this to be probably a wrong conclusion. The parent-body and the reproductive substance contained in that body are by no means identical. It becomes an important question to decide, in fact, how much effect, if any, either permanent or temporary, the parent-body really has on the germ.
A given fertile germ (Fig. 2, p. 13) gives rise by a succession of divisions to a body which we call the individual, but such a germ also gives rise to a series of new germ-cells which reside in that individual, and it is these germ-cells, not something derived from the body, that pass on the determiners of distinguishing features or qualities from generation to generation. It is only by grasping the significance of this fact that we can understand how in certain cases a totally different set of characters may appear in an offspring than those manifested in either parent.
An Hereditary Character Defined.—By a character, in discussions in heredity, is meant simply a trait, feature or other characteristic of an organism. Where we can pick out a single definable characteristic which acts as a unit in heredity, for greater accuracy we term it a unit-character. Many traits are known to be inherited on a unit basis or are capable of being[Pg 13] analyzed into factors which are so inherited. These unit-characters are in large measure inherited independently of one another apparently, although cases of characters inherited as a unit along with other characters are known.
Hereditary Mingling a Mosaic Rather Than a Blend.—The independence of unit-characters in inheritance leads us to the important conclusion that the mingling of two lines of ancestry into a new individual is in no sense bringing them into the “melting pot,” as it has been picturesquely expressed, but it is rather to be regarded as the mingling of two mosaics, each particle of which retains its own individuality, and which, even if overshadowed in a given generation, may nevertheless manifest its qualities undimmed in later generations when conditions favorable to its expression transpire.

Fig. 2
Diagram illustrating germinal continuity. Through a series of divisions a germ-cell gives rise to a body or a soma and to new germ-cells. The latter, not the body, give rise in turn to the next generation.
Determiners of Characters, Not Characters Themselves, Transmitted.—The fact should be thoroughly understood that the actual thing which is transmitted by means of the germ in inheritance is not the character itself, but something which will determine the[Pg 14] character in the offspring. It is important to remember this, for often these determiners, as they are called, may lie unexpressed for one or more generations and may become manifest only in later descendants. The truth of the matter is, the child does not inherit its characters from corresponding characters in the parent-body, but parent and child are alike because they are both products of the same line of germ-plasm, both are chips from the same old block.
METHODS OF STUDYING HEREDITY
Before entering into details it will be well to get some idea of the methods which are commonly employed in arriving at conclusions in the field of heredity. Some of these are extremely complex and all that we can do in an elementary presentation is to get a glimpse of the procedures.
Our Knowledge of Heredity Derived Along Three Lines.—Our modern conceptions of heredity have been derived mainly from three distinct lines of investigation: First, from the study of embryology, in which the biologist concerns himself with the genesis of the various parts of the individual, and the mechanism of the germs which convey the actual materials from which these parts spring; second, through experimental breeding of plants and animals to compare particular traits or features in successive generations; and third, through the statistical treatment of observations or measurements of a large number of parents and their offspring with reference to a given characteristic in order to determine the average [Pg 15]extent of resemblance between parents and children in that particular respect.
The Method of Experimental Breeding.—A tremendous impetus was given to the method of experimental breeding when it was realized that we can itemize many of the parts or traits of an organism into entities which are inherited independently one of another. Such traits, or as we have already termed them, unit-characters, may be not only independently heritable but independently variable as well. The experimental method seeks to isolate and trace through successive generations the separate factors which determine the individual unit-characters of the organism. In this attempt cross-breeding is resorted to. Forms which differ in one or more respects are mated and the progeny studied. Next these offspring are mated with others of their own kind or mated back with the respective parent types. In this way the behavior of a particular character may often be followed and the germinal constitutions of the individuals concerned can be formulated with reference to it. Inasmuch as we shall give much consideration to this method in the chapter on Mendelism we need not consider it further here.
The Statistical Method.—The statistical method seeks to obtain large bodies of facts and to deal with evidence as it appears through mathematical analysis of these facts. The attempt of its followers is to treat quantitatively all biological processes with which it is concerned. Historically Sir Francis Galton was the first to make any considerable application of statistical methods to the problems of heredity and variation. In[Pg 16] his attempts to determine the extent of resemblance between relatives of different degree as regards bodily, mental and temperamental traits, he devised new methods of statistical analysis which constitute the basis of modern statistical biology, or biometry as it is termed by its votaries. Professor Karl Pearson in particular has extended and perfected the mathematical methods of this field and stands to-day as perhaps its most representative exponent. The system is in the main based on the calculus of probability. The methods often are highly specialized, requiring the use of higher mathematics, and are therefore only at the command of specially trained workers.
Just as insurance companies can tell us the probable length of human life in a given social group, since although uncertain in any particular case, it is reducible in mass to a predictable constant, so the biometrician with even greater precision because of his improved methods can often, when a large number of cases are concerned, give us the intensity of ancestral influence with reference to particular characters.
For example, it is clear that by measuring a large number of adult human beings one can compute the average height or determine the height which will fit the greatest number. There will be some individuals below and some above it, but the greater the divergence from this standard height the fewer will be the individuals concerned.
Galton compared the heights of 204 normal English parents and their 928 adult offspring. In order to equalize the measurements of men and women he found he had to multiply each female height by 1.08.[Pg 17] Then, to take both parents into account when comparing height of parents to that of children he added the height of the father to the proportionately augmented height of the mother and divided by two, thus securing the height of what he termed the “mid-parent.” He found that the mid-parental heights of his subjects ranged from 64.5 to 72.5 inches, and that the general mode was about 68.5 inches. It should be mentioned that the mode, in a given population, represents the group containing the largest number of individuals of one kind; it may or may not coincide with the average. The children of all mid-parents having a given height were measured next and tabulated with reference to these mid-parents. The results of Galton’s measurements may be expressed simply as follows:
| MODE | |||||||||
| Height of mid-parent in inches | 64.5 | 65.5 | 66.5 | 67.5 | 68.5 | 69.5 | 70.5 | 71.5 | 72.5 |
| Average height of offspring | 65.8 | 66.7 | 67.2 | 67.6 | 68.3 | 68.9 | 69.5 | 69.9 | 72.2 |
The Law of Regression.—It is plain from this table that the offspring of short mid-parents tend to be under average or modal height though not so far below as their parents. Likewise children of tall parents tend to be tall but less tall than their parents. This fact illustrates what is known as Galton’s law of regression; namely, that if parents in a given population diverge a certain amount from the mode of the population as a whole, their children, while tending to[Pg 18] resemble them, will diverge less from this mode. It is clear that the extent of regression is an inverse measure of the intensity of inheritance from the immediate parents; if the deviation of the offspring from the general mode were nearly as great as that of their parents then the intensity of the inheritance must be high; if but slight—that is, if the offspring regressed nearly to the mode—then the intensity of the inheritance must be ranked as low. In the example in question it must be ranked as relatively high. Computations show that as regards stature the fraction two-thirds represents approximately the amount of resemblance between the two generations where both parents are considered.
Correlations Between Parents and Offspring.—In modern researches the conception of mid-parent and mid-grandparent as utilized by Galton has been largely abandoned. It has been found more convenient as well as more accurate to keep the measurements of the two parents separate and to deal with correlations between fathers and sons, fathers and daughters, mothers and sons, mothers and daughters, brother and brother, etc. Professor Pearson and his pupils have found for a number of characters that the correlation between either parent and children, whether sons or daughters, is relatively close. The correlation between brother and brother, sister and sister, and brother and sister, usually ranges a little higher than the corresponding relation between parents and children.
The Biometrical Method, Statistical, Not Physiological.—While biometry may in certain cases go far toward showing us the average intensity of the[Pg 19] inheritance of certain characters it can not replace the method of the experimental breeder which deals with particular characters in individual pedigrees. It must be borne in mind that the biometrical method is a statistical and not a physiological one and that it is applicable only when large numbers of individuals are considered in mass. It is most valuable in cases where we are unable sharply to define single characters, due probably to the concurrent action of a number of independent causes, or where experiment is impossible so that we have to depend solely on numerical data gained by observation.
Mental Qualities Inheritable.—Galton showed by this method long ago, and Pearson and his school have extended and more clearly established the work, that exceptional mental qualities tend to be inherited. While on the average the children of exceptional parents tend to be less exceptional than their parents, still they are far more likely to be exceptional than are the children of average parents. By this method Professor Pearson has shown that such mental and temperamental attributes as ability, vivacity, conscientiousness, temper, popularity, handwriting, etc., are as essentially determined as are physical features through the hereditary endowment.
THE BEARERS OF THE HERITAGE
Before we can make any detailed analysis of the inheritance of characters we should have some general idea of the physical structure of animals and particularly some familiarity with the development of an individual from the egg, as well as some knowledge of the nature of the germ-cells.
The Cell the Unit of Structure.—If we examine one of the higher animals, as, for example, the horse, the dog, or man, we find that it is made up of a large number of constituents, such as bones, muscles, nervous elements, blood and other tissues. Each kind of tissue is composed of a number of living units, ordinarily microscopic in size, which are known as cells. A careful examination of various cells reveals that although they may differ greatly in size, shape and minor details, they all alike possess certain well-marked characteristics. Each when reduced to its fundamental form is seen to consist of a small mass of living matter termed protoplasm in which may usually be distinguished two regions—the cell-body or cytoplasm, and the nucleus (Fig. 3, p. 21). Any cell, whether it be of the brain, of the liver, or from any organ of an animal or plant, has this same fundamental structure. In addition, a limiting membrane or wall of some kind is generally present, although it is not a necessary constituent of all cells.

Fig. 3
Diagram of a cell showing various parts.
Unicellular Organisms.—While such a structure as a tree or a horse is composed of countless millions of cells, on the other hand numerous organisms, both plant and animal, exist which consist of only one cell. Yet this cell is just as characteristically a cell as are[Pg 22] the components of a complex animal or plant. It has the necessary parts, the cell body and the nucleus. Moreover it exhibits all of the fundamental activities of life, though in a simplified form, that a complex higher organism does.
Importance of Cell-Theory.—This discovery that every living thing is a single cell or an aggregation of cooperating cells and cell-products is one of our most important biological generalizations because it has brought such a wide range of phenomena under a common point of view. In the first place, the structure of both plants and animals is reducible to a common fundamental unit of organization. Moreover, both physiological and pathological phenomena are more readily understood since we recognize that the functions of the body in health or disease are in large measure the result of the activities of the individual cells of the functioning part. Then again, the problems of embryological development have become much more sharply defined since it could be shown that the egg is a single cell and that it is through a series of divisions of this cell and subsequent changes in the new cells thus formed that the new organism is built up. And lastly, the problem of hereditary transmission has been rendered more definite and approachable by the discovery that the male germ is likewise a single cell, that fertilization of the egg is therefore the union of two cells, and that in consequence the mechanism of inheritance must be stowed away somehow in these two cells.
Heredity in Unicellular Forms.—In unicellular animals one can readily see how it is possible for an[Pg 23] individual always to give rise to its own kind. One of the simplest of the single-celled animals is the Ameba (Fig. 4, p. 24).
The ameba eats and grows as do other animals. Sooner or later it reaches a size beyond which it can not increase advantageously, yet it is continuously taking in new food material which stimulates it to further growth. Here then is a problem. The ameba solves this difficulty by dividing to form two amebæ. Such a division is illustrated in Fig. 4, p.24. First the nucleus divides, then the cell-body. When the two new amebæ separate completely each renews the occupation of eating and growing. But what has become of the parent? Here, where once existed a large adult ameba are two young amebæ. The parent individual as such has disappeared, yet there has been no death, for we have simply two bits of living jelly in place of one. They will in turn repeat the same process, so will their offspring, and thus, barring accident, this growth and reproduction, or overgrowth as we may regard it, may go on forever, as far as we know. Here the problem of heredity, or the resemblance of offspring to parent, is not a very complicated one. The substance of the cell-body and cell-nucleus divides into two similar halves, so that each descendant has the substance of the parent in its own body, only it has but half as much. It differs from the parent, not in quality or kind, but in size.

Fig. 4
Six successive stages in the division of Ameba polypodia (after Schulze). The nucleus is seen as a dark spot in the interior.
Reproduction and Heredity in Colonial Protozoa.—There are enormous numbers of these single-celled animals existing in all parts of the world. Some are simple like the ameba, others are very complex in structure. Many, after division, move apart and pursue wholly independent courses of existence. On the other hand we find a modification appearing in some which is of the greatest importance. After division instead of moving apart the two cells may remain side[Pg 25] by side and divide further to form two more, these in turn may divide and thus the process goes on until there is formed what is known as a colony. Each cell of such a colony resembles the original ancestral cell because each is a part of the actual substance of that cell. As in the ameba, the first two cells are the ancestral cell done up in two separate packets, and thus finally the full quota of cells must be so many separate packets of the same kind of material. Inasmuch as each is but a repetition of its original ancestor, it can, and at times does, produce a colony of the same kind as that ancestor produced.
Conjugation.—At longer or shorter intervals, however, we find that two individuals, on the disruption of the old colony, instead of continuing the routine of establishing new colonies through a series of cell divisions, very radically alter their behavior. They unite and fuse into a single larger individual. This process is called conjugation. We find it occurring even in some species of ameba. The conjugating cells in some colonies are alike in size and appearance, in others different.
Specialization of Sex-Cells.—A beautiful sphere-shaped colony known as Volvox is to be found occasionally in roadside pools. Depending on the species of Volvox to which it belongs, the colony may be made up of from a few hundred to several thousand individuals arranged in a single layer about the fluid-filled center of the sphere and bound together by a clear jelly-like inter-cellular substance. Each individual cell also connects with its neighbors by means of thin threads of living matter. One of the largest[Pg 26] species is Volvox globator, one edge of which is represented in Fig. 5, p. 27. Mutual pressure of the cells gives them a polygonal shape when viewed from the surface. Each cell, with a few exceptions to be noted immediately, bears two long flagella, whip-like structures which project out into the water. The lashing of these flagella gives the ball a rotary motion and thus it moves about. When the colony has reached its adult condition and is ready to reproduce itself, certain cells without flagella and somewhat larger than the ordinary cells become more rounded in outline and increase considerably in size through the acquisition of food materials. They are then known as egg cells or ova. Each ovum finally enters on a series of cell-divisions forming a mass of smaller and smaller cells which gradually assumes the form of a hollow sphere like the parent colony. The young colonies thus formed drop into the interior of the parent colony to escape later to the outside as independent swimming organisms when the old colony dies and disintegrates.
The Fertilized Ovum Termed a Zygote.—After a number of generations of such asexual reproduction, sexual reproduction occurs. The ova arise as usual. Certain members of the colony, on the other hand, go to the other extreme and divide up into bundles of from sixty-four to one hundred twenty-eight minute slender cells, each provided with flagella for locomotion. When mature these small flagellate cells, now known as spermatozoa, escape into the interior of the parent colony and swim about actively. Ultimately each ovum is penetrated by a spermatozoon, the two cells fuse completely and thus form the single [Pg 27]fertilized ovum or zygote. The body-cells of the mother colony finally disintegrate. After a period of rest each zygote, through a series of cell-divisions, develops into an adult Volvox. In some species of Volvox a still further advance is seen, in that instead of both kinds of gametes being produced in the same colony, the ova may be produced by one colony and the spermatozoa by another. Here, then, we have the foreshadowings of two sexes as separate individuals, a phenomenon of universal occurrence among the highest forms of animal life.

Fig. 5
Volvox globator (from Hegner after Oltmanns). Half of a sexually reproducing colony: o, eggs; s, spermatozoa.
Advancement Seen in the Volvox Colony.—In the Volvox colony there is a distinct advance over the conditions met with in various lower protozoan colonies in that only certain individuals of the colony[Pg 28] take part in the process of reproduction and these individuals are of two distinct types; one is a larger, food-laden cell or egg and the other a small, active, fertilizing cell. The motile forms are produced in much greater numbers than the eggs, plainly because they have to seek the egg and many will doubtless perish before this can be accomplished. This disparity in number is only a means of insuring fertilization of the egg. The remaining cells of the body carry on the ordinary activities of the colony such as locomotion and nutrition and have ceased to take any part in the production of new colonies.
Natural Death Appears With the Establishment of a Body Distinct from the Germ.—Volvox is an organism of unusual interest because in it we see a prophecy of what is to come. Although still regarded as a colony of single-celled individuals, it represents in reality a transition between the whole group of unicellular animals termed protozoa and the many celled animals characterized by the possession of distinct tissues, known as Metazoa. Moreover, it shows an interesting stage in the establishment of a body or soma distinct from special reproductive cells which have taken on the function of reproducing the colony. In such colonial forms natural death is found appearing for the first time, the reproductive cells alone continuing to perpetuate the species. Then again Volvox represents an important step in the establishment of sex in the animal kingdom for in its sexual reproduction the conjugating cells known as gametes are no longer alike in appearance but have become differentiated into definite ova and spermatozoa.
[Pg 29]In Volvox as in the other organisms which we have studied we find that all of the cells including the germ-cells are produced by the repeated division of a parent cell, and consequently each must contain the characteristic living substance of that parent. Many other forms might be cited to illustrate reproduction in single-celled animals, whether free or in colonies, but all such cases would be practically but repetitions or modifications of those we have already examined.
Specialization in Higher Organisms.—If we pass on to the higher animals and plants which are not single cells or colonies of similar cells but organisms made up of many different kinds of cells, we find a pronounced extension of the phenomenon met with in Volvox. Instead of each cell executing independently all of the life relations, certain ones are set apart for the performance of certain functions to the exclusion of other functions which are carried on by other members of the aggregation. Thus the organism as a whole has all the life relations carried on, but, as it were, by specialists.
Sexual Phenomena in Higher Forms.—In the reproduction of multicellular organisms, one sees likewise but a continuation of the phenomena exhibited in Volvox. Ordinarily, each new form is produced by the successive divisions of a single germ-cell which in the vast majority of cases has conjugated with another germ-cell. In the development of the egg, as the divisions proceed, groups of cells become modified for their particular work until the entire organism is completed. During development certain cells are set apart for reproduction of the form just as they were in[Pg 30] Volvox. These two kinds of reproductive cells in multicellular organisms are derived ordinarily from two separate individuals known as male and female, though there are some exceptions. The main difference between these cells which will have to unite to form a single fertile germ-cell, is that they have specialized in different directions; one is small and active, the other large, food-laden and passive. But with two such germ-cells coming as they do from two individuals, one the male, the other the female, it is obvious that the actual living substance of which each germ is composed will be distinctive of its own parental line and that when the germs unite these distinctive factors commingle, hence the complications of double ancestry arise.
Structure of the Cell.—Before we can understand certain necessary details of the physical mechanism of inheritance we must inquire a little further into the finer structure of the cell and into the nature of cell division. A typical cell, as it would appear after treatment with various stains which bring out the different parts more distinctly, is shown in Fig. 3, p. 21. Typical, not that any particular kind of living cell resembles it very closely in appearance, but because it shows in a diagrammatic way the essential parts of a cell. In the diagram, there are two well-marked regions; a central nucleus and a peripheral cell-body or cytoplasm. Other structures are pictured but only a few of them need command our attention at present. At one side of the nucleus one observes a small dot or granule surrounded by a denser area of cytoplasm. This body is called the[Pg 31] centrosome. The nucleus in this instance is bounded by a well-marked nuclear membrane and within it are several substances. What appear to be threads of a faintly staining material, the linin, traverse it in every direction and form an apparent network. The parts on which we wish particularly to rivet our attention are the densely stained substances scattered along or embedded in the strands of this network in irregular granules and patches. This substance is called chromatin. It takes its name from the fact that it shows great affinity for certain stains and becomes intensely colored by them. This deeply colored portion of the cell, the chromatin, is by most biologists regarded as of great importance from the standpoint of heredity. One or more larger masses of chromatin or chromatin-like material, known as chromatin nucleoli, are often present, and not infrequently a small spheroidal body, differing in its staining reactions from the chromatin-nucleolus and sometimes called the true nucleolus, exists.
Cell-Division.—In the simplest type of cell-division the nucleus first constricts in the middle, and finally the two halves separate. This separation is followed by a similar constriction and final division of the entire cell-body, which results in the production of two new cells. This form of cell-division is known as simple or direct division. Such a simple division, while found in higher animals, is less frequent and apparently much less significant than another type of division which involves profound changes and rearrangements of the nuclear contents. The latter is termed[Pg 32] mitotic or indirect cell-division. Fig. 6, p. 33, illustrates some of the stages which are passed through in indirect cell-division. The centrosome which lies passively at the side of the nucleus in the typical cell (Fig. 6a, p. 33) awakens to activity, divides and the two components come to lie at the ends of a fibrous spindle. In the meantime, the interior of the nucleus is undergoing a transformation. The granules and patches of chromatin begin to flow together along the nuclear network and become more and more crowded until they take on the appearance of one or more long deeply-stained threads wound back and forth in a loose skein in the nucleus (Fig. 6b, p. 33). If we examine this thread closely, in some forms it may be seen to consist of a series of deeply-stained chromatin granules packed closely together intermingled with the substance of the original nuclear network.
As the preparations for division go on the coil in the nucleus breaks up into a number of segments which are designated as chromosomes (Fig. 6c, p. 33). The nuclear membrane disappears. The chromosomes and the spindle-fibers ultimately become related in such a way that the chromosomes come to lie at the equator of the spindle as shown in Fig 6d, p. 33. Each chromosome splits lengthwise to form two daughter chromosomes which then diverge to pass to the poles of the spindle (Figs. 6e and f, p. 33). Thus each end of the spindle comes ultimately to be occupied by a set of chromosomes. Moreover each set is a duplicate of the other, because the substance of any individual chromosome in one group has its counterpart in the other. In fact this whole complicated system of indirect division [Pg 33]is regarded by most biologists as a mechanism for bringing about the precise halving of the chromosomes.

Fig. 6
Diagram showing representative stages in mitotic or indirect cell-division: a, resting cell with reticular nucleus and single centrosome; b, the two new centrosomes formed by division of the old one are separating and the nucleus is in the spireme stage; c, the nuclear wall has disappeared, the spireme has broken up into six separate chromosomes, and the spindle is forming between the two centrosomes; d, equatorial plate stage in which the chromosomes occupy the equator of the spindle; e, f, each chromosome splits lengthwise and the daughter chromosomes thus formed approach their respective poles; g, reconstruction of the new nuclei and division of the cell body; h, cell-division completed.
[Pg 34]The chromosomes of each group at the poles finally fuse and two new nuclei, each similar to the original one, are constructed (Figs. 6g and h, p. 33). In the meantime a division of the cell-body is in progress which, when completed, results in the formation of two complete new cells.
As all living matter if given suitable food, can convert it into living matter of its own kind, there is no difficulty in conceiving how the new cell or the chromatin material finally attains to the same bulk that was characteristic of the parent cell. In the case of the chromatin, indeed, it seems that there is at times a precocious doubling of the ordinary amount of material before the actual division occurs.
Chromosomes Constant in Number and Appearance.—With some minor exceptions, to be noted later, which increase rather than detract from the significance of the facts, the chromosomes are always the same in number and appearance in all individuals of a given species of plants or animals. That is, every species has a fixed number which regularly recurs in all of its cell-divisions. Thus the ordinary cells of the rat, when preparing to divide, each display sixteen chromosomes, the frog or the mouse, twenty-four, the lily twenty-four, and the maw-worm of the horse only four. The chromosomes of different kinds of animals or plants may differ very much in appearance. In some they are spherical, in others rod-like, filamentous or perhaps of other forms. In some organisms the chromosomes of the same nucleus may differ from one[Pg 35] another in size, shape and proportions, but if such differences appear at one division they appear at others, thus showing that in such cases the differences are constant from one generation to the next.
Significance of the Chromosomes.—The question naturally arises as to what is the significance of the chromosomes. Why is the accurate adjustment which we have noted for their division necessary? The very existence of an elaborate mechanism so admirably adapted to their precise halving, predisposes one toward the belief that the chromosomes have an important function which necessitates the retention of their individuality and their equal division. Many biologists accept this along with other evidence as indicating that in chromatin we have a substance which is not the same throughout, that different regions of the same chromosome have different physiological values.
When the cell prepares for divisions, the granules, as we have seen, arrange themselves serially into a definite number of strands which we have termed chromosomes. Judging from all available evidence, the granules are self-propagating units; that is, they can grow and reproduce themselves. So that what really happens in mitosis in the splitting of the chromosomes is a precise halving of the series of individual granules of which each chromosome is constituted, or in other words each granule has reproduced itself. Thus each of the two daughter cells presumably gets a sample of every kind of chromosomal particle, hence, the two cells are qualitatively alike. To use a homely illustration we may picture the individual chromosomes to ourselves as so many separate trains of freight cars,[Pg 36] each car of which is loaded with different merchandise. Now, if every one of the trains could split along its entire length and the resulting halves each grow into a train similar to the original, so that instead of one there would exist two identical trains, we should have a phenomenon analogous to that of a dividing chromosome.
Cleavage of the Egg.—It is through a series of such divisions as these that the zygote or fertilized egg-cell builds up the tissues and organs of the new organism. The process is technically spoken of as cleavage. Cleavage generally begins very shortly after fertilization. The fertile egg-cell divides into two, the resulting cells divide again and thus the process continues, with an ever-increasing number of cells.
Chief Processes Operative in Building the Body.—Although of much interest, space will not permit of a discussion in detail of the building up of the special organs and tissues of the body. It must suffice merely to mention the four chief processes which are operative. These are, (1) infoldings and outfoldings of the various cell complexes; (2) multiplication of the component cells; (3) special changes (histological differentiation) in groups of cells; and (4) occasionally resorption of certain areas of parts.
The Origin of the New Germ-Cells.—On account of the unusual importance from the standpoint of inheritance, which attaches to the germ-cells, a final word must be said about their origin in the embryo. While the evidence is conflicting in some cases, in others it has been well established that the germ-cells are set apart very early from the cells which are to[Pg 37] differentiate into the ordinary body tissues. Fig. 7A, p. 38, shows a section through the eight-celled stage of Miastor, a fly, in which a single large, primordial germ-cell (p. g. c.) has already been set apart at one end of the developing embryo. The nuclei of the rest of the embryo still lie in a continuous protoplasmic mass which has not yet divided up into separate cells. The densely stained nuclei at the opposite end of the section are the remnants of nurse-cells which originally nourished the egg. Fig. 7B, p. 38, is a longitudinal section through a later stage in the development of Miastor; the primitive germ-cells (oög) are plainly visible. Still other striking examples might be cited. Even in vertebrates the germ-cells may often be detected at a very early period.
Significance of the Early Setting Apart of the Germ-Cells.—It is of great importance for the reader to grasp the significance of this early setting apart of the germ-cells because so much in our future discussion hinges on this fact. The truth of the statement made in a previous chapter that the body of an individual and the reproductive substance in that body are not identical now becomes obvious. For in such cases as those just cited one sees the germinal substance which is to carry on the race set aside at an early period in a given individual; it takes no part in the formation of that individual’s body, but remains a slumbering mass of potentialities which must bide its time to awaken into expression in a subsequent generation. Thus an egg does not develop into a body which in turn makes new germ-cells, but body and germ-cells are established at the same time, the body[Pg 38] harboring and nourishing the germ-cells, but not generating them (Fig. 2, p. 13). The same must be true also in many cases where the earliest history of the germ-cells can not be visibly followed, because in any event, in all higher animals, they appear long before the embryo is mature and must therefore be descendants of the original egg-cell and not of the functioning tissues of the mature individual. This need not necessarily mean that the germ-cells have remained wholly unmodified or that they continue uninfluenced by the conditions which prevail in the body, especially in the nutritive blood and lymph stream, although as a matter of fact most biologists are extremely skeptical as to the probability that influences from the body beyond such general indefinite effects as might result from under-nutrition or from poisons carried in the blood, modify the intrinsic nature of the germinal substances to any measurable extent.

Fig. 7
A—Germ-cell (p. g. c.) set apart in the eight-celled stage of cleavage in Miastor americana (after Hegner). The walls of the remaining seven somatic cells have not yet formed though the resting or the dividing (M p) nuclei may be seen; c R, chromatin fragments cast off from the somatic cells.
B—Section lengthwise of a later embryo of Miastor; the primordial egg-cells (oög3) are conspicuous (after Hegner).
[Pg 39]Germinal Continuity.—The germ-cells are collectively termed the germinal protoplasm and it is obvious that as long as any race continues to exist, although successive individuals die, some germinal protoplasm is handed on from generation to generation without interruption. This is known as the theory of germinal continuity. When the organism is ready to reproduce its kind the germ-cells awaken to activity, usually undergoing a period of multiplication to form more germ-cells before finally passing through a process of what is known at maturation, which makes them ready for fertilization. The maturation process proper, which consists typically of two rapidly succeeding divisions, is preceded by a marked growth in size of the individual cells.
Individuality of Chromosomes.—Before we can understand fully the significance of the changes which go on during maturation we shall have to know more[Pg 40] about the conditions which prevail among the chromosomes of cells. As already noted each kind of animal or plant has its own characteristic number and types of chromosomes when these appear for division by mitosis. In many organisms the chromosomes are so nearly of one size as to make it difficult or impossible to be sure of the identity of each individual chromosome, but on the other hand, there are some organisms known in which the chromosomes of a single nucleus are not of the same size and form (Fig. 8, p. 41). These latter cases enable us to determine some very significant facts. Where such differences of shape and proportion occur they are constant in each succeeding division so that similar chromosomes may be identified each time. Moreover, in all ordinary mitotic divisions where the conditions are accurately known, these chromosomes of different types are found to be present as pairs of similar elements; that is, there are two of each form or size.
Pairs of Similar Chromosomes in the Nucleus Because One Chromosome Comes from Each Parent.—When we recall that the original fertilized egg from which the individual develops is really formed by the union of two gametes, ovum and spermatozoon, and that each gamete, being a true cell, must carry its own set of chromosomes, the significance of the pairs of similar chromosomes becomes evident; one of each kind has probably been contributed by each gamete. This means that the zygote or fertile ovum contains double the number of chromosomes possessed by either gamete, and that, moreover, each tissue-cell of the new individual will contain this dual number. For, as we[Pg 41] have seen, the number of chromosomes is, with possibly a few exceptions, constant in the tissue-cells and early germ-cells in successive generations of individuals. For this to be true it is obvious that in some way the nuclei of the conjugating gametes have come to contain only half the usual number. Technically the tissue-cells are said to contain the diploid number of chromosomes, the gametes the reduced or haploid number.

Fig. 8
A—Chromosomes of the mosquito (Culex) after Stevens.
B—Chromosomes of the fruit-fly (Drosophila) after Metz.
Both of these forms have an unusually small number of chromosomes.
In Maturation the Number of Chromosomes Is Reduced by One-Half.—This halving, or as it is known, reduction in the number of chromosomes is the essential feature of the process of maturation. It is accomplished by a modification in the mitotic division in which instead of each chromosome splitting lengthwise, as in ordinary mitosis, the chromosomes unite in pairs (Fig. 9b, p. 42), a process known technically as synapsis, and then apparently one member of each pair passes entire into one new daughter cell,[Pg 42] the other member going to the other daughter cell (Fig. 9c, p. 42). In the pairing preliminary to this reduction division, leaving out of account certain special cases to be considered later, according to the best evidence at our command the union always takes place between two chromosomes which match each other in size and appearance. Since one of these is believed to be of maternal and the other of paternal origin, the ensuing division separates corresponding mates and insures that each gamete gets one of each kind of chromosome although it appears to be a matter of mere chance whether or not a given cell gets the paternal or the maternal representative of that kind.

Fig. 9
Diagram to illustrate spermatogenesis: a, showing the diploid number of chromosomes (six is arbitrarily chosen) as they occur in divisions of ordinary cells and spermatogonia; b, the pairing (synapsis) of corresponding mates in the primary spermatocyte preparatory to reduction; c, each secondary spermatocyte receives three, the haploid number of chromosomes; d, division of the secondary spermatocytes to form e, spermatids, which transform into f, spermatozoa.
[Pg 43]Maturation of the Sperm-Cell.—In the maturation of the male gamete the germ-cell, now known as a spermatogonium, increases greatly in size to become a primary spermatocyte. In each primary spermatocyte the pairing of the chromosomes already alluded to occurs as indicated in Fig. 9b, p. 42, where six is taken arbitrarily to indicate the ordinary or diploid number of chromosomes, and three the reduced or haploid number. The division of the primary spermatocyte gives rise to two secondary spermatocytes (c), the paired chromosomes separating in such a way that a member of each pair goes to each secondary spermatocyte. Each secondary spermatocyte (d) soon divides again into two spermatids (e), but in this second division the chromosomes each split lengthwise as in an ordinary division so that there is no further reduction. In some forms the reduction division occurs in the secondary spermatocytes instead of the primary. Each spermatid transforms into a mature spermatozoon (f). The spermatozoa of most animals are of linear form, each with a head, a middle-piece and a long vibratile tail which is used for locomotion. The head consists for the most part of the transformed nucleus and is consequently the part which bears the chromosomes.
[Pg 44]Maturation of the Egg-Cell.—As regards the behavior of the chromosomes the maturation of the ovum parallels that of the sperm-cell. There are not so many primordial germ-cells formed and only one out of four of the ultimate cells becomes a functional egg. As in maturation of the sperm-cell there is a growth period in which oögonia enlarge to become primary oöcytes (Fig. 10b, p. 45). In each primary oöcyte as in the primary spermatocyte the chromosomes pair and two rapidly succeeding divisions follow in one of which the typical numerical reduction in the chromosomes occurs. A peculiarity in the maturation of the ovum is that there is a very unequal division of the cytoplasm in cell division so that three of the resulting cells usually termed polar bodies are very small and appear like minute buds on the side of the fourth or egg-cell proper.
The scheme of this formation of the polar bodies is indicated in Fig. 10, p. 45. In Fig. 10b the chromosomes are seen paired and ready for the first division; that is, for the formation of the first polar body. Figs. 10c, d, p. 45, show the giving off of this body. Note that while only a small proportion of the cytoplasm passes into this tiny cell, its chromatin content is as great as that of the ovum. A second polar body (Figs. 10e, f, p. 45) is formed by the egg, but in this case each chromosome splits lengthwise, as in ordinary mitosis, and there is no further numerical reduction. In the meantime, typically, a third polar body is formed by division of the first. (Stages e, f, g.)
Parallel Between the Maturation of Sperm- and Egg-Cell.—This rather complex procedure of the[Pg 45] germ-cells will be rendered more intelligible through a careful study of Figs. 9 and 10, pp. 42 and 45, and Fig. 11, p. 46, which indicates the parallel conditions in spermotogenesis and oögenesis.

Fig. 10
Diagram to illustrate oögenesis: a, showing the diploid number of chromosomes (six is arbitrarily chosen) as they occur in ordinary cells and oögonia; b, the pairing of corresponding mates preparatory to reduction; c, d, reduction division, giving off of first polar body; e, egg preparing to give off second polar body, first polar body ready for division; f, g, second polar body given off, division of first polar body completed. The egg nucleus, now known as the female pronucleus, and each body contain the reduced or haploid number of chromosomes.
The view now generally held regarding the polar bodies is that they are really abortive eggs. They later disappear, taking no part in embryo-formation. It can readily be seen how such an unequal division is advantageous to the large cell, for it receives all of the[Pg 46] rich store of food material that would be distributed among the four cells if all were of equal size. This increased amount of food is a favorable provision for the forthcoming offspring whose nourishment is thus more thoroughly insured.
Fig. 11
Diagram showing the parallel between maturation of the sperm-cell and maturation of the ovum.
[Pg 47]On the other hand, all of the sperm-cells develop into complete active forms, which, as aforesaid, usually become very much elongated and develop a motile organ of some kind. In such cells an accumulation of food to any large extent would hinder rather than help them, because it would seriously interfere with their activity.
Fertilization.—In fertilization (Fig. 12, p. 48) the spermatozoon penetrates the wall of the ovum and after undergoing considerable alteration its nucleus fuses with the nucleus of the egg. In some forms only the head (nucleus) and middle-piece enter, the tail being cut off by a so-called fertilization membrane which forms at the surface of the egg and effectually blocks the entrance of other spermatozoa. Thus normally only one spermatozoon unites with an egg. In some forms while several may enter the egg only one becomes functional. As soon as the nucleus of the spermatozoon, now known as the male pronucleus, reaches the interior of the egg, it enlarges and becomes similar in appearance to the female pronucleus. It swings around in such a way (Fig. 12b, p. 48) that the middle piece, now transformed into a centrosome, lies between it and the female pronucleus. The two pronuclei (c, d, e), each containing the reduced number of chromosomes, approach, the centrosome divides, the nuclear walls disappear, the typical division spindle forms, and the chromosomes of paternal and maternal origin respectively come to lie side by side at the equator of the spindle ready for the first division or cleavage (f, g). It will be noted that the individual chromosomes do not intermingle their substance at this[Pg 48] time, but that each apparently retains its own individuality. There is considerable evidence which indicates that throughout life the chromosomes contributed by the male parent remain distinct from those of the female parent. Inasmuch as each germ-cell, after maturation, contains only half the characteristic number of chromosomes, the original number is restored in fertilization.

Fig. 12
Diagram to illustrate fertilization; ♂, male pronucleus; ♀, female pronucleus; observe that the chromosomes of maternal and paternal origin respectively do not fuse.
[Pg 49]Significance of the Behavior of the Chromosomes.—The question confronts us as to what is the significance of this elaborate system which keeps the chromosomes of constant size, shape and number; which partitions them so accurately in ordinary cell-divisions; and which provides for a reduction of their numbers by half in the germ-cell while yet securing that each mature gamete gets one of each kind of chromosome. Most biologists look on these facts as indicating that the chromosomes are specifically concerned in inheritance.
In the first place it is recognized that as regards the definable characters which separate individuals of the same species, offspring may inherit equally from either parent. And it is a very significant fact that while the ovum and spermatozoon are very unequal in size themselves, the chromosomes of the two germ-cells are of the same size and number. This parity in chromosomal contribution points clearly to the means by which an equal number of character-determiners might be conveyed from each parent. Moreover it is mainly the nucleus of the sperm-cell in some organisms which enters the egg, hence the determiners from the male line must exist wholly or largely somewhere in the nucleus. And the bulk of the nucleus in the spermatozoon consists of the chromosomes or their products.
A Single Set of Chromosomes Derived from One Parent Only Is Sufficient for the Production of a Complete Organism.—That a single or haploid set[Pg 50] of chromosomes as seen in the gametes is sufficient contribution of chromatin for the production of a complete organism is proved by the fact that the unfertilized eggs of various animals (many echinoderms, worms, mollusks, and even the frog) may be artificially stimulated to development without uniting at all with a spermatozoon. The resulting individual is normal in every respect except that instead of the usual diploid number it has only the single or haploid number of chromosomes. Its inheritance of course is wholly of maternal origin. The converse experiment in echinoderms in which a nucleus of male origin (that is, a spermatozoon) has been introduced into an egg from which the original nucleus has been removed shows that the single set of chromosomes carried by the male gamete is also sufficient to cooperate with the egg-cytoplasm in developing a complete individual.
The Duality of the Body and the Singleness of the Germ.—Since every maternal chromosome in the ordinary cell has an equivalent mate derived from the male parent, it follows therefore, supposing the chromosomes do have the significance in inheritance attributed to them, that as regards the measurable inheritable differences between two individuals, the ordinary organism produced through the union of the two germ-cells is, potentially at least, dual in nature. On the other hand through the process of reduction the gametes are provided with only a single set of such representatives. This duality of the body and singleness of the mature germ is one of the most striking facts that come to light in embryology. How well the facts fit in with the behavior of certain hereditary[Pg 51] characters will be seen later in our discussions of Mendelism.
The Cytoplasm Not Negligible in Inheritance.—Just what part is played by the cytoplasm in inheritance is not clear, but it is probably by no means a negligible one. The cytoplasm of a given organism is just as distinctive of the species or of the individual of which it forms a part as are the chromosomes. It is well established that neither nucleus nor cytoplasm can fully function or even exist long without the other, and neither can alone produce the other. They undoubtedly must cooperate in building up the new individual, and the cytoplasm of the new individual is predominantly of maternal origin. It is obvious that all of the more fundamental characters which make up an organism, such, for instance, as make it an animal of a certain order or family, as a human being or a dog or a horse, are common to both parents, and there is no way of measuring how much of this fundamental constitution comes from either parent, since only closely related forms will interbreed. In some forms, moreover, the broader fundamental features of embryogeny are already established before the entrance of the spermatozoon. It is probable therefore that instead of asserting that the entire quota of characters which go to make up a complete individual are inherited from each parent equally, we are justified only in maintaining that this equality is restricted to those measurable differences which veneer or top off, as it were, the individual. We may infer that in the development of the new being the chromosomes of the egg together with those derived from the male work[Pg 52] jointly on or with the other germinal contents which are mostly cytoplasmic materials of maternal origin.
The Chromosomes Possibly Responsible for the Distinctiveness of Given Characters.—It seems probable that in the establishment of certain basic features of the organism the cooperation of the cytoplasm with chromatin of either maternal or paternal origin might accomplish the same end, but that certain distinctive touches are added or come cumulatively into expression through influences carried, predominantly at least, in the chromatin from one as against the other parent. These last distinctive characters of the plant or animal constitute the individual differences of such organisms. In this connection it is a significant fact that in young hybrids between two distinct species the early stages of development, especially as regards symmetry and regional specifications, are exclusively or predominantly maternal in character, but the male influence becomes more and more apparent as development progresses until the final degree of intermediacy is attained.
From the evidence at hand this much seems sure, that the paternal and maternal chromosomes respectively carry substances, be they ferments, nutritive materials or what not, that are instrumental in giving the final parity of personal characters which we observe to be equally heritable from either line of ancestry. It is clear that most of the characters of an adult organism can not be merely the outcome of any unitary substance of the germ. Each is the product of many cooperating factors and for the final outcome any one[Pg 53] cooperant is probably just as important in its way as any other. The individual characters which we juggle to and fro in our breeding experiments seem apexed, as it were, on more fundamental features of organic chemical constitution, polarity, regional differentiation, and physiological balance, but since such individual characters parallel so closely the visible segregations and associations which go on among the chromosomes of the germ-cells it would seem that they, at least, are represented in the chromosomes by distinctive cooperants which give the final touch of specificity to those hereditary characters which can be shifted about as units of inheritance.
Sex and Heredity.—Whatever the origin of fertilization may have been in the world of life, or whatever its earliest significance, the important fact remains that to-day it is unquestionably of very great significance in relation to the phenomena of heredity. For in all higher animals, at least, offspring may possess some of the characteristics originally present in either of two lines of ancestry, and this commingling of such possessions is possible only through sexual reproduction. As has already been seen, in the pairing of chromosomes previous to reduction, the corresponding members of a pair always come together so that in the final segregation each gamete is sure to have one of each kind although whether a given chromosome of the haploid set is of maternal or paternal origin seems to be merely a matter of chance. Thus, for instance, if we arbitrarily represent the chromosomes of a given individual by ABC abc, and regard A, B[Pg 54] and C as of paternal and a, b and c as of maternal origin, then in synapsis only A and a can pair together, B and b and C and c, but each pair operates independently of the other so that in the ensuing reduction division either member of a pair may get into a cell with either member of the other pairs. That is, the line up for division at a given reduction might be any one of the following, ABC⁄abc ABc⁄abC Abc⁄aBC AbC⁄aBc. This would yield the following eight kinds of gametes, ABC, abc, ABc, abC, Abc, aBC, AbC, aBc, each bearing one of each kind of chromosome required to cover the entire field of characters necessary to a complete organism. And since each sex would be equally likely to have these eight types of gametes and any one of the eight in one individual might meet any one of the eight of the other, the possible number of combinations in the production of a new individual from such germ-cells would be 8x8, or 64. With the larger numbers of chromosomes which exist in most animals it is readily seen that the number of possible combinations becomes very great. Thus any individual of a species with twenty chromosomes—and many animals, including man, have more—would have ten pairs at the reduction period and could therefore form (2)10, or 1,024 different gametes in each sex. And since any one of these in one sex would have an equal chance of meeting with any one in the opposite sex, the total number of possible different zygotes that might be produced would be (1,024)2, or 1,048,576. Sex therefore, through recombinations of ancestral materials, undoubtedly means, among other things, the production of great diversity in offspring.
DETERMINATION OF SEX
Many Theories.—From earliest times the problem of sex determination has been one of keen interest, and needless to say hundreds of theories have been propounded to explain it. Geddes and Thomson say that Drelincourt recorded two hundred sixty-two so-called theories of sex production and remark that since his time the number has at least been doubled. The desirability of controlling sex has naturally appealed strongly to breeders of domesticated animals.
A study of animals born in litters, or of twins, is enough in itself to make us skeptical of theories of sex-determination based on nutritional or external factors. In a litter of puppies, for example, there are usually both males and females, although in their prenatal existence they have all been subject to the same nutritional and environmental conditions. Likewise in ordinary human twins one may be a boy, the other a girl, whereas if the nutritional condition of the mother were the fact determining sex, both should be boys or both girls. However, there are twins known as identical twins who are remarkably alike and who are always of the same sex. But there is reason to suppose that identical twins in reality come from the same zygote. Presumably in early embryogeny, probably at the two-celled stage of cleavage, the two blastomeres become separated and each gives rise to a complete individual instead of only the half of one it would have produced had the two blastomeres remained together. Such twins are monochorial; that is, they grow inside the same fetal membrane, whereas each ordinary twin has[Pg 56] its own fetal membrane and has obviously originated from a separate ovum. It has been established experimentally in several kinds of animals that early cleavage blastomeres when isolated can each develop into a complete individual. In man, ordinary twins are no more alike than ordinary brothers and sisters, but identical twins are strikingly similar in structure, appearance, habits, tastes, and even susceptibility to various maladies. The fact that they are invariably of the same sex is a strong reason for believing that sex was already developed in the fertile ovum and consequently in the resulting blastomeres from that ovum.
The young of the nine-banded armadillo in a given litter are invariably of the same sex and are closely similar in all features. Newman and Patterson have shown that all the members of a litter come from the same egg. Patterson has established the fact that cleavage of the egg takes place in the usual manner, but later separate centers of development appear in the early embryonic mass and give rise to the separate young individuals.
Again in certain insects where one egg indirectly gives rise to a chain of embryos, or to a number of separate larvæ, possibly as many as a thousand, all of the latter are of the same sex. Even in some plants researches have shown that sex is already determined at the beginning of development. Then, too, much evidence has come to light recently showing that sex-characters in certain cases behave as heritable characters and are independent of external conditions. Lastly there is visible and convincing evidence obtainable through microscopical observations that sex is determined[Pg 57] by a mechanism in the germ-cells themselves. It is chiefly to these latter facts that I wish to direct attention for the present.
The Sex Chromosome.—The evidence centers about a special chromosome or chromosome-group commonly designated as the sex-chromosome or X-element, which has been found in various species of animals, including man. In the males of such animals this chromosome is present in addition to the regular number of pairs, thus giving rise to an uneven instead of the conventional even number of chromosomes. This element remains undivided in one of the maturation divisions of the spermatocytes, in some forms in the first in others in the second, and passes entire to one pole of the spindle (Fig. 13, p. 58). This results in the production of two classes of cells, one containing the X-element and one not. The outcome is that two corresponding classes of spermatozoa are produced. The phenomena involved are diagrammatically represented in Fig. 13. It has been clearly demonstrated in several cases that eggs fertilized by spermatozoa which possess this X-element, always become females, those fertilized by spermatozoa which do not possess it always develop into males.

Fig. 13
Diagram illustrating the behavior of the x-element or sex-chromosome in the maturation of the sperm-cell. In one of the two maturation divisions (represented here as in the first) it passes undivided to one pole (a, b, c), in the other it divides. Since the cell without the x-element also divides the result is that ultimately from the original primary spermatocyte (a) four cells are formed (f), two with the x-element and two without it. Half of the spermatozoa therefore will bear an x-element, half will be without it. In a the ordinary chromosomes, arbitrarily indicated as 10, are supposed to have already paired for reduction so that the original diploid number in spermatogonia and body-cells of the male would be 20 plus the x-chromosome.
It has been found, furthermore, that in species in which the males possess this extra element the females have two of them. That is, if the original number in the somatic cells of the male were twenty-three, twenty-two ordinary and one X-element, the number in the somatic cells of the female would be twenty-four, or twenty-two ordinary and two X-elements. It has been found that when the chromosomes of the female pair for the reduction division, each chromosome uniting with its corresponding fellow, the two X-elements in the female pair in the usual way so that every egg-cell possesses an X-element. Thus every [Pg 59]mature egg has an X-element, while only half of the spermatozoa have one. That is, if we assume twenty-three as the diploid number present originally in the somatic cells of the male and twenty-four as the number in the female, then one-half the spermatozoa of the male would contain the haploid number eleven, and the other half, the number twelve, whereas every mature ovum would contain twelve. Since there are equal numbers of the spermatozoa with the X-element and without it, and inasmuch as presumably under ordinary conditions one kind is as likely to fertilize the egg as the other, then there are equal chances at fertilization of producing a zygote with two X-elements or with but one.
| Thus, | Spermatozoon + X by Ovum + X = Zygote + XX. |
| Spermatozoon (no X) by Ovum + X = Zygote + X. |
We have already seen that the former is always female, the latter male. It thus becomes possible to distinguish the sex of an embryo by counting the chromosomes of its cells. This has been accomplished in several cases.
In some instances[1] the conditions may be much[Pg 60] more complex than the ones indicated—too complex in fact to warrant detailed discussion in an elementary exposition—but the principle remains the same throughout, the very complexity when thoroughly understood, strengthening rather than weakening the evidence. In a few forms an interesting reversal of conditions has been found in that the eggs instead of the spermatozoa show the characteristic dimorphism.
Just what the exact relationship between sex-differentiation and the X-element is has never been clearly established. It is possible that this element is an actual sex-determinant, in the ordinary cases one X-element determining the male condition and two X-elements producing the female condition. On the other hand it might be argued that it is not the determining factor but the expression of other cell activities which do determine sex; that is, a sex accompaniment. Or again, it may be one of several essential factors which must cooperate to determine sex.
SEX-LINKED CHARACTERS
The discovery of the remarkable behavior of certain characters in heredity which can only be plausibly explained by supposing that they are linked with a sex-determining factor still further strengthens our belief in the existence of such a definite factor. Such characters are commonly termed sex-linked characters.
Sex-Linked Characters in Man.—Since there are a number of them in man we may choose one of these, such as color-blindness, for illustration. The common form of color-blindness known as Daltonism[Pg 61] in which the subject can not distinguish reds from greens, a condition which seems to be due to the absence of something which is present in individuals of normal color vision, is far commoner in men than in women. Its type of inheritance, sometimes termed “crisscross” heredity, has been likened to the knight moves in a game of chess. The condition is transmitted from a color-blind man through his daughter to half of her sons. Or, to go more into detail, a color-blind father and normal mother have only normal children whether sons or daughters. The sons continue to have normal children but the daughters, although of normal vision themselves, transmit color-blindness to one-half of their own sons. If such a woman marries a color-blind man, as might easily happen in a marriage between cousins, then as a rule one-half her daughters as well as one-half her sons will be color-blind.

Fig. 14
Diagram illustrating the inheritance of a sex-limited character such as color-blindness in man on the assumption that the factor in question is located in the sex-chromosome (from Loeb after Wilson). The normal sex-chromosome is indicated by a black X, the one lacking the factor for color perception, by a light X. It is assumed that a normal female is mated with a color-blind male.
In such cases what appears to be a mysterious procedure becomes very simple if we assume that the defective character is associated with the sex-determining factor, or to make it concrete let us say with the X-element. The chart shown in Fig. 14, p. 62, indicates what the germinal condition would be under the circumstances. The column to the right represents the maternal, the one to the left the paternal line. Since two X means female and one X male, and inasmuch as we have assumed that the physical basis of the defect to which color-blindness is due is conveyed by the X-element, we may represent the defective single X of the male in outline only (see first row). It is obvious that after the reduction divisions (second row) the [Pg 63]mature sex-cells of the female will each contain a single normal X, the corresponding sex cells of the male will contain either no X or a defective X. Since if any member of the class of spermatozoa containing no X, fertilizes an egg the resulting zygote (row three) will have but one X and that a normal one, the individual which develops from the zygote will be normal as regards color vision and moreover will be male because the condition one X always means maleness. On the other hand, if any member of the class of spermatozoa containing the defective X fertilizes an egg two X-elements are brought together and this of itself means femaleness. In this case one of the X-elements is defective but the single normal X is sufficient in itself to produce normal color vision. But when it comes to the maturation of the sex-cells of this female, the pair of X-elements are separated in the usual way with the result that half of the mature ova contain a normal X and half a defective X (row four). Since in a normal male, however, the mature reproductive cells will contain either a normal X or no X (fourth row), any one of four different kinds of matings may result. A sex-cell carrying normal X of the male may combine with an ovum containing normal X producing a normal female (row five). Or such a cell may combine with an ovum carrying the defective X, also producing a female but one who although of normal color vision herself, like her mother, is a carrier of the defect. On the other hand, any one of the spermatozoa without an X may combine with an ovum containing the normal X, in which case a normal male is produced and, moreover, one who, like his mother’s brothers,[Pg 64] is incapable of transmitting the defect. However, the sperm-cell devoid of an X is just as likely to fertilize an ovum carrying the defective X, in which event the resulting individual, a male, must be color-blind because he contains the defective X alone. In other words, the chances are that one-half the sons of a woman whose father was color-blind will be color-blind, the other half perfectly normal; and that all of the daughters will be of normal color vision although one-half of them will probably transmit the defect to one-half of their sons. From a glance at the diagram it is readily seen also that a color-blind female could result from the union of a color-blind man (see first row) and the daughter of a color-blind man (see third row). For half of the gametes of such a female would bear the defect as would also that half of the gametes of the male which carry X, hence the expectation would be that half of the daughters of such a union would be color-blind and half would be carriers of color-blindness; and that half of the sons would be color-blind and half normal. All the sons of a color-blind woman would be color-blind because she has only defective X-elements to pass on.
The inheritance of various other conditions in man follows more or less accurately the same course as color-blindness. Among these may be mentioned: hemophilia, a serious condition in which the blood will not clot properly, thus rendering the affected individual constantly liable to severe or fatal hemorrhage; near-sightedness (myopia) in some cases; a degenerative disease of the spinal cord known as multiple sclerosis; progressive atrophy of the optic nerve [Pg 65](neuritis optica); Gower’s muscular atrophy; some forms of night-blindness; in some cases ichthyosis, a peculiar scaly condition of the skin. In one of my own tabulations of a case of inheritance of “webbed” digits or syndactyly, a condition in which two or more fingers or toes are more or less united, a sex-linked inheritance is clearly indicated (Fig. 15), although from the pedigrees recorded by other investigators this condition usually appears in some of both the sons and daughters of an affected individual.

Fig. 15
Chart showing the inheritance of a case of syndactyly after the manner of a sex-linked character. The affected individuals are represented in black; squares indicate males, circles females. The condition is seen to be inherited by males through unaffected females.
The Occurrence of Sex-Linkage in Lower Forms Renders Experiments Possible.—The course followed by such characters in man can be inferred only from the pedigrees we can obtain from family [Pg 66]histories. Fortunately, however, such sex-linkage also occurs in lower animals and we are able therefore to verify and extend our observations by direct experiments in breeding. Several sex-linked characters have been found to exist in a small fruit-fly known as Drosophila. Extensive breeding experiments with this fly by Professor T. H. Morgan and his pupils have borne out remarkably the interpretation that the characters in question are really linked with a sex-determining factor.
MENDELISM
New Discoveries in the Field of Heredity.—Writing in 1899, one of America’s well-known zoologists asserts that, “It is easier to weigh an invisible planet than to measure the force of heredity in a single grain of corn.” And yet only two or three years later we find another prominent naturalist saying regarding heredity that, “The experiments which led to this advance in knowledge are worthy to rank with those that laid the foundation of the atomic laws of chemistry.” Again, “The breeding pen is to us what the test-tube is to the chemist—an instrument whereby we examine the nature of our organisms and determine empirically their genetic properties.” Here is a decided contrast of statement and yet both were justifiable at the time of utterance. For even at the writing of the first statement the investigations were in progress which, together with the rediscovery of certain older work, were to transfer our knowledge of heredity from the realm of speculation to that of experiment and disclose certain definite principles of genetic transmission.
Through a knowledge of these principles in fact, the shifting of certain characters is reducible to a series of definitely predictable proportions and the skilled breeder may proceed to the building up of new and[Pg 68] permanent combinations of desirable characters according to mathematical ratios and, what is of equal importance, he can secure the elimination of undesirable qualities. While there are many limitations in the application of these principles and while new facts and modifications are constantly being discovered concerning them, nevertheless they represent the first approximations to definite laws of hereditary transmission that we have ever been able to make, and the practical fact confronts us that whatever our theoretical interpretations may be, the principles are so definite that through their application important improvements of crops and domesticated animals have already actually been secured and one may confidently expect still others to follow.
Mendel.—The principles involved are called the Mendelian principles after their discoverer, Gregor Johann Mendel, abbot of a monastery at Brünn, Austria. After eight years of patient experimenting in his cloister garden with plants, chiefly edible peas, he published his results and conclusions in 1866, in the Proceedings of the Natural History Society of Brünn. While known to a few botanists of that day, the full importance of the contribution was not recognized, and in the excitement of the post-Darwinian controversy, the facts were lost sight of and ultimately forgotten.
Rediscovery of Mendelian Principles.—In 1900 three men, Correns, De Vries and Tschermak, working independently—in different countries, in fact—rediscovered the principles and called attention anew to the long-forgotten work of Mendel which they had come upon in looking over the older literature on plant[Pg 69] breeding. These investigators added other examples from their own experiments. Since their rediscovery the principles have been confirmed in essential features and extended by numerous experimentalists with regard to a wide range of hereditary characters in both animals and plants.
Independence of Inheritable Characters.—It has been found that many truly heritable characteristics or traits of an individual, whether plant or animal, are comparatively independent of one another and may be inherited independently. Where there are contrasted characters in father and mother, such as white plumage and black plumage in fowls, smooth coat and wrinkled coat in seed, horns and hornlessness in cattle, long fur and short fur in rabbits, beard and beardlessness in wheat, albino condition and normal condition, etc., there is obviously a bringing together of the determiners of the two traits in the resulting offspring. In the third generation, however, in the progeny of these offspring, the two distinct characters may be set apart again, thus showing that in the second generation while perhaps one only was visible, the factors which determine both were nevertheless present, and moreover, they were present in a separable condition.
Illustration of Mendelism in the Andalusian Fowl.—Let us take as a simple example the case of the Andalusian fowl. Although it is not a case established by Mendel it illustrates certain of the essential conditions underlying Mendelism in a more obvious way than the cases worked out by Mendel himself. The so-called blue Andalusian fowl results from a cross of a color variety of the fowl which is black with one which[Pg 70] is white with black-splashed feathers. The result is the same irrespective of which parent is black. When bred with their like, whether from the same parents or different parents, these blue fowls produce three kinds of progeny, approximately one-fourth of which are black like the one grandparent, one-fourth white like the other grandparent, and the remaining half, blue like the parents (Fig. 16). Moreover, the black fowls obtained in this way will, when interbred, produce only black offspring and the same is true of the white fowls. To all appearances as far as color is concerned they are of as pure type as the original grandparents. With the blue fowls, however, the case is different, for when bred together they will produce the same three[Pg 71] kinds of progeny that their parents produced and in the same proportions. Again the white and the black are true to type but the blue will always yield the three classes of offspring and this through generation after generation.

Fig. 16
Diagram showing the scheme of inheritance in the blue Andalusian fowl.
These facts may be illustrated graphically as follows where the word “black” indicates the original black parent, “white” the original white (black splashed) parent and “blue” the hybrid offspring.

The Cause of the Mendelian Ratio.—Concerning the cause of this peculiar ratio of inheritance in crossed forms Mendel suggested a simple explanation. Animals or plants that can be cross-bred, obviously must be forms that produce a new individual from the union of two germ-cells, one of which is provided by each parent. Mendel’s idea was that there must be some process of segregation going on in the developing germ-cells of each hybrid whereby the factors for the two qualities are set apart in different[Pg 72] cells with the result that half of the germ-cells of a given individual will contain the determiner of one character and half, the determiner of the other. That is, a given germ-cell carries a factor for one or the other of the two alternate characters but not the factors for both. In a plant, for example, in the male line, half of the pollen grains would bear germ-cells carrying the determiner of one character and half, that of the other. Similarly, in the female line, half of the ovules would contain the determiner of the one character and half, that of the other. Likewise in animals as regards such pairs of characters there would be two classes of germ-cells in the male and two in the female. In the case of the blue Andalusian fowls under discussion this would mean that half of the mature germ-cells of the male carry the black-producing factor, and half carry the white-producing factor, and the same is true of the germ-cells of the female. Thus when two such crossed forms are mated, there are, by the laws of chance, four possible combinations, namely: (1) white-determining sperm-cells and white-determining ovum; (2) white-determining sperm-cells and black-determining ovum; (3) black-determining sperm-cells and white-determining ovum; and (4) black-determining sperm-cells and black-determining ovum. Manifestly, the first combination can only give white offspring; the second, white and black, gives blue (by such a cross the original blues were established); likewise, the third, black and white, gives blue; and the fourth combination can only give black offspring. This matter may be graphically represented by the following formulæ in which B indicates the[Pg 73] determiner of Black in the germ-cell and W the determiner of White: ♂ signifies male; ♀ female.
IN THE ORIGINAL PARENTS
W × B = WB = Blue
IN THE HYBRIDS
| ♂ germ- cells |
♀ germ- cells |
♂ | ♀ | ||||||||
![]() |
W | × | W | == | WW | == | White | ||||
| or | W | × | B | == | WB | == | Blue | ||||
| B | × | W | == | BW | == | Blue | |||||
| B | × | B | == | BB | == | Black | |||||
Thus of the four possible combinations one only can produce white fowls, two (WB or BW) can produce blue fowls, and one black fowls. That is, the ratio is 1:2:1 or the 25, 50 and 25 per cent., respectively, of our diagram. The black fowls or the white fowls will breed true in subsequent generations when mated with those of their own color because the determiner of the alternative character has been permanently eliminated from their germ-plasm; but the blue fowls will always yield three types of offspring because they still possess the two classes of germ-cells.
Verification of the Hypothesis.—The hypothesis that germ-cells of crossed forms are of two classes with respect to a given pair of Mendelian characters is further substantiated by the following facts. If in the case of the fowls under discussion one of the blue fowls is mated with an individual of the white variety,[Pg 74] half of the progeny will be blue and half white. For the hybrid has two kinds of germ-cells, black producing, which we have designated by the letter B, and white producing (or W) in equal number while the white parent has only one kind, white producing. It is obvious that if half the germ-cells of the hybrid form are of the type B then half the progeny will be of the BW type, which is blue, and the other half will be of the WW type, which is white. In the same way if we mate a hybrid and a black fowl, half of the progeny will be black and half will be blue, that is, there could only be WB and BB types.
The fact must not be lost sight of that since the pairings are wholly determined by the laws of chance the proportions are likely to be only approximate. It is obvious that the greater the number of individuals, the nearer the results will approach the expected ratio.
DOMINANT AND RECESSIVE
One Character May Mask the Other.—In a large number of cases, however, the actual condition of affairs is not so evident as in the Andalusian fowl, for instead of being intermediate or different in appearance, the generation produced by crossing resembles one parent to the exclusion of the other. Such an overshadowing is spoken of as dominance, and the two characters are termed dominant and recessive. Thus when brown ring-doves and white ring-doves are mated the progeny are all brown, or if wild gray mice are mated to white mice the progeny are all gray. So black is dominant to white in rose-comb bantams; brown eyes to blue eyes in man; beardlessness[Pg 75] to beard in wheat, and likewise rough chaff to smooth, and thick stem to thin; tallness to dwarfness in various plants; normal condition to the peculiar waltzing condition in the Japanese waltzing mouse. Numerous other cases might be cited but these are sufficient to illustrate the condition.
Segregation in the Next Generation.—But now the question arises, what do such crosses as show dominance transmit to the next generation? Experiments show regarding any given pair of these alternate characters that they are set apart again in the succeeding generation, returning in a definite percentage to the respective grandparental types.

Fig. 17
Diagram showing the scheme of inheritance in guinea-pigs when black and albino forms are crossed.
Dominance Illustrated in Guinea-Pigs.—In guinea-pigs for example (Fig. 17), when an individual (either male or female) of a black variety, is [Pg 76]crossed with one of a white variety, the F1 generation are all black like the black parent. When these are interbred or bred with other blacks which have had one black and one white parent, only two visible types of progeny appear, viz., black and white, and these approximately in the ratio of three to one.
Analysis by further breeding shows, however, that there are in reality three types, but since dominance is complete the pure extracted dominant and the mixed dominant-and-recessive type are indistinguishable to our eye. That is, while the blacks are three times as numerous as the whites, two out of every three of these blacks are really hybrid and correspond to the blue fowls of our former example.
The condition is readily comprehended when expressed diagrammatically thus:

In other words, the germ-cells of the one original parent (Gen. P) would contain only determiners for black and that of the other parent would contain only determiners for white. The condition of the individuals produced by the cross would be represented by the formula B(W). But these determiners segregate in the germ-cells of the crossed form, whether it be male or female, into B and W. Hence half the spermatozoa of the male hybrid (generation F1) would carry the B determiners and half the W determiners.[Pg 77] The same is true of the mature ova of the female hybrid. Consequently, in mating there are always four equally possible combinations, viz., BB, B(W), (W)B, and WW. Since B is always dominant three out of the four matings would yield black individuals, or in other words the ratio would be 3:1.
The pure blacks when mated together will breed true in subsequent generations, likewise the whites, but the blacks carrying white as a recessive will yield when interbred the same ratio of whites and black as did their hybrid parents (Fig. 17, p. 75).
Terminology.—As work in the study of Mendelian inheritance has progressed and expanded the need of a more precise terminology has become evident and such is gradually being established. Thus Professor Bateson has coined the term “allelomorph” (Gk. one another, and form) to express more exactly what we have thus far been calling a pair of alternate or opposite characters. In the blue Andalusian fowls discussed, the white condition in the one parent is the allelomorph of the black condition in the other. The term generally means one of the pair of Mendelian characters themselves as expressed in the individual plants or animals but when the germinal basis of such phenomena is under discussion, it is sometimes used to refer to the determiners of such characters. And by determiner is meant simply the condition which is necessary in the germ to bring about the occurrence of a definite character. For example, when we are studying a cross between a red flower and a white flower with reference to the color factors, the difference between the two plants may lie in the fact that[Pg 78] one produces a red coloring matter and the other does not. That is, the determiner for red is absent from the white variety. What the exact relation of color production is to the parts of the germ-cell we do not know. It could be the function of a single definite body or the resultant of several cooperating bodies. The latter is far more likely to be the case. We may suppose that a group of cooperating substances function to produce red in the red flower but that in the white flowers one of these bodies is absent or fails to perform its red-producing function.
It is customary where practicable to refer to the determiner of a character by the initial letter of the name of the character. The letter when written as a capital indicates the determiner but when written as a small letter the absence of the determiner. Thus R may be taken to represent the determiner for red coloring matter and r its absence. It is convenient also to have a brief symbol to denote a given generation and for this purpose Bateson has introduced the symbol F1 for the hybrid progeny of the first cross, the initial letter of the word “filial.” F2 would indicate the next generation, F3 the third and so on. Likewise P denotes the original parent generation.
The Theory of Presence and Absence.—Many, if not all, allelomorphs consist of the presence and absence respectively of a given determiner. In such cases the character represented by the presence of the determiner is dominant over the character represented by the absence of a determiner. Thus in the crosses from the wild gray mice and albino mice the progeny are all gray mice since one parent had the determiner or[Pg 79] group of determiners for grayness and the hybrid offspring must also possess it. Likewise the presence of black in black guinea-pigs is dominant to its absence in albino guinea-pigs and the resulting progeny are all black.
However, it has already been mentioned that beardlessness in wheat is dominant to beard and that the absence of horns in cattle is dominant to their presence, that is, the progeny of hornless by horned cattle are without horns except for occasional traces of imperfect horns. Facts like these would seem at first sight to contradict the assertion just made that presence is dominant to absence, but it is fairly well established that in such cases one is not dealing with true absences but with suppressions. The polled breeds of cattle, for example, are hornless not because of the absence of determiners for horns but because of the presence of an additional inhibiting factor which prevents these determiners from functioning. The horned breeds are without this inhibitor. When horned and hornless individuals are crossed the presence of the inhibitor from one line of ancestry is sufficient to suppress the development of horns in the progeny. A similar explanation would, of course, apply to beardlessness in wheat.
In writing double-lettered formulæ to denote the determiners of characters in hybrids the condition is represented merely by the capital and small letter. Thus Rr indicates that red is dominant to its absence.
Additional Terminology.—In pure breeds where the determiners are alike as BB in black or bb in albino guinea-pigs, the individual is said to be a [Pg 80]homozygote (like things united) with reference to that character, while in those in which the determiners are unlike, as Bb, the individual is termed a heterozygote (unlike things united) with reference to the character. Or to use the adjective forms, a pure black guinea-pig is homozygous for black pigment, an albino guinea-pig is homozygous for absence of pigment, while a cross between the two is heterozygous for pigment. Also, where the determiner of a given character is present in double quantity, that is, from both lines of ancestry, the individual is said to be duplex, where represented in only the single form as in heterozygous individuals, simplex, and where the determiner is absent entirely, nulliplex, with reference to the character in question. Thus black guinea-pigs of formula BB are duplex with regard to the determiner for black color, individuals of formula Bb are simplex with reference to this determiner, and those of formula bb are nulliplex.
A heterozygote in which dominance prevails can be identified with certainty by breeding to a known recessive and noting the kind of offspring produced. If the individual was really a heterozygote, approximately fifty per cent. of the offspring should be of the recessive type.
Dominance Not Always Complete.—As a matter of fact close inspection shows that in numerous instances dominance is not absolute since traces of the recessive character may be detectable. For example, in the cross between smooth and bearded wheat while smoothness is regarded as the dominant character and beardlessness as the recessive, nevertheless in the hybrid[Pg 81] offspring a slight tendency toward bearding is not infrequently seen. Or again when horned breeds of cattle are crossed with hornless ones, a small proportion of such progeny will show traces of imperfect horns.
In some cases instead of either character dominating the other a form intermediate between the two parents may result, as we have seen already in the case of the Andalusian fowl. Thus, certain white-flowered plants and certain red-flowered plants when crossed produce pink hybrids, and longheaded and shortheaded wheats when crossed give offspring with heads of intermediate length. Or again, crosses between white and red cattle may yield red roans, and between black and white cattle, blue roans.
Thus, while for such pairs of alternative characters as have been studied, dominance to some considerable degrees at least, seems to be the rule, still we have gradations down to the intermediate condition, and in some instances the hybrid with respect to a given character may be unlike either parent. The things of chief importance in the Mendelian discovery are the independent, unitary nature of the characters and their segregation in the offspring of cross-bred forms.
Modifications of Dominance.—It should be noted also that there is such a condition as delayed dominance. Davenport found, for example, that chicks produced by crossing pure white with pure black Leghorn fowls are speckled black and white, but later in the adult form white becomes dominant. Likewise conditions of delayed dominance are known in man in eye-color and notably in color of hair. Some few cases have been recorded where a character is dominant at[Pg 82] one time, recessive at another. According to Davenport extra toe in fowls may behave in this way.
Mendel’s Own Work.—Mendel[2] himself worked out his principles on seven pairs of characters which he found in common culinary peas. Placing the dominant characters first, these may be enumerated as follows: (1) Tall by dwarf; (2) green pod (unripe) by yellow; (3) pod inflated by pod constricted between the individual peas; (4) flowers arranged along the axis of the plant by flowers bunched together at the top; (5) seed skin colored by seed skin white; (6) cotyledons yellow by cotyledons green; (7) seed rounded by seed wrinkled.
He found that each pair of characters followed the same law as any other pair when more than one pair of the characters occurred in the same plants, but that each pair behaved independently of the other. The meaning of this is that we may get various combinations of characters not associated in the original pure stocks, the number of such combinations depending on the number of pairs of allelomorphs there are.
DIHYBRIDS
Getting New Combinations of Characters.—Since this principle is well illustrated in peas, let us take two pairs of their characters, viz., greenness and yellowness (of the cotyledons) and roundness and angularity to see exactly what happens when two pairs of [Pg 83]allelomorphs are involved. When a specific kind of yellow pea is crossed with a particular kind of green pea the offspring are always yellow (Fig. 18, opposite p. 84). When these hybrids (generation F1) are self-fertilized there is the usual Mendelian segregation; one-fourth the resulting offspring will be green, one-fourth pure yellow, and one-half, although yellow in appearance, will be of the mixed type. The exact numbers found by Mendel were 6,022 yellow seeds to 2,001 green seeds. Now of the original peas (generation P) the yellow ones are round and the green ones angular (really wrinkled). Choosing this roundness and angularity respectively as a pair of characters they are found to follow the same law that the colors follow (Mendel obtained in the F2 generation 5,474 round and 1,850 wrinkled seed), but independently of the latter. For while in the progeny of the hybrids (Gen. F1), twenty-five per cent. will be round and of pure type as regards roundness, twenty-five per cent. angular, and fifty per cent. round but containing hidden factors of angularity (i. e., roundness is dominant), the roundness and the yellowness, or the angularity and the greenness will not always go together as they did in the original grandparental strains, but there will be in addition some new types of round green peas and some of angular yellow ones. That is, the factors of color and of shape have been inherited independently of one another, so that instead of the two original kinds of peas, four have been produced, viz., (1) round-yellow (one of the original types); (2) round-green (new type); (3) angular-yellow (new type); and (4) [Pg 84]angular-green (one of the original types). Furthermore, these will be found to stand in the ratio of 9:3:3:1 respectively.
Segregations of the Determiners.—How these combinations come about in this definite proportion is easily understood if the matter is expressed in terms of determiners and the possible matings tabulated (Fig. 18). If we represent the yellow determiner by Y and the green determiner by y, and likewise the determiners of roundness and angularity by R and r respectively, then the formulæ for the determiners of these two pairs of characters in the body cells (that is, in the unreduced condition) of the pure forms and of the F1 generation hybrids respectively are as follows:
| In pure round yellow peas | RR | YY | ||
| In pure angular green peas | rr | yy | ||
| In the hybrid | Rr | Yy |
But now in the segregation of these determiners in the germ-cells of the hybrids (generation F1) the pair of determiners Rr and the pair Yy operate entirely independently of one another. Their only compulsion is that each pair be separated into the single determiners, R and r in the one case and Y and y in the other. So in the separating division which brings about this divorcement R separates from r irrespective of whether it is accompanying Y or y into the resulting daughter cell. Thus in some cases R and Y would pass into one germ-cell, in others R and y, in others r [Pg 85]and Y, and in still others r and y, depending entirely upon the chance relations of the respective pairs to the plane of division. That is, the segregation is equally likely to be RY/ry giving gametes RY and ry, or Ry/rY giving gametes Ry and rY.

| ♀ | RY | Ry | rY | ry |
| ♂ | ||||
| RY | RRYY | RRYy | RRYY | RrYy |
| Ry | RRYy | RRyy | RrYy | Rryy |
| rY | RrYY | RrYy | rrYY | rrYy |
| ry | RrYy | Rryy | rrYy | rryy |
| (1) 1 RRYY | (4) 2 RrYY | (7) 1 rrYY | ||
| (2) 2 RRYy | (5) 4 RrYy | (8) 2 rrYy | ||
| (3) 1 RRyy | (6) 2 Rryy | (9) 1 rrYy | ||
| 9:3:3:1 | ||||
Fig. 18
Diagram showing the possible combinations arising in the second filial generation (F2) following a cross between yellow, round (YYRR) and green, angular or wrinkled (yyrr) peas. Y, presence of factor for yellow; y, absence of such a factor; R, presence of factor for smoothness or roundness; r, absence of such a factor; ♂ male; ♀ female.
Four Kinds of Gametes in Each Sex Means Sixteen Possible Combinations.—There are, therefore, with reference to the two pairs of characters under consideration, four kinds of gametes (or mature germ-cells) produced in equal numbers in each hybrid, viz., RY, Ry, rY, and ry. That is, in the first type roundness and yellowness are associated, in the second roundness and greenness, in the third angularity (lack of roundness) and yellowness, and in the fourth angularity and greenness.
But since both males and females have these four kinds of gametes, when they are mated there will be sixteen possible combinations. These may be tabulated as in Fig. 18, opposite p. 84.
The 9:3:3:1 Ratio.—While there are sixteen possible and equally probable combinations, these will give only nine distinct kinds because some of the matings are alike. The numbers of the various kinds of matings are as follows:
| (1) 1 RRYY | (4) 2 RrYY | (7) 1 rrYY | ||
| (2) 2 RRYy | (5) 4 RrYy | (8) 2 rrYy | ||
| (3) 1 RRyy | (6) 2 Rryy | (9) 1 rrYy |
Since roundness (R) and yellowness (Y) are dominant to angularity (r) and greenness (y) in all [Pg 86]combinations containing R or Y, the alternative determiners r or y would be obscured, with the result that individuals having certain of the combinations would look alike to our eye. For example, the individuals represented by numbers 1, 2, 4 and 5, since they contain dominant R and Y, would all appear round and yellow, although in reality No. 1 would be the only one of pure type (both elements homozygous) and hence the only one that would breed true in subsequent generations. The two individuals represented in No. 2 would breed true as regards shape (RR) but not color (Yy). Just the reverse is true of No. 4 since shape is heterozygous (Rr) and color homozygous (YY). The four individuals represented in No. 5 are heterozygous with regard to both elements. Thus nine individuals (1 plus 2 plus 2 plus 4 = 9) represented in Nos. 1, 2, 4 and 5 would be round and yellow, three individuals (Nos. 3 and 6) would be round and green, three (Nos. 7 and 8) would be angular and yellow, and only one (No. 9) would be angular and green. That is to say, the four classes discernible to the eye in generation F2 would be present in the ratio of 9:3:3:1.
Phenotype and Genotype.—Forms such as those represented in Nos. 1, 2, 4 and 5 which to the eye appear to be alike, regardless of their germinal constitution, are said to be of the same phenotype. Those of the same hereditary constitution, as the two individuals represented in No. 8, or the four individuals in No. 5, are said to be of the same genotype, that is, they are of identical gametic constitution.
[Pg 87]As we have seen, it is from the genotypical not the phenotypical constitution that an offspring is derived and what a given form will bring forth depends then on its genotype.
Crosses With More Than Two Pairs of Characters.—In crosses in which more than two pairs of contrasted characters are involved the underlying principles are in no way different, only with each pair of additional characters there is, of course, a greater number of possible combinations. Thus with three pairs of characters there will be eight different classes of gametes in each sex and consequently sixty-four possible combinations in mating, giving eight different phenotypes in the proportion of 27:9:9:9:3:3:3:1. The largest class manifests the three dominant characters; the smallest class, the three recessives; the three classes in the proportion of 9 each exhibit two dominant and one recessive characters; and those in the proportion of 3 each display two recessive and one dominant characters.
THE QUESTION OF BLENDED INHERITANCE
We come now to certain types of inheritance in which there seems to be a true fusion or blend of the contributions from the two parents, the intermediate condition apparently persisting in subsequent generations without segregation. Numerous cases of blended inheritance have been cited in earlier literature of heredity, but as our knowledge of genetics has progressed many experimental breeders have come to[Pg 88] believe that the blends in such cases are apparent rather than real and that the phenomena can be best explained on a non-blending unit-character basis, just as we would explain ordinary Mendelian phenomena.
Nilsson-Ehle’s Discoveries.—To get their point of view we may review certain experiments on wheat made by Nilsson-Ehle, together with their Mendelian interpretation. Nilsson-Ehle found that a certain brown-chaffed wheat when crossed with a white-chaffed strain yielded a brown-chaffed hybrid, apparently in accordance with the simple principle of Mendelian dominance. But these heterozygous brown-chaffed individuals did not in turn give the expected ratio of 3:1 in the F2 generation but a ratio of 15 brown to 1 white, and furthermore the browns were not all of the same degree of brownness. To be exact, from fifteen different crosses of the strains he obtained 1,410 brown-chaffed and 94 white-chaffed plants.
This apparent anomaly in segregation was easily explained, however, when it was finally figured out that there were really two independent determiners for brown color, either of which alone could produce a brown individual, but when combined produced individuals of correspondingly deeper shades of brown. In such a case then Nilsson-Ehle discovered that he was dealing merely with a Mendelian dihybrid where two different determiners B and B′ and their respective absences b and b′ are involved. The original brown wheat had both B and B′ and the original white b and b′. The formula for the F1 heterozygote was therefore BbB′b′. The four possible types of gametes[Pg 89] for male and female are BB′, Bb′, bB′, bb′, and the tabulation would be as follows:
| BB′ | Bb′ | bB′ | bb′ | |
| BB′ | BBB′B′ | BBB′b′ | BbB′B′ | BbB′b′ |
| Bb′ | BBB′b′ | Bb′Bb′ | BbB′b′ | Bbb′b′ |
| bB′ | BbB′B′ | BbB′b′ | bbB′B′ | bbB′b′ |
| bb′ | BbB′b′ | Bbb′b′ | bbB′b′ | bbb′b′ |
It will be observed that there are more brown determiners in some combinations than others. For instance one of the sixteen contains four such determiners, viz., B, B′, B, B′, four contain three determiners, six contain two, four contain only one, and one contains none. Thus all but one of the sixteen contain at least one determiner and will therefore be brown in color but the depth of color will depend on the number of brown determiners in a given individual. This is more graphically represented in Fig. 19, p. 90. The largest number of similar individuals, six in all, contain two determiners each and represent an intermediate “blend” between the original brown-chaffed and white-chaffed strains. The deeper and the lighter browns due to more or fewer determinants in an individual would if one did not know the units in this case look like the fluctuations around this average which we might expect in a blend.

Fig. 19
Diagram illustrating the proportionate distribution of determiners where either of two different determiners produces the same character, the degree of expression of the character depending on the number of the determiners present. The numerals indicate the number of brown determiners present in an individual.
Nilsson-Ehle found another significant case in wheat where one particular red-grained strain of Swedish wheat when crossed with white-grained strains produced red-grained offspring, but when these were interbred the F2 generation gave approximately sixty-three red to one white-grained individual. Here it was[Pg 91] found that in the original red wheat there are three separate determiners which act independently of one another in heredity, any one of which would make red color; and that they together with their absences simply follow the Mendelian laws for a trihybrid.
Such Cases Easily Mistaken for True Blends.—If we should tabulate the possible combinations as we did the dihybrid we should see that we would get individuals having varying numbers of red determiners. Only one of the sixty-four possible combinations would be without a factor for red. Of the sixty-four, one would have six determiners for red, six would have five, fifteen would have four, twenty would have three, fifteen would have two, six would have one, and one would have none. Since here every additional red factor means deeper redness in the individual there would be varying degrees of redness in the F2 generation with those having three determiners, the largest group, standing apparently intermediate. Not knowing the factors involved we might easily mistake such a case for a true blend with fluctuations about an average intermediate form. Nilsson-Ehle finally proved his interpretation by rearing an F3 generation from isolated and self-fertilized plants of this F2 generation.
This same principle of cumulative determiners has also been established in America by East with field corn.
As the number of duplicate determiners increases it can be readily seen that the number of apparent blends of different degrees of intermediacy between the two extremes would rapidly increase.
[Pg 92]Skin-Color in Man.—In man, the skin-color of the hybrids between negroes and whites is often cited as a case of blended inheritance in contradistinction to Mendelian inheritance. The skin-color of the mulatto of the F1 generation is intermediate between that of the white and black parent. This same degree of intermediacy is commonly supposed to persist in subsequent generations, but as a matter of fact, careful investigation has shown that while mulattoes rarely produce pure white or pure black children, there is considerably greater range in the shades of color in the F2 generation and subsequent generations than in the F1 generation. This is exactly what one would expect of a Mendelian character in which several cooperating factors were involved. Indeed, Davenport who has made extensive studies[3] on the inheritance of skin-color in man has come to the conclusion that the case is really one of Mendelian inheritance in which several factors for skin-color are concerned. Even the skin of a white man is pigmented in some degree under normal conditions. Davenport has shown in the skin of both whites and blacks that there is a mixture of black, yellow and red pigments. He concludes that “there are two double factors (AABB) for black pigmentation in the full-blooded negro of the west coast of Africa and these are separably inheritable.” Since these factors are lacking in white persons the intermediate color of an F1 mulatto would therefore be heterozygous for pigmentation, and [Pg 93]subsequent generations, following the laws for segregation where a number of factors are concerned, would show different degrees of color because of the varying combinations of factors.
Some Investigators Would Question the Existence of Real Blends.—Still other reputed blends such as ear length in rabbits and the like have been shown to be analyzable into Mendelian behavior if one will but postulate numerous or multiple factors. Just how far we are justified in so accounting for blends has not yet been established. Some of our most careful experimentalists in heredity still believe that real blends exist, particularly where the character is quantitatively expressed—that is, as more or less of a given size or amount—while others would maintain that all alleged blends will probably be found to be resolvable into factors which follow Mendelian rule. It must be left for future investigations to demonstrate which school is correct.
THE PLACE OF THE MENDELIAN FACTORS IN THE GERM-CELLS
Parallel Between the Behavior of Mendelian Factors and Chromosomes.—The question arises as to whether there is any evidence from the study of germ-cells themselves to bear out the Mendelian conception of separation of contrasted characters in the gametes of the F1 generation. In the discussion of the maturation of germ-cells (Chap. II) it has already been seen that the chromosomes of the germ-cells are in all probability arranged in homologous pairs, one member being[Pg 94] of maternal and the other of paternal origin, and that furthermore they are closely associated with the phenomena of heredity. And since in maturation there is an actual segregation of the chromosomes into two sets, half going to one cell and half to its mate, a physical basis adequate to the necessities of the case is really at hand. It will be recalled that the individuals of a pair separate in such a way at the reduction division that the paternal member goes to one cell and the maternal member to the other, although each pair seemingly acts independently of the others with the result that any mature germ-cell may contain chromosomes from each of the original parents but never the two chromosomes which earlier made up a pair. The close parallel between the behavior of chromosomes and the behavior of Mendelian factors, although the two sets of phenomena were discovered wholly independently of each other, is obvious. If we suppose that each chromosome bears the determiner of a Mendelian character and that chromosomes bearing allelomorphic characters make up the various pairs which are seen in the early germ-cells of an individual before reduction occurs, then the segregation of the individuals of an allelomorphic pair into different gametes must result in consequence of the passing of the corresponding chromosomes into separate gametes. Fig. 20, p. 95, from Professor Wilson represents equally well the segregations of pairs of chromosomes or pairs of Mendelian characters.

Fig. 20
Diagram showing union of factors from the two separate parents in fertilization and their segregation in the formation of germ-cells (after Wilson). With four pairs of factors (Aa, Bb, Cc, Dd), sixteen types of gametes are possible, as shown in the series of small circles at the right. The same diagram equally well represents the pairings and segregations of chromosomes.
A Single Chromosome not Restricted to Carrying a Single Determiner.—It has been objected that there may be more pairs of independently heritable allelomorphic characters than there are pairs of chromosomes. It is true that there are more pairs of characters than pairs of chromosomes but there is no reason for supposing that a given chromosome is restricted to carrying a single unit-determiner. On the contrary it probably carries several or many. Some workers have pointed out that certain units might be interchanged during the pairing of chromosomes [Pg 96]before the reduction division, others that inasmuch as the chromosomes become diffuse and granulated during the intervals between divisions it is not improbable that the individual units may become separated from their original system during such times and that it is a matter of chance into which of the homologous chromosomes, A or a, they enter with the re-establishment of the chromosomes. On the other hand, cases are known where two or more separate characters are permanently associated in inheritance, that is, if they enter a crossed form together they come out together in the grandchildren as if they were carried in the same unit-body in the germ-cell. The only observable unit-bodies that fulfil the necessities of such cases are the chromosomes. This tendency of characters to exist in groups which are inherited independently of one another is coming more and more into evidence as we penetrate farther into the intricacies of inheritance, and it is exactly what we would expect on the supposition that each chromosome carries the determiners of a number of characters instead of a single one.
MENDELISM IN MAN
The Mendelian Principles Probably Applicable to Many Characters of Man.—We are really just beginning to make the proper observations and collect the necessary data with reference to the application of Mendelian principles to the traits of man. Yet brief as has been our study we have disclosed much significant evidence which makes it seem highly probable that many of his characters, good and bad, of mind and body are as subservient to these laws as are the traits and features of lower forms. Davenport and Plate record over sixty human characters or defects which are seemingly inherited in Mendelian fashion. Although about fifty of these are pathological or abnormal conditions, this does not mean that such conditions are more prone to follow Mendelian inheritance but merely that being relatively conspicuous or isolated they are easier to follow and tabulate.
Difficult to get Correct Data.—While it must be said that in many cases no simple form of Mendelian tabulation has been unequivocally established, yet the general behavior of the various inheritable traits in question is so obviously related to the conventional Mendelian course that there seems little reason for doubting that they are at bottom the same. Failure to obtain exact proportions may be attributable in part[Pg 98] to the probability that what we loosely regard as a character should in reality be analyzed into more elemental components, and above all to the fact that from the very nature of the conditions under which human records must be obtained, there is considerable chance of inaccuracy or error in such accounts. How many human traits follow Mendelian rules remains largely for future investigators to establish.
We are handicapped at the outset in man by the many difficulties of getting correct data from the genealogies on which we must depend, or in fact of getting any genealogy at all, for in this country at least, most families keep imperfect records of births and deaths and many of the institutions for the various kinds of defectives have little in their records that will help us in following out hereditary conditions. Then in matters of disease we meet with the fact that many former diagnoses were erroneous. In yet other cases, and this is particularly true among mental and moral defectives, we are often not sure of the paternity of a given child. Furthermore, one is likely to be misled by the proportions which may occur in the very limited number of children of any given couple.
Still other difficulties exist. Among these is the fact, for example, that in many cases of defect or susceptibility to disease, a given individual in the stock may have the trait in an expressible and transmissible form, yet it never comes to expression because that individual has been fortunate enough to escape the environmental stimulus which would call it forth. Thus one highly susceptible to tuberculosis might escape infection, or persons hovering on the verge of insanity[Pg 99] might never receive the precipitating stimulus which would topple them into actual insanity; yet each would be wrongfully recorded in a genealogy looking to such traits as perfectly normal. Or again if it be a question of intellectual brilliancy as shown by accomplishment in the realm of scholarship, or of worldly affairs, the ones who although possessing them have had no chance to display unusual talents would be tabulated as average whereas in fact they should be recorded as of high rank. That this is particularly likely to happen in the case of women is evident.
A Generalized Presence-Absence Formula for Man.—In man as in lower forms some characters or traits are due presumably to the presence of determiners or to their absence. Likewise, dominance and recessiveness are as much in evidence, for in tracing back pedigrees of various traits we find the same forms of tabulation that obtain for these conditions in plants and lower animals hold good. For typical cases in man let us use a generalized presence-absence formula and the arbitrary symbol A for the presence of the determiner of the character (double in the individual, single in the germ) and a for its absence. Thus AA represents a condition in which similar determiners have been derived from both parents and the individual is duplex as regards the character in question; each mature germ-cell will have the determiner. Aa represents a condition in which the individual has received the determiner from only one parent and is therefore simplex with regard to the character; half of the gametes of such an individual will have the determiner and half will lack it. Lastly, aa represents total [Pg 100]absence of the determiner. Such an individual is nulliplex. He or she will not have the determiner represented in any of the gametes, and can not, of course, transmit a trait represented by the determiner.
It is evident that six kinds of gametic matings are possible among individuals representing these various formulæ. These matings are as follows:
| Matings | Possible couplings gametes |
Product | |
| 1. Nulliplex x Nulliplex (aa x aa) == | ![]() |
== | all nulliplex |
| 2. Nulliplex x Simplex (aa x Aa) == | ![]() |
== | 50 per cent. with character nulliplex and 50 per cent. with it simplex. |
| 3. Nulliplex x Duplex (aa x AA) == | ![]() |
== | all with characters simplex |
| 4. Simplex x Simplex (Aa x Aa) == | ![]() |
== | 25 per cent. with characters duplex, 50 per cent. with it simplex and 25 per cent. with it nulliplex. |
| 5. Simplex x Duplex (Aa x AA) == | ![]() |
== | 50 per cent. with character duplex and 50 per cent. with it simplex. |
| 6. Duplex x Duplex (AA x AA) == | ![]() |
== | all duplex. |
Indications of Incomplete Dominance.—While in cases of strict Mendelian dominance it is not possible[Pg 101] to distinguish directly the simplex from the duplex condition, as a matter of fact the individual of simplex constitution sometimes has the character represented in the single determiner less perfectly developed than in the corresponding character of duplex origin. In studying defects in man due to the absence of a determiner, where theoretically presence of the determiner (normality) is dominant over its absence in individuals of simplex constitution, one finds it recorded with increasing frequency that such individuals are more or less “intermediate” or are “tainted” with the defect; thus showing that the defect though obscured is not wholly in abeyance. Thus individuals carrying epilepsy or feeble-mindedness which are regarded as recessive traits, while not showing specific feeble-mindedness or epilepsy, may nevertheless apparently show a neuropathic taint in the form of migraine, alcoholism or other lapse from normality. The condition is seemingly more akin in some cases to that found in the offspring of certain red flowers crossbred with white flowers, which though red do not show the same intensity of color as the original red parent. Just as here the single determiner or single “dose” of redness is insufficient to produce the intensity of color that appears when the offspring receive two determiners for red, one from each parent, so in man a single determiner for normality of a specific character is inadequate in some cases to make the individual wholly normal. Or possibly some cases are more of the type of those in which the character in question, for instance the red color of some wheats and corn, may be produced by any one of two or three determiners, the intensity of[Pg 102] the characters (red color, e. g.) depending on whether one, two or three determiners are present.
Why After the First Generation Only Half the Children May Show the Dominant Character.—If the trait is a simple dominant one it is clear that it will appear in each generation and always spring from an affected individual. By referring back to our tabulation of possible matings on page 100 where the dominant character is represented by the letter A, this can be seen at a glance. If the trait is present in the duplex condition in one parent and absent from the other, then formula 3 applies; all children will show the trait, but in the simplex form (Aa). If the trait is present in the simplex form in one parent and absent in the other, formula 2 applies. Fifty per cent. of the children will have the character in the simplex form (Aa) which means also an even chance of transmitting it to their offspring; fifty per cent. will not inherit it and will be incapable, furthermore, of transmitting it, since they have become nulliplex (aa). In human genealogies if an individual having an unusual trait which is inherited as a dominant marries a normal person and half of the offspring show the trait (and this is common), this means that the parent manifesting the trait had it represented only in the simplex condition, otherwise all of the children would have shown it. Even though the original ancestor who first developed the condition or structure may have had it in a duplex form, it would after the first mating, if this were with an individual lacking the trait, be represented only in the simplex form (see formula 5) and could never become duplex again unless two [Pg 103]individuals both having the character married, and then only in twenty-five per cent. of the offspring (see formula 3). If the trait is a defect all the children showing it, even though marrying normal (nulliplex) individuals, will pass it on again to half their children, but those who do not show it may ordinarily marry with impunity since its non-expression in their make-up means, as far as we know at present, that their germ-plasm has been purged of the defect and that they are therefore nulliplex with reference to it.
Eye-Color in Man.—Of normal characters in man which follow the Mendelian formula perhaps eye-color is the best established. Brown or black eye-color is due to a melanin pigment absent from the blue or gray eye. That is, a brown eye is practically a blue eye plus an additional layer of pigment on the outer surface of the iris. The different shades of brown and the black are due to the relative abundance of this pigment. Gray color and the shades of blue seem to be a modification of an original dark blue, due to structural differences in the fibrous tissues of the iris.
In inheritance brown or black is dominant to blue or gray, or in other words the presence and absence of a pigment P constitutes a pair of allelomorphs. Hence two brown-eyed parents, if P is duplex in both (or duplex in one and simplex in the other) can have only brown-eyed children. Thus,
1. PP × PP = PP, or all duplex brown.
2. PP × Pp = PP and Pp, half duplex brown and half simplex brown.
If each parent has brown eyes but in simplex [Pg 104]condition, then one-fourth of children will have blue or gray eyes; for example,
| Mating | Gametic couplings |
Product | ||
| Pp × Pp | == | ![]() |
== | PP, Pp, pP, and pp, or one-fourth duplex brown, one-half simplex brown, and one-fourth blue or gray. |
If both parents have blue or gray eyes they can not have children with black or brown eyes, since the recessive condition in each parent means total absence of brown pigment in both.
If one pair is duplex brown and the other blue, then all children will have brown eyes but of simplex type.
If one parent has simplex brown eyes (type Pp) and one blue (pp) then one-half of the children will have brown eyes of simplex type and one-half will have blue eyes.
Occasional objections have been raised against the Mendelian interpretation of inheritance in eye-color, but the cases cited in evidence against the theory usually narrow down to those in which the color is so diluted as to render classification uncertain. For example, hazel eyes are sometimes called gray; they belong however to the melanic pigmented type although the brown pigment may be much diluted and occur mainly around the pupil. So-called green eyes are due to yellow pigment on a blue background. In the rare cases where in the same individual one eye is brown and the other blue, the individual should probably be rated as brown-eyed on the supposition that in the one eye the development of brown pigment has in some way been suppressed.
[Pg 105]Hair-Color.—The inheritance of hair-color has also been the subject of considerable study and while the conditions are not so simple as in the case of eye-color, there is little doubt that it belongs in the Mendelian category. In human hair, color has as its foundation apparently two pigments, black and red. Absence of one or both or various combinations or dilutions of these seemingly account for the prevailing colors in human hair. In general dark hair is dominant to light, although because of the delay sometimes in the darkening of the hair in children this fact is often obscured. Black is dominant to red. People with glossy black hair, according to Davenport, are probably simplex for black, the glossiness being due usually to recessive red. The expectation would be for some of the children of such a pair to have red hair.
In man occasionally a congenital white lock contrasting strikingly with the remaining normally pigmented hair occurs. It behaves as a simple dominant in heredity.
Hair-Shape.—Again, straight and curly hair seem to be distinct inheritable characters. Curly is incompletely dominant to straight, the simplex condition yielding wavy hair.
Not to enter into details of the matings, statistics gathered by Mr. and Mrs. Davenport show that, two flaxen-haired parents have flaxen-haired children; two golden-haired parents have only golden-haired children; two parents with light brown hair have children with hair of that color or lighter, but never darker; two parents each with dark brown or black hair may have children with all the varieties of hair-color. [Pg 106]Summing together a series of recessives Davenport points out that two blue-eyed, flaxen or golden and straight-haired parents will have only children like themselves.

Fig. 21
Diagram showing descent of brachydactyly through five generations; black symbols indicate affected individuals; ♂, male; ♀, female (after Farabee).
Irregularities.—If a dominant trait or defect depends on more than a single factor, as is sometimes the case, or if it is modified by sex or other conditions, as is true of certain characters, some of which, such as color-blindness, have already been examined, then we shall find some apparently non-affected individuals having affected offspring. Certain diseases, for example, are generally transmitted by affected members of the family to their children in the expected Mendelian ratio for a dominant, yet an occasional skip of a generation may appear in which an apparently perfectly normal individual transmits to his children what, except for the omission in his own case, appears to be an ordinary dominant character.[Pg 107] This occasional lapse in the appearance of a character when theoretically it should appear is doubtless due in some instances to the fact that what is really inherited is a tendency, and although this is present in the apparently normal individual, for some reason the condition itself has not appeared. This might especially be true in the case of a disease which does not manifest itself until late in life. In other cases there are undoubtedly complicating accessory conditions which modify the behavior of the trait somewhat.
OTHER CASES OF DOMINANCE IN MAN
Among other normal characters in man, as far as available evidence goes, dark skin is dominant to light skin; normally pigmented condition to albino; and nervous temperament to phlegmatic.
Digital Malformations.—An interesting and easily followed defect is a condition known as brachydactylism, in which the digits are shortened because of the absence or rudimentary condition of one segment. The fingers, therefore, appear to be only two-jointed like the thumb. Several families showing this defect have been charted and it appears to behave as a typical dominant. In looking over such a chart (Fig. 21, p. 106) one is struck by the fact that only half of the children from most of the matings show the defect, but when we recall that the affected parent, after the first generation, probably carried the condition in only the simplex form and married a normal individual, such a result is just what would be expected (see formula 2).
[Pg 108]Polydactylism (Figs. 22, 23, pp. 109, 110) is a condition in which there are extra digits on hands or feet. The character, with apparently slight exceptions in a few records, behaves as a typical dominant. Among other digital defects which are inherited as a dominant is a condition known as syndactylism (Fig. 24, p. 111), in which two or more digits are fused side by side. For an example of syndactyly which seems to be in the class of sex-linked characters, see Fig. 15, p. 65.
Eye Defects.—Congenital cataract is another not uncommon defect in man which is transmitted as a dominant (Fig. 25, p. 112) with occasional irregularities. It is a condition of opacity of the lens of the eye which produces partial or total blindness. In a paper on Hereditary Blindness and Its Prevention, Clarence Loeb (1909) mentions 304 families of which pedigrees have been published. Of the 1,012 children in these families 589, or 58 per cent., were affected. It is obvious that this is near the expected percentage in the case of a dominant trait where matings of affected with normal individuals prevailed. An unfortunate circumstance about this malady from the eugenic standpoint is the fact that it is frequently of the presenile form which comes on late in life so that it is usually impossible to predict whether an individual of marriageable age is immune or will later become affected.

Fig. 22
Radiograph (Courtesy of Dr. W. B. Helm) showing polydactyly in a child’s hand. For genealogy of this see Fig. 23, p. 110.

Fig. 23
Chart showing a history of polydactylism through five generations in the B—— family. The individual whose hand is pictured in Fig. 22, p. 109, is of the fifth generation. Squares represent males, circles females.
Another defect of the eye following the course of a dominant in heredity is a pigmentary degeneration of the retina known as retinitis pigmentosa. Atrophy of the optic nerve is also involved and the final result is blindness. Still another example frequently cited is that of hereditary night blindness (hemeralopia), a disease in which the affected person can not see by any but the brightest light. In most affected families the final outcome is usually total blindness. One of the most remarkable pedigrees of defects in man ever collected is one of this disease published by Nettleship. He succeeded in tracing the defect through nine generations, back to the seventeenth century. The genealogy includes 2,116 persons. The character behaves as a single dominant in males, but frequently, though [Pg 111]not always, females may be carriers of the defect in transmissible form though not exhibiting it themselves. That is, males in which the condition is simplex (Aa) develop the defect but females of similar simplex constitution (Aa) frequently do not. It follows, therefore, that normal males of such strains will have normal offspring but normal females may have affected children.

Fig. 24
Radiograph (Courtesy of Dr. W. B. Helm) showing a partial syndactyly in each hand of an individual. Some degree of webbing between the more distal portions of the affected parts is usual.

Fig. 25
Pedigree of a family with presenile cataract (black symbols); numbers in circles indicate unaffected individuals (after Davenport).
Other Defects Inherited as Dominants.—Not to go into details other defects which behave as dominants or modified dominants in human inheritance may be mentioned. The following list is not complete and it must be understood that in some cases the statistics are insufficient to justify us in making anything but a tentative decision. We may thus enumerate as dominant[Pg 113] over normality: Achondroplasy (abnormally short limbs with normal head and body); Keratosis (thickening of epidermis); Epidermolysis (excessive formation of blisters); Hypotrichosis (hairless, toothless condition); Diabetes insipidus; Diabetes mellitus; ordinary (not Gower’s) muscular atrophy; Glaucoma (internal swelling and pressure of eye-ball); displaced lens; Coloboma (open suture in iris); spottedness of hair-coat; and corneal opacity.
As a final illustration of a serious malady in man which acts as a dominant in inheritance, let us take Huntington’s chorea. Ordinary chorea, or St. Vitus’ dance, a disorder characterized by involuntary muscular movements, is commonly though not always confined to children and usually ends in recovery, but Huntington’s chorea appears typically in middle life and is a much more dangerous malady. Fig. 26, p. 114, represents the family history of one of five cases which have been studied by Doctor Lorenz in the Mendota Hospital for the Insane. All charts which have been platted of this malady show it to be inherited as a dominant. This means that half of the children of an individual who carried the malady in the simplex condition, and all the children of one who carries it in the duplex condition, are probably marked for this terrible end. And the true horror of it can only be appreciated by one who has seen the last stages of the malady. The victim once in its grasp gradually becomes wrecked in mind and body; the muscular twitchings and disorders of movement continually increase and dementia progresses until at last death ensues. Fig.[Pg 114] 27, p. 115, is another chart showing inheritance of Huntington’s chorea. In still a third case at the Mendota Hospital, the gravity of the situation can be appreciated when one realizes that the patient is the father of ten children, ranging in age from one to seventeen and one-half years. The calamitous fact that this disease does not manifest itself usually until middle life makes it likely that these children will all reach maturity, marry and in turn probably produce offspring before the doomed members of the family realize their fate.

Fig. 26
Chart showing descent of Huntington’s chorea in the P—— family (courtesy of Dr. W. F. Lorenz). Squares represent male, circles female; shaded figures are choreic members of the family; partially shaded figures, slightly affected or very “nervous” members. The members of the last generation are for the most part still too young to show their condition. The cross indicates the individual in the asylum from whom the record was traced back.
CASES OF RECESSIVENESS IN MAN
Recessive Conditions More Difficult to Deal With Because They Are Frequently Masked.—Coming now to the question of recessive conditions in man, we find that defects are more likely to be of recessive than of dominant type. Apparently normality usually means the presence of normal determiners and abnormality, the absence of some essential determiner. In the latter case, a unit-factor has seemingly been lost out in some way in the germ-plasm, and the product of such germ-plasm is therefore incomplete. As long as the loss is counterbalanced by the presence of a single determiner from the other line of ancestry, that is, as long as the simplex (Aa) condition prevails, the loss may not be in evidence, except in cases of incomplete dominance (taints, etc.), but any mating which permits of the production of the nulliplex condition will bring the defect to expression again.

Fig. 27
Chart showing inheritance of Huntington’s chorea in the R—— family (courtesy of Dr. W. F. Lorenz); 1, 2 have been patients at Mendota Hospital for the Insane; 3, died of “paralysis”; the fourth or last generation indicated by the cross, ranging in age from 6 to 14, are too young yet to show their condition as regards this malady.
The obscure nature of recessives makes such conditions more difficult to deal with than dominant defects. For as regards the latter we have seen that marriage of unaffected members of the family as far as that particular trait is concerned, is perfectly safe, even to a cousin, for once the germ-plasm is purged of such a positive factor, it, in so far as we know, remains pure. But in the case of a recessive character due to the absence of some necessary determiner a normal offspring of simplex constitution (Aa) will probably transmit to half of his children the capacity for handing on the defect, or if mated to another normal individual of simplex constitution (Aa) is likely to have the actual defect revealed again in one-fourth of his children and latent in two-thirds of the remainder.
Albinism a Recessive.—As an easily understood illustration of this type of case we may take human albinism, a condition which is due to the absence of a pigment-developing determiner. According to Davenport the albinic condition is recessive to normal condition. If albino (aa) is mated with albino (aa) nothing but albino children may be expected. An albino (aa) mated with a normal individual will have normal[Pg 117] offspring (Aa), but they will have the capacity for transmitting albinism to their descendants. Thus the normal offspring (Aa) of an albino (aa) and a normal parent (AA) if mated to another normal individual (Aa) who has also had an albino parent will probably transmit actual albinism to one-fourth of his children and the same capacity that he himself has of producing albinos, to one-half of his children, although the latter will appear to the eye to be normal.
Other Recessive Conditions in Man.—If for albinism we substitute certain forms of insanity, hereditary feeble-mindedness (Fig. 28, p. 118), or hereditary epilepsy, all of which apparently follow the same law, we can readily understand how unfit such matings are where both strains are affected. Marriage with similarly defective stock will result in the affection appearing in one-fourth of the progeny, and one-half of them, though apparently normal themselves, will have the capacity for transmitting the imperfection. It is in the existence of such hidden factors that the chief danger in the marriage of cousins, or in fact any consanguineous marriage lies.
A few of the various defects which seem to be inherited as recessives when mated with normality are: susceptibility to cancer; chorea (St. Vitus’ dance); true dwarfism (all parts proportionately reduced); Alkaptonuria (urine darkens after passage); alcoholism and criminality, where based on mental deficiency; hereditary hysteria; multiple sclerosis (diffuse degeneration of nervous tissue); Friedreich’s disease (degeneration of upper part of the spinal cord); Merriere’s disease (dizziness and roaring in ears); [Pg 118]Thomsen’s disease (lack of muscular tone); hereditary ataxia; possibly the tendency to become hard of hearing with increased age; and possibly, non-resistance to tuberculosis.
Of non-pathological conditions in man which are inherited as recessives, apparently either very great or very small intellectual ability are examples.

Fig. 28
Chart showing descent of feeble-mindedness as a typical recessive (after Goddard). Squares represent males, circles females; DD, homozygous dominant; DR, heterozygous dominant (i. e. normal although a carrier); RR, pure recessive; N, normal; F, feeble-minded; A, alcoholic.
Breeding Out Defects.—Even though recessive defects occur in a stock, there is the possibility of diluting out the imperfection in successive generations if care is taken always to marry into a stock wholly free from it. For example, a normal individual carrying a recessive defect will bear the abnormality in half of his or her germ-cells. This means that when such an individual marries a normal, non-carrier, half of their children will be wholly normal (AA) and half will be carriers; normal but of simplex constitution (Aa). If now this generation, [Pg 119]carriers and non-carriers, marry only into normal strains of duplex constitution, then their combined issue will be likewise normal with only one-fourth of them carriers of the imperfections. This means that even if all of this last generation were married to persons having the defect only one out of four would have children showing it although the remaining children would be carriers. On the other hand if mated to normals only one-eight of the next generation would be carriers. Thus by continually marrying into strong strains liability to manifest any recessive defect can be diminished in a few generations until the descendants are no more likely to have defective children than are members of our ordinary population.
The proportion in which the recessive defect would appear in successive generations if all persons in a given generation married only normal individuals who were non-carriers is indicated in the following table where AA indicates a normal individual, Aa one who is normal but a carrier, and aa an individual with the imperfection expressed; to indicate proportions simply after the first generation, four is arbitrarily chosen as the number of children which results from each marriage:
| Matings | Children | |||
| Generation 1 | aa × AA | == | Aa | |
| Generation 2 | Aa × AA | == | 2AA + 2Aa | |
| Generation 3 | AA × AA | == | 4AA | |
| AA × AA | == | 4AA | ||
| Aa × AA | == | 2AA + 2Aa | ||
| Aa × AA | == | 2AA + 2Aa | ||
| 12AA + 4Aa | ||||
[Pg 120]Other Inheritable Conditions in Man.—While many pedigrees show beyond dispute that such qualities as musical ability, literary ability, memory, calculating ability, mechanical skill, longevity, peculiarities of handwriting, obesity and muscular strength, for example, are inherited, their modes of inheritance have not yet been sufficiently analyzed to express them exactly.
ARE MODIFICATIONS ACQUIRED DIRECTLY BY THE BODY INHERITED?
Which New Characters Are Inherited?—Any new feature which appears in a given organism may have had its origin in some change which has come about in the germ from which it sprang, or it may be merely the product of some unusual stimulus operating on the body. While the outcome, as far as the present individual is concerned, is in each case a definite modification, the matter of inheritance is a very different question. On the first alternative where the new character is the outcome of germinal change, it is obvious that the altered germ-plasm will find expression in a similar way in succeeding generations as long as the new germinal combinations persist. On the other hand, if the new character has resulted merely from some influence operating on the body of the individual, then to be inherited it would also have in some way to be transferred to and incorporated in the germ-plasm. Inasmuch as the body or soma of any individual is highly plastic and since various of its ultimate features may be mere somatic modifications, it is important to decide if possible whether or not somatic variations which are not of germinal origin can be inherited.
Examples of Somatic Modifications.—For example, the small foot of the Chinese woman of certain caste is the result of inherent germinal factor for the[Pg 122] production of a foot plus the effects of binding which are in no wise germinal. The hand of the skilled pianist is a normal hand of germinal origin and normal environment plus the effects of special training. Again, the head of the Flathead Indian is a normal head of germinal origin and environment plus the effects of flattening. Similarly, almost any malformation of extrinsic origin may be cited, ranging from mutilations and amputations, scars and the like to monstrosities such as one-eyed fish which may be produced by subjecting a developing embryo to adverse conditions of development.
Use and Disuse.—Even reactions set up through the organism’s own activities must produce changes. For example, a muscle has a certain average of normal development in the average man; it comes to this through the innate nature of its component cells plus a certain average amount of exercise. It may, however, be developed far beyond this average by excessive exercise. On the other hand, it is a well-known fact that an unused organ weakens or may remain but partially developed. Thus either use or disuse may play an important part in the molding of a given individual. But whether or not in doing this it similarly affects the germ is a very different matter.
The Problem Stated.—The question is can such enhanced or suppressed development, or can new or modified characters, produced in an individual by external agencies be so reflected on the germ-cell of the individual that they tend to reappear as such in its offspring without requiring the same external factors for their production?
[Pg 123]Special Conditions Prevail in Mammals.—Before proceeding further we must recognize clearly the very special conditions which exist in most mammals. With them environment is in part an intra-maternal environment and in part independent of parental influences. Thus the formula for most non-mammalia would be—
Individual == egg + non-parental environment; but
for most mammals, including man—
Individual == egg + intra-maternal environment + non-parental environment.
This condition in mammals introduces a complicating factor which is likely to obscure the whole issue unless we bear it constantly in mind. In other words, we must discriminate sharply, in the discussion of inheritance in man, for instance, between two classes of influences which may exist in the infant at birth, that is, which are congenital; namely, those which were truly inherent—were in the germ-cells—at the very inception of the young individual, and (2) those which might later have been derived from either parent by the yet unborn offspring. The latter are not regarded as truly hereditary. Since certain diseases or their effects belong here we occasionally find a physician using the term inheritance for such prenatal influences, but the more careful ones now employ the term transmission to discriminate between such conditions and true inheritance. In its biological usage inheritance always refers to germinal constitution and never to any condition that may be thrust on a developing organism before birth. It is clear, then, that congenital conditions are not all necessarily cases of inheritance.
[Pg 124]Three Fundamental Questions.—To get at the question of the inheritance of body modifications with the least confusion, let us examine it in the form of three fundamental questions, as follows:
1. Can external influences directly affect the germ-cells?
2. Can external influences, operating through the intermediation of the parental body, affect the germ-cells? If so, is the effect a specific and a permanent one which persists in succeeding generations independently of external influences similar to those which originally produced it? Only such a condition as this would rank as the inheritance of a somatic modification.
3. Can the appearance of new characters be explained on any other ground, or on any more inclusive basis, than through the transmission of somatic acquirements, or do organisms possess heritable characters which are inexplicable as inheritance of such modifications?
Obviously the only way the question can be settled is through careful experimentation in which all possible sources of error have been foreseen and guarded against. Much experimental work has been undertaken for the solution of this problem as the goal and we may therefore select typical ones of these experiments and apply the results toward answering our three questions.
External Influences May Directly Affect the Germ-Cells.—There is evidence that under special conditions external influences may in certain organisms affect the germ-cells, but that this occurs [Pg 125]commonly is extremely doubtful. For example, Professor MacDougal, by treating the germ-cells of the evening primrose with various solutions, such as sugar, zinc sulphate and calcium nitrate, has apparently succeeded in producing definite germinal mutations. He injected the solution into the ovary of the flower the forenoon of the day at the close of which pollination would occur. He reports that in this way changes were produced in the germ which found expression in new and permanent characters.
Professor Tower has experimented for a number of years with various species of Leptinotarsa, the potato beetle. By varying the conditions of temperature, humidity and atmospheric pressure when females were laying their eggs, he reports having produced variations in the young which came from these eggs although the mothers themselves were not changed. According to Professor Tower slight increase or decrease in these environmental factors stimulated the activity of the color producing ferments, giving rise to melanic or darker individuals. Greater increase or decrease, inhibited them and produced albinos. He found also that at times the same stimulus might show different results in different eggs. The effect, therefore, is a general and not a specific one. Ordinarily the eggs of these beetles are laid in batches. When one of these batches was laid and left under normal conditions, the usual form of young hatched from it, but other batches from the same female under abnormal conditions resulted in the production of atypical forms. For example, a normal two-brooded[Pg 126] form became five-brooded. The commonest modification was the production of various color types. These once established, according to Professor Tower, behave as independent, inheritable units.
The experiments of Doctor Bardeen with X-rays and of others with X-rays, radium and other agents on the sperm and ova of amphibia show that these are very susceptible to injurious influence at or near the time of fertilization.
Such Effects Improbable in Warm-Blooded Animals.—However possible it may be to bring about germinal changes in invertebrata or lower vertebrata by such external agents as temperature and the like it is obvious that the probability of such extrinsic influences affecting the germ-cells of warm-blooded animals is very remote indeed. In the latter the germ-cells are more or less distant from the exterior and are at practically a constant temperature. Such experiments, therefore, beyond showing the possibility of producing changes in germ-cells, do not have very direct bearing on the problem of how inheritable variations are produced in man. In his case about the only avenue of approach through which germ-cells might be influenced is the blood or lymph.
Poisons in the Blood May Affect the Germ-Cells.—Any poisonous material in the latter might injuriously affect the gametes. We know, in fact, that such poisons as alcohol, lead and various drugs, and also the toxins of various diseases, do so affect germ-cells. It seems plausible to suppose that changing conditions of nutrition may affect the constitution of the [Pg 127]germ-cells and thus induce changes in the organism which arise from these cells, but such nutritional effect is not yet a matter of established fact.
Difficulty of Explaining How Somatic Modifications Could be Registered in Germ-Cells.—As to our second query concerning the possibility of affecting the germ-cells through the intermediation of parental tissues, it is evident at a glance that since the germ-cells are built up along with the body and are not a product of it (Fig. 2, p. 13), if such effects are possible they must take place through the agency of some transporting medium. The germ-cells, being lineal descendants of the original fertile germ or zygote, already have the same possibilities of developing into an adult that the zygote had, and so the problem becomes one of modifying a complete germ already organized rather than of establishing a new germ by getting together samples of every part of the body. This is all the more evident when one realizes that usually the germ-cells are set apart long before the body becomes adult, that is, before the body has developed most of its characteristics. Moreover, among lower animals many instances are known where the immature young or even larvæ will produce offspring which nevertheless ultimately manifest all the structures of the adult condition.
But supposing specific modifications of the germinal mechanism were possible, it is difficult to comprehend how an influence at a distant point of the body could reach the germ-cell, to say nothing of the even greater difficulty of understanding how it could become registered in the germ in a specific way as affecting a [Pg 128]particular part. For it must be remembered that the organs of the adult do not exist as such in the germ but are present there only as potentialities. How, for example, can a change in the biceps muscle of one’s arm be registered in a germ-cell in which there is no biceps muscle, but merely the possibilities of developing one? Or how can increased mental ability which is contingent on the elaboration of certain brain-cells be impressed on a germ which has no brain-cells but only the capacity under certain conditions of producing such cells? For the brain of a child is not descended from the brain of his parent, but from a germ-cell carried by that parent.
Persistence of Mendelian Factors Argues Against Such a Mode of Inheritance.—On the face of things, the apparent inviolability of Mendelian factors which may remain unexpressed in the germ for one or many generations—indeed the whole matter of genotypical differences in the gametes of the same individual—shows the improbability of somatic interference with the germ-plasm. But notwithstanding this, because of the great importance of the issue, it is well to review in some considerable detail the various phases and possibilities of the question.
Experiments on Insects.—Some of the attempts to secure evidence of the transmission of personally acquired parental modifications in insects are very interesting. Many insects in the larval stages, particularly just after pupation seem to be especially susceptible to external influences. They have been much used, therefore, for purposes of experiment. It has long been known that differences in size, in color and[Pg 129] even in the shape of wings can be produced by various agents if applied at this period of development. From the standpoint of heredity, however, the important consideration is to determine if these experimentally induced changes have been reflected on to the germ-cells so that they reappear in the offspring of the modified individuals.
It has been found that in some cases where male and female are of different color, the color of the female can be changed to that of the male by altering the conditions of temperature. In certain cases types can be changed by cold so that they resemble varieties of the same species found farther north, and by heat, varieties found farther south. But not all individuals of a given lot are affected, and often different individuals of the same kind show different effects. Moreover, in some cases the same aberrations were produced by heat as by cold. This indicates that it is not so much a question of specific effects as a general physiological change, apparently mainly a matter of direct influence of temperature on the chemical composition of the pigments. The Countess von Linden in fact has shown that the extracted pigments can be made to undergo the same changes of color in a test-tube by heat and cold as in the pupæ. But there is no evidence that the germ-cells of the living insect were affected in a specific way. In a small fraction of the offspring of such modified individuals abnormalities appeared, but these were not always of the same kind as those which had been produced in the parent. That is, there was no evidence of a trait or character having been acquired by the body and handed[Pg 130] on to the germ-cell. Where an effect was produced on the germ-cell it was probably produced directly as in the first cases discussed.
Size, colors and markings of butterflies have also been altered by subjecting the caterpillars or the pupæ to such influences as strong light, electricity, various chemical substances, centrifuging, diminished oxygen supply, etc., but the results were in the main confined to the immediate generations. In the few cases where permanent inheritable changes were seemingly produced they were more reasonably interpreted as the effects of direct action on the germ-cells than as examples of inherited somatic modifications.
Starvation experiments which resulted in the dwarfing of adult individuals have been performed on various insects, and while the dwarf condition may persist through one or two generations due to a diminished food supply in the eggs of the dwarf, the stock in question when returned to normal food conditions soon resumes its original characteristic size.
Experiments on Plants.—Many experiments have been performed with plants, inasmuch as they are particularly prone to become modified by changes of food supply, or climate. For example, plants which grow luxuriantly in a warm moist climate or a rich soil may become stunted and markedly changed if transplanted to a cold climate or a poor soil. Naturally, their progeny will exhibit the same behavior as long as they are kept under the new conditions. Experiments carried on through numerous generations, however, practically all show that the germinal constitution of the plants remains unchanged, for when their seeds are[Pg 131] planted under the original favorable conditions of soil or climate, the plants resume their former habits of growth. Naegeli, for instance, who made a study of many varieties of Alpine plants, and who carried on experiments with many of them for years in the Garden of Munich, concluded that no permanent effects had been produced by the Alpine climate and conditions in plants from other regions which had come under its influence. A few botanists have claimed to have found that the changes produced by the Alpine climate have persisted for a generation or two and have then worn off. More recent experiments on various of our field grains which have been stunted and cut down in productivity by growing for a number of generations under adverse conditions show that they have not been permanently modified by such treatment, for they resume normal productivity and size when grown again under favorable conditions.
On the other hand, Lederbaur found that a common weed, Capsella, when transplanted from an Alpine habitat to the lowlands did not return to the lowland type of the weed, but retained certain of its Alpine characteristics. It is not clear, however, that this particular species during its long sojourn of many generations in Alpine conditions may not have undergone a series of germinal variations and have developed into a new variety or species quite independently of changes wrought in the germ by reflected somatic effects. Indeed, in face of the preponderance of other cases to the contrary, this interpretation would seem to be the more plausible one.
[Pg 132]Experiments on Vertebrates.—In the vertebrates we may also find examples of various somatic modifications experimentally produced, but evidence of their inheritance is as difficult to establish as in the invertebrates. Let us examine a few of the more significant of these which are alleged by some to bear evidence of such inheritance.
By decreasing the amount of water in an aquarium Marie von Chauvin was able to transform the aquatic, gill-breathing salamander Axolotl into the gill-less land form Ambystoma, heretofore regarded by systematists as a different species. Either of these forms when sexually mature produces its like. The salamanders in question have both lungs and gills, but after a time the ones which are to be land forms lose their gills and become exclusively lung-breathers. What seems to have been accomplished then is the accelerating or forcing of normal natural tendencies already inherent in the organism instead of introducing something new into the inheritance by way of the soma. Axolotl is in all probability merely a larval form of Ambystoma which with high temperature and an abundance of water reproduces without advancing to the final possible stage of its life cycle.
Epilepsy in Guinea-Pigs.—Perhaps the most frequently cited case and the one in which the defenders of the idea of somatic inheritance usually take final refuge is that of Doctor Brown-Sequard’s guinea-pigs, notwithstanding the fact that no one has had convincing success in repeating the experiments and that the original results are apparently open to more than one interpretation. This experimenter rendered guinea-pigs[Pg 133] epileptic by certain injuries to the nervous system. Epilepsy appeared in some of the offspring of these operated animals. He regarded this as an example of the inheritance of an artificially induced epilepsy. An indirect loss of toes occurred in some of the parents as a result of the operations on the nervous system. Some of their young also had missing toes. However, as has been pointed out by various critics, guinea-pigs are strongly predisposed toward epileptic-like seizures, and the epilepsy in the young may have been merely a coincidence. Voison and Peron believe they have shown that in epilepsy a toxin is produced that may affect the unborn fetus. That is, the result might have been due to a poison derived directly from the mother. The experiments in fact show that it was mainly in the offspring of affected mothers that the condition appeared. Others maintain that we do not know the exact nature of epilepsy, that in some cases it may be the result of infection by disease-germs, and that Brown-Sequard’s cases may, therefore, have been merely the communication of a disease from parent to child. As to the disappearance of toes it is a well-known fact that rodents in particular are likely to gnaw off the toes of their young very soon after birth, and little credence can be put in a lack of toes in such young as cases of inheritance except under conditions of much more careful observation than existed in Brown-Sequard’s experiments. A fuller account of these experiments will be found in Romanes’ Darwin and After Darwin, Vol. II, Chap. 6.
Effects of Mutilations Not Inherited.—Many experiments have been performed by investigators to [Pg 134]determine whether or not the results of mutilation are transferred to succeeding generations, but so far only with negative results. Many such experiments have been unwittingly carried on for many generations, in fact, by breeders and fanciers, in the docking of horses, dogs and sheep, the dehorning of cattle and the like, yet no satisfactory evidence of the transmission of such conditions in any degree has ever been forthcoming. The mutilations or distortions of the human body through various rites or social customs also fails to yield any convincing examples. Foot-binding, head-binding, or waist-binding must be repeated in each successive generation to produce the particular type of “beauty” that results from such deformities. And lucky it is for man that injuries do not persist in subsequent generations, otherwise the modern human being would be but a maimed relic of past misfortunes.
Transplantation of Gonads.—An interesting experimental test regarding the effect of the body on the germ was made recently by Castle and Phillips with guinea-pigs. It will be recalled from the discussion on Mendelism that when a black guinea-pig is mated with a white one the offspring are always black. These experimenters transplanted the ovaries from a young black guinea-pig to a young white female whose own ovaries had been previously removed. This white female was later mated to a white male. Although she produced three different litters of young, six individuals in all, the latter were all black. That is, not a trace of coat-color of the white father or of the white foster-mother was impressed on the transplanted germ-cells or the developing young. Later[Pg 135] experiments of the same kind by Castle and Phillips, with other varieties of guinea-pigs, have yielded the same results. The body of the mother, indeed, seems to serve merely as a protective envelope and a source of nutrition.
Effects of Body on Germ-Cells General, Not Specific.—As far as the evidence regarding the modification of the germ-plasm by the body is concerned, we must conclude then that while under special circumstances the germ-cells may be affected, the effect is general rather than specific and the result as seen in the offspring has no discoverable correlation with any particular part or structure of the parental soma. The effect is presumably of much the same nature as where the germ is directly affected by external agents. Where a new character or a modification of one already existing is produced by a given condition of environment, in our experience so far to have the same repeated in the offspring, a similar evocative condition must prevail in the environment of the latter. Or in other words the new character is not a permanent one which persists in succeeding generations independently of external influences similar to those which originally produced it.
Certain Characters Inexplicable as Inherited Somatic Acquirements.—It would require remarkable credulity, in fact, to believe that some of the most striking features about certain plants or animals could have been developed by means of the inheritance of somatic modifications. For example, many animals such as the quail, the rabbit, or the leaf-butterfly are protectively colored. That is, they harmonize in [Pg 136]color-pattern with their surroundings so closely that they are overlooked by their enemies. But how can this oversight on the part of an enemy so affect the bodies and through them the germ-cells of such individuals as to develop so high a degree of protective coloration? Or how, indeed, could any of numerous adaptive structures which one can think of, such as the color or scent of flowers to lure insects for cross-pollenation, the various grappling devices on many seeds to secure wide distribution by animals, or the like, have been directly produced by use or disuse or by any variation produced in them by the agents to which they are adapted?
The Case of Neuter Insects.—A very instructive example of the improbability that great skill, highly specialized structures, or certain instincts are first developed in the parental body as the result of use and then passed on to the offspring, is seen in the case of neuter insects. In bees, for example, there are three classes of individuals: the drones or males; the queens or functional females; and the workers, which are neuter, that is, take no part in reproduction. The latter are really sexually undeveloped females. The queen can lay either fertilized or unfertilized eggs. The latter always give rise to males. The workers gather the food, attend the queen, wait on the young, construct the comb, and in short perform all the ordinary functions of the colony except the reproductive. They have many highly specialized structures on various parts of their bodies for carrying on their many activities, as well as the very highly specialized instincts necessary to the maintenance of the colony.[Pg 137] But now, complex and highly developed as these workers are, since they do not give rise to offspring, no matter how much experience or structural modifications they may acquire during their lifetime, it can not be handed on to another generation. Nor can they have come to their present highly organized state through such a form of transmission since they are not the descendants of workers but of a queen. Any new modifications that appear in the workers of a colony must therefore have their origin in changes which have taken place in the germ-cells of the queen, and not in the soma of some other worker. It has been argued that the worker has not always been infertile; that at a more primitive stage of the evolution of the bee colony every female was both worker and mother, and that individual somatic acquirements might therefore have been transmitted, but this argument can not hold for many of the instincts or features of the modern bee because these have to do only with the conditions of life which exist in the colony in its present form. It is obviously absurd to maintain, for instance, that all the highly specialized instincts incident to queen production, queen attendance and the like were functionally produced through usage before there was any queen to produce or attend, while on the other hand, the very necessity of queen production and maintenance is the outcome of the infertility of the workers. Some workers have been known to lay eggs, but as these are few in number and are never fertilized, which means if they develop they can only produce males, they can play no considerable part in inheritance.
ORIGIN OF NEW CHARACTERS
Origin of New Characters in Germinal Variation.—This brings us to our last query as to whether the appearance of new characters can be explained on any other or any more inclusive ground than that which infers that changes undergone by the parent-body are in some way registered in the germ-cells so as to be repeated in a certain measure in the body of the offspring. The answer to the question of how inheritable variations do come to appear in offspring if not through changes produced in the body of the parent, is uncertain; nevertheless most biologists believe that they do not have such a somatic origin but arise directly as germinal variations. Some would attribute them to the fluctuating nature of living substance in general. The instability of protoplasm is one of its striking characteristics. It is constantly being broken down and built up, or, in other words, undergoing waste and repair. Like all other protoplasm, that of the germ-cells must also undergo these metabolic changes and it is possible though not proved that in this give and take of substances small changes occur in their constitution which find expression in the offspring as variations. As already seen, substances in the blood other than food may also affect the constitution of the germ-cells.
Sexual Reproduction in Relation to New Characters.—Some biologists attribute great importance to sexual reproduction as a basis of variation and the origin of new characters. They argue that the mingling of determiners from two different lines must[Pg 139] produce many new combinations and expressions of germinal potentialities. Plausible as the argument seems at first sight no one has succeeded as yet in securing proof that absolutely new characters can be originated in this way. What seems to occur under such circumstances is merely a reshuffling or sorting of old unit-characters. Although innumerable permutations and combinations of these may be made which find new expression outwardly, this is obviously not creating determiners of new unit-characters in the germ-plasm. While many biologists would not deny the possibility or even the probability that the determiners of unit-characters may sometimes combine or influence one another so as to form actual permanent new characters, the proof of such performance is wholly lacking. On the other hand, there are not a few biologists who argue that sexual reproduction accomplishes just the reverse of increasing the extent of variation or creating new characters; according to them it tends to annul exceptional peculiarities of either parent by throwing the offspring back to the average racial type. It is thus looked on by these advocates as a stabilizer which reduces the amplitude of variations instead of increasing them. As a matter of fact the two ideas are not mutually exclusive; sexual reproduction may accomplish both of these ends. A limited number of observations and experiments have been made to test out the correlation between sexual reproduction and variation, but they have so far been too few or too inconclusive to enable us to come to a satisfactory conclusion.
While we are uncertain about the method of origin[Pg 140] of new characters the fact remains that they do arise in abundance as abrupt mutations or otherwise and become a part of the permanent heritage of a stock. It is clear that sexual reproduction may be one important means by which a given new character which has arisen in one or a few individuals may become incorporated in the species at large. Through Mendelian combinations and segregations it would by cross-breeding be spread and gradually introduced into more and more strains of the general population.
Why So Many Features of an Organism Are Characterized by Utility.—Germinal variations are seemingly at first more or less hit or miss affairs as far as utility to the organism is concerned. Useless variations, so long as they are not actually harmful, may persist and apparently be indefinitely inherited. However, a special premium is put on variations which happen to be useful for they help the organism to succeed in its struggle for life and since success in the world of life means not only mere individual survival but also the production of progeny, through this very means insured transmission to subsequent generations. It is probable that the very many useful features of any organism, that is, its adaptations, have thus been established. It is possible also that many variations which at their inception are indifferent may wax in strength in successive generations until they reach a point where they must become either useful or harmful. In the former case they would mean increased insurance of survival for their possessors, in the latter, elimination. With such an automatic process as this operative in nature it is not astonishing that[Pg 141] the main features of any organism are characterized by their utility to it.
Germinal Variation a Simpler and More Inclusive Explanation.—The gist of the whole matter regarding the source of new characters in offspring seems to be that the explanation based on the idea of germinal variation is in last analysis the simpler and more inclusive, and there is no alleged case of inheritance of parental modification, which can not be equally well explained as the result of a germinal variation. There are numerous cases which can not be explained as transmissions of somatic acquirements even if this transmission could be established in certain cases. So, many biologists argue, why have two explanations when one is sufficient, especially when the other has never been conclusively established as true in any case and is obviously untrue in certain test cases? The attitude of most investigators is that of the open mind. While feeling that the weight of probability is very decidedly against the theory of the inheritance of somatic modifications, they still stand ready and willing to accept any evidence in its favor which when weighed in the balance is not found wanting.
ANALYSIS OF CASES
While space will not permit extended discussion, in order further to fix the nature of the problem in mind as well as to exemplify the conditions that must be satisfied to form convincing evidence of inherited somatic acquirements, it will be well perhaps to analyze a few typical cases as they are frequently cited.
[Pg 142]Are the Effects of Training Inherited?—Breeders and trainers very commonly believe that the offspring of trained animals inherit in some measure the effects of the training. Thus the increased speed of the American trotting horse is often pointed to as strong evidence of such transmission. According to W. H. Brewer, the earliest authentic record of a mile in three minutes was made in 1818. The improvement, approximately by decades, from that time was as follows:
| During | 1st | decade | after | 1818, | improved | to | 2:34 |
| 2nd | " | " | " | " | " | 2:31½ | |
| 3rd | " | " | " | " | " | 2:29½ | |
| 4th | " | " | " | " | " | 2:24½ | |
| 5th | " | " | " | " | " | 2:17½ | |
| 6th | " | " | " | " | " | 2:13½ | |
| 7th | " | " | " | " | " | 2:08½ |
By 1892, the date of Professor Brewer’s publications (See Agricultural Science, Vol. 4, 1892) the record had reached 2:08½. Since then it has been lowered still further.
On the face of it this looks like a good case of inheritance of training, and Brewer himself believed it such. If so this would mean that colts of a highly trained trotter would be faster than they would have been if their parent had remained untrained. It is impossible to get positive proof in the case of any trained horse since there is no way of establishing just how speedy the progeny would have been had the parent remained untrained. If it could be shown that colts sired by a trotter late in life were on the whole faster than those sired by the same father when younger and as yet not highly exercised in trotting,[Pg 143] then the facts might give some evidence of value, but unfortunately no such records are available.
On the other hand, even ignoring the fact that improvement in track and sulky are probably the biggest items in the shortening of records in recent times, selection instead of inheritance of the effects of training will equally well account for any innate progress in trotting. And since, as pointed out by Professor Ritter, there are even more striking cases of similar improvements in other fields, such as college athletics, where the factor of use-inheritance is entirely precluded, it is wholly unnecessary to postulate it in the case of the trotter.
For example an inspection of the records of college athletics for the last thirty-five years in running, hurdling, pole-vaulting, jumping, putting the shot, etc., shows on the whole a steady advance year by year. Moreover, the greatest improvement has occurred in those events in which skill and practise count for most together with selection of the inherently ablest candidate for the events. But in the case of athletics the improvements shown in thirty-five years have all come within a single generation and hence the inheritance of the effects of training is ruled out as a factor. Selection and improved training are the only factors operative.
In the case of the trotter inheritance undoubtedly has also been a factor, but inheritance based on selection of what the race-track has shown to be the speediest individual, not inheritance of the effects of training. In other words, horses which have shown the capacity for being trained to the highest degree of[Pg 144] speed have naturally been selected as sires and dams and so through selection generation after generation a speedier strain has gradually been established.
Instincts.—When we turn to the realm of mental traits, particularly of instincts, we meet with a whole host of activities which are frequently pointed to by transmissionists as examples of inherited acquirements. Thus according to them, habits at first acquired through special effort ultimately become instinctive, or according to some, instinct is “lapsed intelligence.” Instances often cited are the pointing of the bird-dog, the extraordinary crop-inflation of the pouter-pigeon, or the tumbling of the tumbler pigeon. We can not stop to discuss these cases beyond pointing out as many others have done that practically all dogs have more or less of an impulse to halt suddenly, crouch slightly and lift up one fore-foot when they scent danger or prey, that all pigeons pout more or less, and that practically all show more or less instincts of tumbling when pursued by a hawk. Thus in all of these cases the fundamental germinal tendency is already at hand for the fancier to base his choice on and thus through selection build up the type desired. Just as in the fan-tailed pigeon, by repeatedly selecting for breeding purposes individuals which showed an unusual number of tail-feathers he has built up a type with an upright, fan-like tail having many more feathers than the twelve found in the tail of the ordinary pigeon, so by similar procedure in the case of other forms he has markedly enhanced certain features. The idea of instincts being “lapsed intelligence” is so clearly and concisely criticized in an[Pg 145] article by the late Professor Whitman[4] that I can not do better than quote an excerpt. His views to the contrary are as follows:
“The view here taken places the primary roots of instinct in the constitutional activities of protoplasm and regards instinct in every stage of its evolution as action depending essentially upon organization. It places instinct before intelligence in order of development, and is thus in accord with the broad facts of the present distribution and relations of instinct and intelligence, instinct becoming more general as we descend the scale, while intelligence emerges to view more and more as we ascend to the higher orders of animal life. It relieves us of the great inconsistencies involved in the theory of instinct as “lapsed intelligence.” Instincts are universal among animals, and that can not be said of intelligence. It ill accords with any theory of evolution, or with known facts, to make instinct depend upon intelligence for its origin; for if that were so, we should expect to find the lowest animals free from instinct and possessed of pure intelligence. In the higher forms we should expect to see intelligence lapsing more and more into pure instinct. As a matter of fact, we see nothing of the kind. The lowest forms act by instinct so exclusively that we fail to get decided evidence of intelligence. In higher forms not a single case of intelligence lapsing into instinct is known. In forms that give indubitable evidence of intelligence we do not see conscious reflection crystallizing into instinct, but we do find instinct coming more and more under the sway of intelligence. In the human race instinctive actions characterize the life of the savage, while they fall more and more into the background in the more intellectual races.”
[Pg 146]For further discussion of this field the reader is referred to an excellent chapter on “Are Acquired Habits Inherited?” in C. Lloyd Morgan’s book, Habit and Instinct.
Disease.—Perhaps in the realm of disease more than in any other has an interest in the inheritance of somatic acquirements been manifested. The problem arising here is not essentially different from other questions of inheritance but since it is a matter of such practical importance to man, we may well give it special attention. We have to deal simply with the old questions of what is constitutionally in the germ, what is acquired by the body, and lastly, whether the somatically acquired is inherited. While we all know in a general way what is meant by disease, especially if some specific disorder such as scarlet fever, malaria or tuberculosis is mentioned, an attempt to give an accurate definition is much like trying to define a weed, inasmuch as what is functionally all right at one time or place may be all wrong at another, or what is normal in one animal may be abnormal in another. In general we may say that disease is derangement or failure of physiological function.
Reappearance of a Disorder in Successive Generations Not Necessarily Inheritance.—In attempting to study the inheritance of diseases we must recognize clearly at the outset that reappearance of a disease in successive generations by no means necessarily signifies inheritance. Before it can be pronounced such we must make sure that it is not a case of reimpressing similar modifications on the individuals of successive generations. For example, in England there[Pg 147] is a well-recognized condition known as collier’s lung which results from constant working in coal mines. And while both father and son may exhibit it, because of their similar occupations, there is nothing hereditary about the malady. Likewise there is what is known as emery grinder’s lung, and practically every large manufacturing city with soot-laden atmosphere leaves its impress on the lungs of the inhabitants. This will occur, of course, generation after generation, as long as such pollutions of the atmosphere continue to exist. It is clear that any unhealthy occupation is likely to cause the reappearance of an associated typical disease generation after generation as long as the children follow the calling of their parents. The common misconception that deformities or postures associated with a trade, such as a shoemaker’s or tailor’s, is genetically stamped on offspring by the end of the third or fourth generation results from failure to discriminate between real inheritance and mere reappearances under similar conditions of environment.
Prenatal Infection Not Inheritance.—Again, we must recognize that prenatal infection is not inheritance. We have already seen that the young mammal undergoes a certain period of intra-maternal development, but influences operating on it during this period of gestation must be reckoned with as environmental, not germinal. For example, it is said that an unborn child may take smallpox from its mother but this and all similar occurrences are cases of contagion. We find the great pathologist, Virchow, who with many others of his time was a believer in the inheritance of acquired characters, saying nevertheless [Pg 148]regarding such instances that, “What operates on the germ after the fusion of the sex-nuclei, modifying the embryo, or even inducing an actual deviation in the development, can not be spoken of as inherited. It belongs to the category of early acquired deviations which are therefore frequently congenital.”
Inheritance of a Predisposition Not Inheritance of a Disease.—We must discriminate sharply also between the inheritance of a predisposition and the inheritance of a disease itself.
We often hear the statement made that tuberculosis is inherited and have cited in evidence certain consumptive families or strains. But tuberculosis is a bacterial disease and children of tuberculous parents are never born with the disease except in the rarest of instances.
Tuberculosis.—What is really inherited is a constitutional susceptibility to this particular germ. While almost any individual may contract tuberculosis when in a state of depressed vitality, or under stress of adverse surroundings, there is no doubt that certain families are more easily infected than others and much less resistant to the ravages of the disease when once it gains a foothold. However, a predisposition is a vastly different thing from the inheritance of the actual disease. For just as we are born with a nose well adapted to eye-glasses but not with eye-glasses on our nose, so many of us are born tuberculizable though not tuberculous, and every sanitary advance we make toward lessening the chances of infection is just so much more insurance for the susceptible.
The whole problem of tuberculosis is an extremely[Pg 149] complex one. We do not know just the measure of the inheritance of the predisposition. Some writers in the past have maintained that tuberculosis is mainly a question of infection and not of inherent susceptibility, but steadily increasing evidence all points the other way.
Where the predisposition exists the chances of infection are still, even under the conditions of present-day sanitation, very great. The close association between a consumptive and other members of the family through a prolonged period of time, of course, renders the latter likely to infection unless unusual care is exercised. Very often where a parent is consumptive a child contracts the malady shortly after birth and is particularly likely to do so if the mother, who nurses it and cares for it most intimately, is the tubercular member of the family. Where the mother is tubercular, indeed, the probabilities are that the child has already before birth had its vitality lowered through the toxins circulating in her blood or through defective nutrition, and in consequence does not resist well any diseases.
Undoubtedly a large proportion of our infant mortality is of tubercular origin. It is now a well-established fact that much tuberculosis in children is attributable to drinking milk from tuberculous cows, yet we find individuals so uninformed and dairymen so mercenary that they fight all attempts of the commonwealth to test out cattle for tuberculosis so as to condemn the infected individuals and thus save our babies. Recent investigations made in some of our large pork-packing establishments also indicate that[Pg 150] hogs, especially such as have been around tubercular cattle, are often shot through and through with tuberculosis and that such flesh when used as food, if not thoroughly cooked, may become a serious menace to our health.
With the wide prevalence of bovine and human tuberculosis it is little wonder that nearly every human being becomes more or less infected at some period of life. Autopsies on large numbers of individuals in some of our great hospitals have shown that as many as ninety-nine per cent. of the subjects show tubercular lesions of some kind. While it is true that the class of people who would come to autopsy in such public hospitals would perhaps be more likely to be tubercular than the average of the community, still it can not be denied that a very large degree of infection exists. Pearson, from statistics gathered in Europe, has shown that about eighty to ninety per cent. of the population have tubercular lesions before the age of eighteen. Hamburger found that in Vienna ninety-five per cent. of the children of the poor, between twelve and thirteen years of age, were infected with tubercular bacilli and he estimates that all would be before maturity. According to Doctor Mott, pathologist to the London County Asylums, the insane between the ages of fifteen and thirty-five are about fifteen times as likely to acquire tuberculosis as the sane are.
Yet the mortality from tuberculosis, great though it be, is obviously not in proportion to the enormous degree of infection. The crux of the situation is mainly the matter of resistance. From the standpoint of[Pg 151] heredity, therefore, the question largely resolves itself into one of the inheritance or non-inheritance of constitutional resistance. Some are predisposed to be non-resistant and hence succumb.
The work of Karl Pearson[5] and other recent researches forcibly indicate that hereditary constitutional predisposition is one of the chief factors concerned in subjects who develop well defined attacks of the disease. Yet we must not forget that there are degrees of susceptibility and that therefore a constitutional predisposition which might be of little significance under good average conditions of nutrition and sanitation might be insufficient under unfavorable conditions.
Before we can make any relatively accurate estimate of the exact degree to which the malady is based on inheritance we must have more data. Many difficulties beset the path of the investigator. In the first place, when one gets back a generation or two he finds that diagnosis was crude and uncertain; a given malady may or may not have been tuberculosis. The main error however was probably on the side of not recognizing it in mild or obscure cases. Then again the questions of virulence of the infection, of size and frequency of the dose, etc., are also complicating factors. Moreover, in very many cases the infection is a mixed one and hence we are dealing with other factors than straight tuberculosis.
Two Individuals of Tubercular Stocks Should Not Marry.—However, sufficient is now known of the[Pg 152] inheritance of susceptibility to the disease that we can have little conscience toward the welfare of the race if we in any way countenance the marriage of two individuals who come each of tubercular strains, and marriage of even a normal person into a badly tainted strain, where the one married is tubercular, is extremely hazardous looked at from the standpoint of the children likely to be born of such a union. The Supreme Court of New York recently held that the fraudulent concealment of tuberculosis by a person entering into a marriage relation is ground for the annulment of the marriage.
Special Susceptibility Less of a Factor in Many Diseases.—With some diseases such as leprosy, typhoid fever, smallpox and cholera there seems to be less a question of special susceptibility since nearly all persons are vulnerable. Yet in cases of typhoid, at least, there are some indications that certain families are more likely to take the disease than others under similar exposure. We know of no inherited effects of such diseases, however. For instance, children of lepers do not inherit leprosy and if kept out of leper districts remain normal.
Deaf-Mutism.—In certain abnormal states there is danger of confusing similar conditions which may have two entirely different sources of origin. Deafness, for example, may be strictly inborn as the outcome of a germinal variation or it may result from extraneous influences such as accidents, infective diseases, neglected tonsils and the like. The former is inheritable, the latter not. Bell in 1906 in a special census report to the United States government showed[Pg 153] that deaf-mutism is markedly hereditary, particularly where deaf-mutes intermarry as they are prone to do. Fay’s extensive studies on Marriage of the Deaf in America also demonstrate the hereditary nature of the congenital forms of deafness. Cut off as such individuals are from communication with normal people, the association of the two sexes in special schools and institutions is of course highly conducive to such marriages. The defect seems to behave in the manner of a Mendelian recessive. Two deaf-mutes should not have children and yet such marriages are occurring every day. Even if two persons marry from families which tend to become hard of hearing the evidence indicates that their children are likely also to develop this partial deafness as they grow older, although it seems safe for a person of such tendency to marry into a family without it.
Gout.—In such disorders as gout there is little question but that a tendency to it runs in families. On the other hand it may also be acquired without special susceptibility. There is no evidence, however, that because a father has gout the effect of the gout is reflected on his germ-cells and the son has gout as a result. Indeed, often a son who becomes gouty was born long before the father became gouty. Son and father both have gout then, because each has innate germinal tendencies which when subjected to certain evocative stimuli become expressed as gout.
Nervous and Mental Diseases.—Inasmuch as the question of nervous and mental diseases has become one of such overshadowing importance at the present day, a discussion of the subject at some length will be[Pg 154] presented in a separate chapter. I shall merely point out here that the general verdict of experts in nervous and mental disorders is to the effect that externally induced mental disorders are of rare occurrence except as the result of general poisoning or enfeeblement of the system in some way, or by traumatic conditions such as a blow on the head, and that there is no evidence of the transmission of the effects of such conditions. In most cases of insanity, supposedly caused by fright or worry, a close study of the family stock will reveal nervous instability of some kind. The supposed cause has been merely the precipitating stimulus which has brought to expression a dormant weakness of germinal origin. The stress and strain of modern life is particularly likely to test out and reveal such neurally unstable individuals.
Other Disorders Which Have Hereditary Aspects.—Space will not permit discussion of various other specific disorders which are known to have important hereditary aspects, although none shows any convincing evidence of having become hereditary in nature through first affecting the soma. Some of these, such as epilepsy and other nervous affections, tuberculosis, color-blindness, cataract and various malformations, have already been mentioned. Others that may be listed are cancer, arterio-sclerosis, obesity and certain forms of rheumatism, and of heart and kidney diseases. In practically all of these cases in which heredity enters as a factor the condition is one of inheriting a special susceptibility and not the disease itself. Which means simply that the disorder in question[Pg 155] is much more easily called forth in such persons by appropriate bacterial or other stimulus, than in the case of the normal individual.
Induced Immunity Not Inherited.—Lastly, it is well known that various animals, including man, after recovery from an attack of any one of certain diseases, become more or less immune from further attacks of the same disease. Moreover in some instances as in inoculation against typhoid or diphtheria, immunity may be artificially induced by means of anti-toxins. The question arises as to whether such immunity is transmitted to offspring. Experiments have been made (see Bulletin No. 30, U. S. Hygienic Laboratory) to test this and it has been found that the condition is not inherited. Young guinea-pigs, for instance, born of mothers immunized during pregnancy are immune at birth but they lose their immunity in the course of a few weeks. The effect is clearly one of direct transference from the blood of the mother. The same temporary immunity can be produced in the young, in fact, by merely having them nurse from an immunized mother.
Non-Inheritance of Parental Modifications Has Social, Ethical and Educational Significance.—Like many other biological conclusions these relative to the non-inheritance of parental modifications are of extreme importance to humanity. It is clear that they have not only physical but social, ethical and educational significance. For if the education which we give our children of to-day, or the desirable moral conduct which we inculcate does not affect the [Pg 156]offspring of succeeding generations through inheritance, then the actual progress of the race is much slower than is commonly supposed, and the advance of modern over ancient times lies more in an improvement in extraneous conditions through invention and the accumulation and rendering accessible of knowledge, than in an actual innate individual superiority. And when we face the issue squarely we have to admit that there is no more indication of the inheritance of parentally acquired characters as regards customs, knowledge, habits and moral traditions than there is of physical features. In fact, if such acquirements were inherited then we should soon have a race which would naturally, spontaneously as it were, do what its ancestors did with effort. Yet we do not find the children in our schools reading, doing sums and developing proper social relations without ceaseless prompting and urging on the part of the teacher. Indeed I can testify that this necessity carries over even into a university. In short, the habits and standards of each generation have to be instilled into the succeeding generation.
No Cause for Discouragement.—At first glance when we realize that notwithstanding our individual advancement, that in spite of all our painstaking efforts toward self-improvement, we can not add one jot or tittle to the native ability of our children, that, aside from possible advantageous germinal variations, they will have to start in at approximately the same level as we did, and like us will have to struggle, or be coaxed, pulled or spurred up to the higher reaches of[Pg 157] attainments, we are apt to feel discouraged and to look on heredity as the hand of fate which irrevocably bars progress. But there is another side to the picture. This very fact of heredity which can not be altered at will is the conservative factor which maintains the excellence of our standard strains of plants and animals, and sustains man himself at his present level of accomplishment. While we are denied advancement through the efforts of the flesh, we are also largely protected from our misfortunes and follies, as witness the non-inheritance of mutilations, of various maladies of extrinsic origin, or of personally acquired bad habits.
Improved Environment Will Help Conserve the Superior Strains When They Do Appear.—If we can not hand on to our descendants a personally enhanced blood heritage, we at least can do our share toward building up a social heritage of established truth, of efficient institutions and of stimulating ideals, through which their dormant capacities may be led to expand more surely and more effectively to their uttermost limits. Each advance in such social heritage will tend more and more to create an atmosphere which will make it sure that the occasional real progressive and permanent variations which occur from time to time will find adequate expression and preservation in future lines of descendants. It will reduce the numbers of our “mute, inglorious Miltons” by more certainly disclosing the individual of exceptional talents and insuring for him an opportunity of revealing them to the best advantage. Above all, since surrounding influences are especially powerful on[Pg 158] young and developing organisms, we should realize that great care must be exercised in behalf of the young child to secure an environment which is saturated with wholesome influences. For it is a rule of development that if the environment is faulty the organism is impaired.
PRENATAL INFLUENCES
All That a Child Possesses at Birth Not Necessarily Hereditary.—We come now to the more specific discussion of what may happen to offspring of mammals, and particularly man, in the interval between fertilization and birth; that is, during the intra-maternal period. We have already seen that anything affecting the offspring during this period has to be reckoned as environmental, our formula reading, Mammal = germ + intra-maternal environment + external environment. It is evident, then, that all that a child possesses at birth is not necessarily hereditary, since the unborn child may be influenced by conditions prevailing in either parent.
The Myth of Maternal Impressions.—In order to clear the way for more urgent matters let us first inquire into the question of the production of changes in the unborn child as a result of “maternal impressions.” As the tale generally goes, structural changes are produced in the unborn child corresponding to some mental experience of the mother, usually a vivid impression of strong emotion, but when a given individual is pinned down to sources, it is usually a case of hearsay.
Stock examples are: The mother sees a mouse with the result that a mouse-shaped birthmark occurs[Pg 160] on the child; or she sees a crushed hand and in consequence bears a child later with some of the bones of the hand missing; the mother touches her body when frightened and thus marks the unborn child on the corresponding part of the body; or she produces beauty in the child by long contemplation of a picture of a beautiful child; and so on almost endlessly. The favorite is usually the production of a red birthmark or marks on the child’s body by strong desire on the part of the mother for strawberries, tomatoes, etc.—the fruit must be red since the mark is red—or by fright from seeing a fire. As a matter of fact it is not uncommon for the capillary blood vessels of the skin of a new-born infant to remain dilated in spots instead of contracting as they normally should do. The result is more or less of a red or “flame” spot. It is easy to see, therefore, why such birthmarks are so frequently referred back by the credulous mother to her desire for or fear of some red object.
An analysis of the case of a child shuddering at the sight of peaches is of interest in this connection. The child showed the greatest aversion to peaches, particularly to the fuzzy covering. The mother’s explanation was that peaches were unusually plentiful the year the child was born and that she had worked hour after hour at peeling and canning peaches shortly before his birth until she had become thoroughly sick of them. This acquired aversion on her part she believed had been transferred to the child. A few questions revealed the fact, however, that the mother, herself, had never liked peaches and when asked if they were distasteful to any other member of her own[Pg 161] family she exclaimed, “Oh, yes, my mother would shudder and shake if a peach were brought near her.” And there we have it. The idiosyncrasy was an inherited one as many similar peculiarities are. The mental impression produced in the mother by her own experience with peaches had nothing to do with its occurrence in the child.
Very frequently also one encounters the mother who is sure she has engendered musical ability in her child by constant practise and study of music during pregnancy. The child is musical; what better evidence does one want! It seems never to occur to such a mother that the child is musically inclined because she herself is, as is evinced by her own desire in the matter even if she is not a skillful performer.
When we take into account the extreme credulity of many people, the unconscious tendency of mankind to give a dramatic interpretation to events where causes are not certainly known, the hosts of coincidences that occur in life, and the multitude of cases where something should happen but nothing does, we are compelled to believe that the whole matter of direct specific influence of the mother’s mind on the developing fetus is a myth. After seeing the conditions which prevail in Mendelism, for example, it will take strong faith to believe that a mother with duplex brown eyes can “think” or “will” blue eyes on her baby, yet this would be a mild procedure compared to some we are asked to accept by believers in the transmission of maternal impressions. Most of all, however, when we recall the actual relation between the embryo and the mother—a narrow umbilical cord is the sole means of[Pg 162] communication between the two—the physical impossibility of a connection between some particular mental happening of the mother and a corresponding specific modification in the fetus becomes evident. For there are no nerves in the umbilical cord, the only path of communication between mother and fetus being the indirect one by way of the blood stream. Even this method of communication is limited inasmuch as the mother’s blood does not circulate through the blood vessels of the fetus. Gaseous and dissolved substances are merely interchanged through the thin walls of the capillary blood vessels in the placenta.
Injurious Prenatal Influences.—However, the denial that a particular mental impression of the mother is associated with a particular structural defect in a child does not carry with it the implication that prenatal influences of all kinds are negligible factors. On the contrary any deleterious effect which can reach the fetus through absorption from the blood of the mother may be of grave consequence. There is not the least doubt that malnutrition or serious ill-health on the part of the mother often has a prejudicial effect on the unborn offspring. Severe shock or grief, worry, nervous exhaustion, the influence of certain diseases, poisons in the blood or tissues of the parent, such as lead, mercury, phosphorus, alcohol and the like, may all act detrimentally, but they operate either by rendering nutrition defective, by direct poisoning, or by generating toxins in the blood of the parent which then poison the fetus. Among the latter may be mentioned the toxic products of tuberculosis and certain other bacterial diseases. Such factors operating on[Pg 163] the unborn young or even on the germ-cells may cause malformations, arrests of development, instabilities of the nervous system, and general physical or mental weakness. The effects are general, however, and not specific.
To distinguish certain of these prenatal effects, particularly those of certain diseases or poisons, from true hereditary influences they are frequently spoken of as cases of transmission rather than inheritance from parents. Some writers use the technical term blastophthoria, or false-heredity, extending the meaning so as to include also any damage that might be inflicted on the germ-cells.
Lead Poisoning.—By way of illustration of how certain cumulative poisons may act we may examine a tabulation of eighty-one cases of lead poisoning as reported by Constantin Paul (Fig. 29, p. 164).
The table requires little comment. The disastrous effects of such poisoning are apparent in every class of cases. The sixth class where the husband alone was exposed to lead shows that the poison can operate directly through the germ-cell. Other observers note that in the children of workers in lead, there is a distressing frequency of feeble-mindedness and epilepsy.
That lead poisoning operating through the germ-cells of the father can affect the development of the young harmfully is well shown in Fig. 30, p. 165, which is a photograph of two young rabbits from the same litter The white young one is from a normal albino mother mated to an albino father which had received lead treatment. The pigmented young one is from the same albino mother by a normal pigmented father.[Pg 164] Although the white father was considerably larger than the pigmented father, nevertheless the young of the former, because of the harmful effects of the lead, is distinctly smaller and less lively. A number of litters, each from the same mother but in part from a lead-poisoned father and in part from a normal father, have been secured. All show more or less the same results. The experiments are still in progress in the department of experimental breeding at the University of Wisconsin.
| Number of cases. |
Number of pregnancies. |
Abortions, premature labor, and stillbirths. |
Infants born living. |
Remarks. | ||
| 1. | Mother showing symptoms of plubism |
4 | 15 | 13 | 2 | One infant died within 24 hours. |
| 2. | Mother working in type foundry, all of whose previous pregnancies had been normal |
5 | 36 | 29 | 7 | Four of these died in first year. |
| 3. | Mother who during period of work in type foundry had five pregnancies |
1 | 5 | 5 | 0 | After ceasing to work had healthy child. |
| 4. | Mother working intermittently in type foundry; while working there |
3 | 3 | 3 | 0 | When away from work for some period of time gave birth to healthy children. |
| 5. | Mother in whom blue line on gum the only sign of lead poisoning |
6 | 29 | 21 | 8 | |
| 6. | Husband alone exposed to lead |
? | 32 | 12 | 20 | Of these, eight died in first year, four in second, five in third. |
Fig. 29
Tabulation of eighty-one cases of lead poisoning recorded by Constantin Paul (from Adami).

Fig. 30
Photograph of young rabbits from the same litter, the smaller one stunted by lead-poisoning of its father (Courtesy of Professor L. J. Cole).
[Pg 166]The Expectant Mother Should Have Rest.—The mere matter of rest on the part of the pregnant mother is, judging from the work of Pinard, a Frenchman, and his pupils, an important one. In a number of detailed investigations they have shown that rest on the part of the working mother during the last three months before the child is born results in the production of markedly larger and more robust children than those born of mothers equally healthy but who have not had such rest. Moreover the danger of premature birth is considerably lessened.
Too Short Intervals Between Children.—Too short an interval between childbirths would also seem to be an infringement on the rights of the child as well as of the mother. Thus Doctor R. J. Ewart (“The Influence of Parental Age on Offspring,” Eugenic Review, October, 1911) finds that children born at intervals of less than two years after the birth of the previous child still show at the age of six a notable deficiency in height, weight and intelligence, when compared with the children born after a longer interval, or even with first-born children.
Our Duty to Safeguard Motherhood.—Doubtless the unventilated factory and tenement also do their share, even though we can give no exact quantitative measure of it. Obviously, it becomes a civic duty to protect as much as possible all members of our social system from such injurious factors as have just been discussed. It is particularly necessary to safeguard mothers before confinement, especially working mothers.
Expectant Mothers Neglected.—According to the[Pg 167] claims of life insurance men, expectant mothers are the most neglected members of our population. Doctor Van Ingen, of New York City, estimates that ninety per cent. of women in this country are wholly without prenatal care. Yet every prospective mother should be taught the probable meaning of such symptoms as headache, hemorrhages, swelling of the feet and disturbed vision. She should realize the importance of submitting a sample of urine for analysis at least once a month before childbirth and twice a month for a while thereafter. She should be specially informed regarding work, exercise, diet and dress. A recent government bulletin written by Mrs. Max West which may be had free by writing to the Children’s Bureau, Department of Labor, Washington, D. C., gives much useful information on this subject.
ALCOHOLISM
Unreliability of Much of the Data.—One of the most important poisons that plays a prominent part among ante-natal influences is alcohol. But when it comes to a study of the problem of alcoholism from the standpoint of heredity and parental influences we meet with many difficulties, prominent among which are the inaccuracy and unreliability of many of the statistics brought forward in this connection. Many of the results are vitiated by the prejudices of propagandists who propose to make a case either for or against alcohol as a beverage whether or not the facts justify their conclusions. When one tries to view the matter with an open mind he finds that there is a [Pg 168]deplorable lack of statistics which are not susceptible to more than one interpretation. However, using as much as possible what seems to be unbiased data, the evidence is almost wholly against alcohol as a beverage, at least to any immoderate extent.
Alcohol a Germinal or Fetal Poison.—The bad effects as far as offspring are concerned reveal themselves in the main under the category of “false heredity,” i. e., germinal or fetal poisonings rather than of heritable changes induced in the germ-cells. Most investigators feel that there are too many criminal, imbecile, insane and unhealthy persons among the offspring of drunkards to dismiss the matter as a coincidence. In an investigation of Imbault, for example, we find recorded of one hundred tuberculous children that while forty-one were of tuberculous parentage, thirty-six per cent, were the offspring of inebriates. Furthermore Imbault cites the observations of Arrivé on 1,506 cases of juvenile meningitis to the effect that this malady is twice as frequent in the children of alcoholic as in those of tuberculous parentage. It has been proved by Nicloux (L’Obstetrique, Vol. 99, 1900) that in dogs and guinea-pigs alcohol passes through the placenta and may be detected in fetal tissues; hence it is in position to influence the fetus. He found that in a very short time the amount of alcohol in the blood of the fetus about paralleled that in the blood of the mother.
Progressive Increase in Death-Rate of Offspring of Inebriate Women.—In an investigation on the effects of parental alcoholism on the offspring, Sullivan (Journal of Mental Science, Vol. 45, 1899) gives[Pg 169] some important figures. To avoid other complications he chose female drunkards in whom no other degenerative features were evident. He found that among these the percentage of abortions, still-births and deaths of infants before their third year was 55.8 per cent. as against 23.9 per cent. in sober mothers. In answer to the objection that this high percentage may be due merely to neglect, and not to impairment of the fetus by alcoholism, he points out the fact based on the history of the successive births, that there was a progressive increase in the death-rate of offspring in proportion to the length of time the mother had been an inebriate, thus:
| No. of cases |
Per cent. born dead |
Per cent. dying before 3 |
Total percentage | |
| First births | 80 | 6.2 | 27.5 | 33.7 |
| Second births | 80 | 11.2 | 40.8 | 50.0 |
| Third births | 80 | 7.6 | 45.0 | 52.6 |
| Fourth and fifth | 111 | 10.8 | 54.9 | 65.7 |
| Sixth to tenth | 93 | 17.2 | 54.8 | 72.0 |
Views of a Psychiatrist on Alcohol.—Forel, who for years was the psychiatrist at the head of a large insane asylum at Zurich, Switzerland, has this to say about the effects of narcotic poisons and alcohol in particular:
“The offspring tainted with alcoholic blastophthoria suffer various bodily and physical anomalies, among which are dwarfism, rickets, a predisposition to tuberculosis and epilepsy, moral idiocy, and idiocy in general, a predisposition to crime and mental diseases, sexual perversions, loss of suckling in women, and many other misfortunes.”
[Pg 170]In another passage he[6] remarks as follows:
“But what is of much greater importance is the fact that acute and chronic alcoholic intoxication deteriorates the germinal protoplasm of the procreators.... The recent researches of Bezzola seem to prove that the old belief in the bad quality of children conceived during drunkenness is not without foundation. Relying on the Swiss census of 1900, in which there figure nine thousand idiots, and after careful examination of the bulletins concerning them, this author has proved that there are two acute annual maximum periods for the conception of idiots (calculated from nine months before birth); the periods of carnival and vintage, when the people drink most. In the wine-growing districts the maximum conception of idiots is enormous, while it is almost nil at other periods. Moreover, these two maximum periods come at the time of year when conception is at a minimum among the rest of the population, the maximum of normal conceptions occurring at the beginning of summer.”
Another interpretation of Bezzola’s results has been suggested to the effect that the license of these periods enables the defective members of the community, such as the feeble-minded, an opportunity of mating more readily and that consequently the result is direct inheritance of idiocy and allied defects instead of idiocy produced through alcoholic poisoning of the parental germ-cell.
Other Views.—There are indeed many competent investigators who believe that alcoholism in parents has little or no part in the direct production of mental defects in children. For instance, Tredgold quotes[Pg 171] Doctor Ireland’s observations that although at New Year, when the fishermen return, the whole population of certain villages in Scotland gets drunk, there is no noticeable excess of defectives born nine months later, and remarks further that, “I have histories of idiots conceived under such circumstances, but so I have of normal children, and my opinion is, that while this may be a cause in some cases, the number of instances in this country at any rate is exceedingly small.” Again, Goddard, one of our best known American students of feeble-mindedness, who has made careful study of this point under especially favorable conditions, feels that his data do not prove that alcoholism of either the father or the mother causes feeble-mindedness in the child. He concludes, “Everything seems to indicate that alcoholism itself is only a symptom; that it for the most part occurs in families where there is some form of neurotic taint, especially feeble-mindedness.” Goddard, however, in common with many other observers, notes that miscarriages and deaths in infancy are far higher among inebriates than among abstainers.
Doctor Mjöen cites an interesting parallel between the increase of feeble-mindedness in Norway and a period from 1816 to 1835, when every one was permitted to distil brandy. In some districts many of the farmers distilled brandy from corn and potatoes, and in such regions during this period feeble-mindedness increased nearly one hundred per cent. Later the home distillation of brandy was stopped. According to Doctor Mjöen, “The enormous increase in idiots came[Pg 172] and went with the brandy.” He is inclined to believe, however, that the alcohol operated injuriously mainly on stocks already defective.
The Affinity of Alcohol for Germinal Tissue.—Nicloux and Renault have shown that alcohol has a decided affinity for the reproductive glands. In individuals who have recently taken alcohol the proportion of alcohol in the gonads is soon almost equal to the amount found in the blood. Thus in experiments on mammals it was found that the proportion of alcohol in the ovary to that in the blood was as three to five, and in the testis as two to three. This would afford abundant opportunity for alcohol to act directly on the spermatozoon or the ovum.
A number of different investigators concur in finding that the germ-glands of the male human inebriate in many cases show more or less atrophy and other degenerative changes. In guinea-pigs which have been repeatedly intoxicated with alcohol, Stockard found that while he could detect no visible abnormality in the gonad, nevertheless their defective and weakened progeny showed that the germ-cells had been affected.
Innate Degeneracy Versus the Effects of Alcohol.—Many observations on human beings have been brought forward which at first sight seem to indicate that noticeable defects, particularly mental and nervous, occur with appalling frequency in children resulting from conception during intoxication, although, unfortunately, the evidence is rarely clear as to whether the defects are really due to the effects of the alcohol or to the fact that the parent or parents were degenerate to begin with.
[Pg 173]A very interesting human case cited by Forel on the authority of Schweighofer is that of a normal woman who had three sound children when married to a normal man. After the death of this husband she married an inebriate by whom she had three other children. One of these suffered from infantilism, one turned out to be a drunkard, and the third became a social degenerate and drunkard. Moreover the first two contracted tuberculosis, although hitherto the family stock had been free from this malady. Ultimately the woman married again and by this third husband, who was normal, she again had sound children. Similar cases might be cited, as, for example, a record of eighty-three epileptics, of whom sixty had drunken parents, but it can be urged against all of them, of course, that the defective offspring were due to an innate degeneracy of the drunken parent which made him a drunkard rather than to the effects of the alcohol he took. While one is skeptical as to the validity of this objection in all of the many cases which occur with such monotonous frequency in man, there is no way of escaping such an interpretation with the evidence at hand. It must be admitted, moreover, that there are many families with one or both parents alcoholic in which the children are not mentally defective.
Experimental Alcoholism in Lower Animals.—Many of the objections that exist in the case of man, however, do not apply in that of lower animals. If normal animals are experimentally alcoholized and are shown to produce defective offspring under such conditions, then in their cases at least, the disorders in the offspring must be due to the effects of alcohol and[Pg 174] not to an innately degenerate condition of the parent. Disorders similar to some of those seen in the children of alcoholics do actually result in alcoholized animals of one kind or another.
Against the earlier experiments on animals it has been urged that too few individuals were used to give conclusive results, but this objection can not be brought against the recent experiments of Stockard. While he has published accounts of his work in various scientific periodicals lately, the reader will find a full statement of his own experiments, together with a review of the whole subject of experimental alcoholism in animals and the effects on progeny in The American Naturalist, Vol. XLVII, November, 1913, together with a useful bibliography.
Before taking up Stockard’s results we may select a few of the more significant experiments made earlier by other investigators.
Laitinen alcoholized rabbits and guinea-pigs. He found that the treated individuals had more still-born young than the control, and also that growth of the living young was retarded. His alcoholized rabbits and guinea-pigs produced more young than did the normal individuals used as a control. Laitinen’s studies on man, together with three other studies of the Eugenics Laboratory in London, show that in man also more children are born to alcoholics than to normal parents. Goddard’s investigations in America corroborate this fact.
Ceni found that only 43 per cent. of the eggs from alcoholized fowls developed normally, as against 77 per cent. of normal development in the controls. Moreover[Pg 175] the eggs of alcoholic fowls were shown to be less resistant to adverse conditions than normal eggs from the fact that fluctuations of temperature at the beginning of incubation kept all the alcoholic eggs from developing perfectly, while 27 per cent. of the control eggs developed normally under the same adverse circumstances.
Hodge made a pair of dogs alcoholic. Of 23 pups obtained from the pair, 8 were deformed and 9 were dead; 4 alone were viable. From a control pair of dogs 45 pups were obtained, of which 4 were deformed, none were born dead, and 41 were viable.
Stockard’s Experiments on Guinea-Pigs.—Stockard’s experiments demonstrate that the offspring of mammals may be injured or modified in their development by treating either parent repeatedly with alcohol. The guinea-pigs used in the experiment were all first tested by normal matings and found to yield normal offspring. The alcohol was given to them by inhalation. It was found to be readily taken into the animals’ blood and to produce intoxication. While guinea-pigs alcoholized in this way as often as six times a week for two and one-half years would maintain their own bodily vigor and health apparently, the deleterious effects on their progeny were marked. The defects were general rather than specific, although the central nervous system and special sense organs were apparently affected most.
Out of 119 total young produced by the alcoholic animals, only 52, or less than 44 per cent., survived, whereas out of 64 young produced from normal parents used as a control for the experiment, 56, or over[Pg 176] 87 per cent., survived. In some cases alcoholic males were mated with normal females, in other, alcoholic females with normal males. In still other instances both parents were alcoholic.
The results are summarized in the accompanying table (Fig. 31), taken from Stockard’s paper:
Condition of the Offspring from Guinea-Pigs Treated with Alcohol
| Condition of the Animals |
Number of Matings |
Negative Result or Early Abortion |
Still-born Litters |
Number Still-born Young |
Living Litters |
Young Dying Soon After Birth |
Surviving Young |
| Alcoholic ♂ by normal ♀ | 59 | 25 | 8 | 15 | 26 | 21 | 33 |
| Normal ♂ by alcoholic ♀ | 15 | 3 | 3 | 9 | 9 | 9 | 10 |
| Alcoholic ♂ by alcoholic ♀ | 29 | 15 | 3 | 6 | 11 | 7 | 9 |
| Summary | 103 | 43 | 14 | 30 | 46 | 37 | 52 |
| Normal ♂ by normal ♀ | 35 | 2 | 1 | 4 | 32 | 4 | 56 |
| 2d generation by normal | 3 | 0 | 0 | 0 | 3 | 0 | 4 |
| 2d generation by alcoholic | 3 | 0 | 2 | 5 1 def. |
1 | 0 | 2 |
| 2d generation by 2d generation | 19 | 7 | 0 | 0 | 12 | 6 1 def. |
13 |
| Female treated during pregnancy | 4 | 0 | 0 | 0 | 4 | 1 | 7 |
Fig. 31
Table showing condition of the offspring from guinea-pigs treated with alcohol (after Stockard).
Lines four and five give a comparison between the 103 total matings of all treated individuals and 35 normal matings. In the first case almost 42 per cent. of the matings gave negative results or early abortions, whereas in the normal control matings, failure to yield a full-term litter occurred in only two cases. The 103 matings of alcoholic animals gave only 46 living litters, or about 45 per cent. On the other hand the 35 control matings produced 32 living litters, or 91½[Pg 177] per cent. It will be observed also that from such of the 103 matings of alcoholics as produced young there were 30 still-born, 37 which died soon after birth, and only 52 surviving young, whereas from the 35 matings of normal individuals there were only 4 still-born young, 4 which died soon after birth, and 56 surviving young.
The bottom line of the table, although, as Stockard points out, containing too few cases to prove wholly convincing, indicates that alcoholizing erstwhile normal females during pregnancy was not particularly harmful to the embryos in utero.
Some of the most interesting results were obtained when offspring termed second generation animals, derived from alcoholic parents though not themselves treated with alcohol, were mated in various ways. When such individuals were mated with normal individuals, although the litters were small, the results were normal, the normal mate having seemingly counteracted any defects which might have lurked in the second generation animal. On the other hand, out of three matings of second generation animals with alcoholic individuals, two produced still-born young, of which one was markedly deformed, while the third yielded two living young.
However, the most striking results were obtained when two second generation individuals, the offspring of alcoholic parents, were bred together. Although themselves untreated, these individuals, of which 19 matings were made, produced as many or more defective young than did their alcoholic parents. Seven of the matings were unfruitful. The remaining 12[Pg 178] matings gave living litters consisting of 19 individuals in all. Six of these showed various nerve disorders (spasms, epileptic-like seizures, etc.) soon after birth; one was eyeless and otherwise deformed.
Stockard’s Interpretation.—Stockard’s interpretation of his experiments is as follows: “Mammals treated with injurious substances, such as alcohol, ether, lead, etc., suffer from the treatments by having the tissues of their bodies injured. When the reproductive glands and germ-cells become injured in this way they give rise to offspring showing weak and degenerative conditions of a general nature, and every cell of these offspring having been derived from the injured egg or sperm-cell are necessarily similarly injured and can only give rise to other injured cells and thus the next generation of offspring are equally weak and injured and so on. The only hope for such a line of individuals is that it can be crossed by normal stock, in which case the vigor of the normal germ-cell in the combination may counteract, or at any rate reduce, the extent of injury in the body cells of the resulting animal.”
He also believes that various deformities and developmental arrests such as harelip and cleft-palate may similarly be cases of transmission rather than true inheritance, due to the weakening of the germ-cells in some way, or to some lack of full vigor in the uterine environment.
Further Remarks on the Situation in Man.—Returning now to the question of alcoholism in man, it seems in view of the strong circumstantial evidence in the case of man himself, together with the result of[Pg 179] experiments on animals, that little doubt remains that excessive alcoholism might result in the production of defective offspring. On the other hand an antecedent degeneracy or neural instability undoubtedly plays an important part in many cases, in the original production of drunkards, and when such occurs, it, as well as the direct effects of alcoholic poisoning, must be reckoned with in the effects on progeny. Studies carried on by Pearson, Elderton and Barrington of the Eugenic Laboratory in London lead these investigators to the conclusion that extreme alcoholism is a result not a cause of degeneracy. That is, the degeneracy is due to the defective stock, not to alcohol. They cite in evidence their records of four thousand school children of alcoholic and of sober parents, which fail to show any unfavorable effect of alcohol on offspring. Some of their critics, however, maintain that they did not choose subjects who were sufficiently alcoholic to give the injurious results that might legitimately be expected among the offspring of excessive drinkers or habitual drunkards.
Where children show a hereditary inclination toward drink, unquestionably one of the strongest factors is the inheritance of the same disposition, the same unstable nervous constitution and its accompanying lack of self-control which led the parent to drink, rather than the inheritance of the effects of the drink on the parent. For in many cases a parent may not become a drunkard until after the children who also become drunkards are born. That the tendency to drink immoderately is frequently due to a strain of feeble-mindedness or epilepsy becomes more evident[Pg 180] every day. In many of the so-called “periodical” drunkards, the accompanying features of their periodic attacks of drink-craving, such as clouding of memory, restlessness and depression, are those commonly associated with ordinary epileptic attacks.
Probably Over Fifty Per Cent. of Inebriety in Man Due to Defective Nervous Constitution.—Branthwaite, an English authority on drunkenness, finds that about sixty-three per cent. of the inebriates who come to his notice are mentally defective. In alcoholic insanities heredity is a potent factor. It is coming to be realized more and more that pronounced alcoholism is due in a large percentage of cases, perhaps over half, to a defective nervous make-up. While it is true that many drunkards would not develop without free access to alcohol, on the other hand many would never develop without a bad heredity back of them, which gives them a peculiar nervous constitution that renders alcohol an undue stimulus. In a recent report of the New York State Hospital Commission it is stated that in fifty-four per cent. of the cases of alcoholic insanity, a family history of insanity, epilepsy or nervous disease exists. Thus in the presence of alcohol most of these unfortunates are helpless pawns of a hereditary weakness.
So when the question of alcoholism is viewed from all angles, the children of the human drunkard would seem to run a double menace of misfortune, since they may be subject both to the direct poisoning effects of alcohol and the results of an inheritable degeneracy.
Factors to Be Reckoned With in the Study of Alcoholism.—In any thoroughgoing study of [Pg 181]alcoholism in man many factors will have to be reckoned with. First of all there is the question of inherent lack of control. This is probably the principal thing inherited where heredity truly enters as a factor. That example and social environment are important factors in addition to or in place of heredity is clear, too, when we observe that often it is the boys only who take after a drunken father, for there is no evidence that the inherited tendency when it really exists is at all sex-linked. Again, in certain occupations carried on under unwholesome influences relief is frequently sought in alcoholic stimulants, and such custom may easily crystallize into habit. Furthermore, the accustoming young children to doses of alcohol, or the unborn young to alcohol through the body of a drunken mother, may be strongly contributory toward establishing inebriety in certain cases. As we have seen from an abundance of experimental data on animals, moreover, the nurture effects on germ-cells may result in the production of weakened offspring. Such offspring in the case of man are probably less able to withstand temptations of all kinds and hence readily succumb to the habit-forming effects of alcohol if once its use is begun. Lastly, it must not be forgotten that alcoholism in the father usually means poverty and the subsequent accompaniment of malnutrition and neglect of the children, and this in itself may not only account for poor development of the latter, but may also be strongly contributory toward establishing the habit of alcoholism in them.
An inherent bias plus most of the other conditions[Pg 182] just enumerated is the not unusual lot of the offspring of drunkards.
Venereal Diseases.—There is yet another very considerable class of maritally unfit who in any conscientious discussion of unfitness for marriage or of racial improvement must be considered. I refer to those who are afflicted with the diseases which are inseparably associated with the so-called “social evil.” To gonorrhea, one of the most prevalent of these diseases, more than one-fourth of our total one hundred and ten thousand blind in the United States are said to owe their affliction. Milder types of eye disease may also result from such infections. As much as eighty per cent., or some say practically all blindness in children born blind is caused by it, the infection occurring at the time of birth or within a few days thereafter. The terrible consequences of this disease to the innocent wife would alone make its discussion imperative.
The Seriousness of the Situation.—Unfortunately the insidious nature of gonorrheal infections is unknown to most persons. A cure is apparently effected, yet as a matter of fact the germs may live for years and, if in the male, later be transmitted to the wife, subjecting her to a future of invalidism and misery. Reliable statistics from various medical authorities reveal the appalling fact that seventy-five per cent. or more of the surgical operations for inflammatory pelvic disorders peculiar to women, such as pus tubes and peritonitis, are attributable to this disease, as is also the involuntary sterility of forty-five per cent. of childless women. Unwelcome as the fact is there is an abundance of evidence to show that a large percentage[Pg 183] of men in particular have at some period of their life been infected with venereal disease. Of our fourteen million males in the United States under the age of thirty we find estimates by some specialists in venereal diseases to the effect that five million of them, that is, one out of three, suffer from some one of the social diseases or their consequences. Doctor Hugh Cabot, one of the chief surgeons of the Massachusetts General Hospital at Boston, a member of the faculty of the Harvard Medical School and president of the American Association of Genito-Urinary Surgeons, has this to say about the situation: “We have of late years heard much about the frequency and serious consequences of tuberculosis; it has been dubbed the ‘white plague,’ and so active has been the campaign that a wide-spread understanding of this serious disease has resulted. It may safely be averred that in the urban population at least there are two, and perhaps three, individuals with syphilis to every one with tuberculosis. The frequency of gonococcus infection is much higher.” He believes that over half the male population acquire a gonococcus infection at some period of their career. While as a layman, one can not but feel that a specialist’s estimate may run unduly high because of the fact that he is encountering an inordinate proportion of such maladies every day, still such specialists are in position to get at the truth as no other person can and their calculations are probably not grossly in error. In any event any one who has progressed in worldly knowledge beyond the naïveté of a child must recognize the appalling prevalence of these maladies.
Infantile Blindness.—So serious has the matter[Pg 184] of infantile blindness become that some state boards of health and some city health departments supply all physicians and midwives with specially prepared packages containing cotton and nitrate of silver solution for preventive or curative treatment of the eyes of all new-born children. At the time of the first bath each eye is carefully washed with a separate pledget of cotton saturated with boric acid solution. Each then receives a drop of the silver solution, which is made just strong enough to kill any gonococci that might be present without itself inflaming the eye. Water used in bathing the baby’s body of course is not allowed to come in contact with its eyes. Such treatment should be given every child no matter how unsuspicious the circumstances may be. German authorities who have been following this method now for some years assure us that nineteen-twentieths of the blindness of infancy can thus be prevented.
Syphilis.—As to syphilis, another and even more terrible of these diseases, we have before us the absurd fact that while thousands upon thousands of dollars are being spent to establish a rigid inspection and preventive measures against the spread of a very similar disease in the horse, this malady in man is allowed to pass unchallenged and we are confronted by the gruesome certainty that there are hundreds of these diseased persons about us to-day who, on their mere affirmation that they are unmarried and of age, will be given the right to marry and thus produce families of infected children irrevocably doomed to early death or to lifelong misery.
While syphilis is most commonly spread through[Pg 185] relations between the sexes, it may be acquired in various other ways, as for example, through a cut in shaving with the same razor an infected individual has used. It is commonly transmitted from parent to child. Practically every prostitute is a center of dissemination. Katherine Bement Davis has shown in her studies made at the New York State Reformatory for Women that while ordinary clinical tests show that apparently only twenty-one per cent. of these women are infected with venereal disease, more careful laboratory tests showed at least ninety per cent. to be infected.
Syphilis is caused by Treponema pallidum, a small unicellular animal parasite. Given access to the blood by any means whatever, possibly even through an abrasion in the lip by means of a kiss, it multiplies rapidly and any part or organ of the body may be attacked. Usually a small sore occurs at the point of entrance to the body, but often it heals up readily with little indication of the seriousness of the infection.
The development of the malady is insidious and long continued. As a matter of clinical convenience physicians divide its progress into successive stages although in reality the transitions are frequently variable and ill marked. The symptoms that arise within the first few months or even years are readily controlled by appropriate treatment, but to insure a cure prolonged and most thoroughgoing treatment is imperative. The symptoms disappear so completely after a short period of treatment that it is very difficult to persuade the average patient that he is not yet cured. Two years at least are none too short a period of [Pg 186]treatment, yet the majority of patients, fully convinced that they are merely being exploited by the physician as a source of revenue, drift away at the end of a few months. As a matter of fact, however, the germs usually persist long after the obvious symptoms of the disease have disappeared, and in consequence many of the most serious results of syphilis may not manifest themselves for a period of perhaps ten, twenty or thirty years.
Some of the Effects.—It is now known that paresis, also termed general paralysis or softening of the brain, is probably invariably due to syphilis. The work of Flexner and Noguchi on paresis and tabes dorsalis show that always in such afflictions the tissues of the central nervous system have been invaded by the parasite. The original infection, however, may have occurred so long before as to have been almost forgotten by the patient. Thus many an apparently robust man is stricken down in the prime of life. Earlier and prolonged treatment would in all probability have eradicated the germs and thus prevented the mental breakdown, which can not be cured by any known treatment. Postmortem examination always shows that the Treponema has wrought wide-spread damage in the brain. The frequency of paresis may be realized when one learns that in some regions it is responsible for about one-fifth of all cases of insanity sent to hospitals for the insane. It ranks next to the highest as a cause of insanity. Statistics show that in the state of New York more deaths result annually from paresis than from smallpox, tetanus, malaria, dysentery and rabies all combined.
[Pg 187]In some cases the disease attacks the membranes of the brain and the small blood vessels giving rise to a still different type of mental disorder. Practically all patients with locomotor ataxia owe their condition to an antecedent syphilis. Moreover it is one of the important causes of arterio-sclerosis, or hardening of the blood vessels, and is also a prominent factor in certain forms of heart-disease, as well as by no means an unimportant cause of blindness in children.
As to specific cases of the effects of this disease on descendants the literature of the subject is crowded full. While it is needless to conduct the reader through a chamber of horrors by reviewing clinical cases, it is desirable to point out in a general way some of the effects. Doctor George H. Kirby, director of Clinical Psychiatry, Manhattan State Hospital, says:
“We find that when either the father or the mother suffers from paresis that many other members of the family may be infected with syphilis, and furthermore, we find that a large number of children in these families are feeble-minded, nervous, or in other ways abnormal. Doctor Plant examined a group of 100 children, the offspring of cases of paresis, and found that 45 per cent. were plainly damaged mentally or physically, or in both fields; the blood test showed that one-third of these 100 children had the syphilitic poison in their systems.
“Another investigator found in a group of 139 children, the descendants of parents who had syphilitic nervous disease, that over 25 per cent. were definitely feeble-minded or affected with some serious nervous disorders.
“Other studies indicate that there exists a close [Pg 188]relation between syphilis and many of the hitherto unexplained cases of feeble-mindedness, including idiocy, imbecility, infantile paralysis, and some forms of epilepsy. While the question is not yet settled, it appears that syphilis is the real cause of many of these cases of mental defect in children.”
Still other investigators give details of physical afflictions and distortions, of suppressed development, of inordinate percentages of stillbirths—perhaps the most merciful lot for the little victims—but sufficient has been said to indicate the full horror of the situation.
Goddard,[7] although not minimizing the terrible nature of the disease, finds little evidence in his studies that syphilis in parents is a specific cause of feeble-mindedness.
A Blood Test.—Fortunately a delicate blood test known as the Wasserman test has been discovered by means of which, through an examination of a few drops of blood, any trace of syphilitic poison which exists in the body may usually be detected. This is true even though the individual may at the time show no visible symptoms of syphilis. The test is therefore of great value in detecting the latent germs of syphilis in individuals who have apparently been cured, and also often in making an early diagnosis of paresis. The Wasserman test, however, is reliable only in the hands of a skilled operator. It may occasionally give a positive reaction when syphilis does not exist and on the contrary a negative when it is present. The luetin test is also now applied by some specialists, but[Pg 189] is too new a test to have come into general use. It works on the same principle as the tuberculin test for tuberculosis. Some army physicians now also give what is termed a provocative Wasserman. That is, in a suspicious case which gives only negative results by an ordinary Wasserman, they can get, if syphilis really exists, a positive reaction after giving small doses of potassium iodide or salvarsan.
It should be well understood by every one that syphilis is usually curable provided the patient is given modern scientific treatment by a competent physician. I emphasize competent because there are so many quacks in this field that one undergoing treatment can not be too careful in assuring himself of the competency of the physician. In even a case of long standing, where the symptoms have been in abeyance for a number of years, the disease can be cured provided it has not developed into an active cerebro-spinal type, and even the latter can be much benefited by proper treatment. The great danger of the cerebro-spinal type is that it will result in paresis or locomotor ataxia.
As long as the blood of a patient shows a positive Wasserman reaction, marriage should certainly not be consummated. If after a proper course of treatment by a well-informed physician, the patient shows a negative Wasserman when tested by a competent examiner, he probably would not infect his wife or offspring, although prudence would require that he wait at least six months or a year before marriage, and marrying then only if later tests remain negative.
The only way for a patient to be sure that he is not harboring the cerebro-spinal form would be to have a[Pg 190] spinal puncture made and the cerebro-spinal fluid examined. While the cerebro-spinal phase often does not occur until long after the primary infection, cases are known in which it has appeared within a few weeks. Evidence that the central nervous system is frequently invaded early in the course of the disease is increasing. Marriage of an individual suffering from the cerebro-spinal form should not take place, since such a one is almost sure to become a burden on the family or the state.
Many Syphilitics Are Married.—It may seem to some that in a treatise on being well-born the subject of syphilis might be ignored as not being especially pertinent, but the supposition that no considerable percentage of syphilitics marry is not borne out by the facts. Seventy-five per cent. of men with insanity due to syphilis who are admitted to hospitals are married. The insanity in such cases is mainly the result of infections in earlier years, often long before marriage. While syphilis, strictly speaking, is not inherited, that is, does not become part and parcel of the germ-plasm, still the frequency of its direct transmission to offspring is so appalling that the outcome, as far as the immediate child is concerned, is quite as disastrous as the most thoroughgoing real inheritance could be.
Why Permit Conditions to Continue as They Are?—When one faces the easily ascertained facts regarding venereal disease, it seems incredible that we, an intelligent people, can go on complacently handing our daughters and sisters over to the surgeon’s knife and a life of personal misery, and even in not a few instances to become mothers of incurably defective[Pg 191] children, yet the dire fact confronts us that we do. We can no longer excuse ourselves on the plea of ignorance, for the grisly record may now be read in many medical and not a few popular treatises, and we find the theme entering even into the modern drama, as witness Brieux’s Damaged Goods. Further indifference to these conditions can only be attributed to culpable apathy or prudery.
The extreme dangers to which parents are subjecting their daughters if they do not demand a clean bill of health on the part of their prospective husbands are obvious. Fathers and mothers perfectly willing to inquire into their future son-in-law’s social connections, his income, securities, or business chances become strangely “modest” when it comes to determining whether he is physically fit for marriage.
One great cause of ignorance in the past was the prudish taboo against frank discussions of venereal diseases which has thrown the veil of silence about the subject. To-day, however, it is coming to be recognized that these maladies are diseases and not a standard of social propriety, and that like most other diseases the surest way to secure prevention and gradual eradication is through the enlightenment of the public. They are prevalent in all classes of society. Moreover, it must not be forgotten that there is no form of venereal disease which may not be innocently acquired. Even where acquired through transgression of moral law an ignorant attitude toward the sexual instinct is often at the bottom of the difficulty.
Medical Inspection Before Marriage.—Ante-nuptial medical inspection is certainly as necessary to the[Pg 192] welfare of society as the certification of age and of the single state now required by law. No one objects to a medical examination pertaining to venereal and other diseases when it comes to taking out a life insurance policy, and why there should be any more objection to it as a preliminary to marriage is a mystery. A few states already have compulsory ante-nuptial medical inspection. The laws have been enacted too recently to judge adequately of their working. There has been much debate in Wisconsin as to whether their law (Chapter 738, Laws of 1913), which went into effect January 1, 1914, is constitutional and whether it requires a Wasserman test. The Wisconsin law applies to males only. The Supreme Court of the state has declared it constitutional and that its requirement of “the application of the recognized clinical and laboratory tests of scientific search” involves only such examination as the ordinary licensed physician is equipped to make and can reasonably be expected to make for three dollars, the maximum fee specified in the law.
A number of the physicians of the state are still dissatisfied with the wording, although most do not oppose the principle of the law. Many believe that it should apply to the women as well as to the men, and others feel that the law should be extended to cover still other kinds of marital unfitness. Most of the practitioners with whom I have discussed the matter appreciate the motive underlying the law and are endeavoring to make it successful.
The general public of the state as a whole seems to be in favor of the provision. At least one hears much[Pg 193] favorable comment and little dissension among those who understand its purpose. The very controversy over it which sprang up after its passage proved to be of great benefit in the education of the public regarding the necessity of such measures. Such physicians as I have been able to question report that the candidates for marriage rarely object to the requirement, but on the contrary strongly favor it. Especially where they have suffered from venereal disease earlier in life most are eager to know their condition and to have medical advice. To my own mind this last fact is the most significant of all, as it will give every candidate for marriage a chance to know the truth. Most men are not so much brutal or vicious as ignorant in such matters. The vast majority of those unfit for marriage as a consequence of venereal disease will, when they realize the danger their condition imposes on wife and children, take every possible means to put themselves into proper condition.
Desirable as the Wasserman test may be, it requires special laboratory facilities and equipment as well as a specially trained examiner to make it a reliable test. Moreover it can not be given by the general practitioner for the very moderate fee that must obtain in a pre-nuptial examination compelled by law. If it or the serum test for gonorrhea are to be applied then the legislative body of the state will find it necessary to establish a special public laboratory or laboratories for their application. This, however, is not a matter of particular difficulty and would be capital well invested in any state.
The Perils of Venereal Disease Must Be [Pg 194]Prevented at Any Cost.—However, no matter what the cost may be to the state, no matter what the exaction from the individual, the grave perils of venereal disease to society must be prevented. We owe it to the cause of humanity that there be fewer victims born into a world of eternal night, that from a parentage of polluted blood there spring no longer hosts of children with feeble misshapen bodies or with tarnished intellects, death-marked at the door of life.
Bad Environment Can Wreck Good Germ-Plasm.—In conclusion it is evident from our discussion of prenatal influences that not all of being well-born is concerned with heredity in its proper sense, since the unborn young may be influenced either directly or indirectly by environmental conditions which are in no sense products of heredity, although as far as the immediate child is concerned the result may be quite as disastrous where the influence is a baneful one. As to the production of beneficial prenatal effects, while parents can do nothing toward modifying favorably such qualities as are predetermined in their germ-plasm, nevertheless they must come to realize that bad environment can wreck good germ-plasm. They can see to it that they keep themselves in good physical condition by wholesome temperate living, and thereby insure as far as possible healthy germ-cells for the conception and good nutrition for the sustenance of their progeny. Their one sacred obligation to the immortal germ-plasm of which they are the trustees is to see that they hand it on with its maximal possibilities undimmed by innutrition, poisons or vice.
RESPONSIBILITY FOR CONDUCT
Since both physical and mental attributes are unquestionably inherited, it becomes a matter of importance to inquire into the nature of the entity we call personality. To what extent is human conduct a product of parentage? Although apparently free agents are we in reality only by infinitely subtle indirections making the responses, forming the habits, establishing the characters which result merely from the blind impulsions of an inherent constitution? If so, who is praiseworthy, who blameworthy? Are men
“But helpless pieces of the Game He plays
Upon this chequer-board of Nights and Days.”
All Mental Process Accompanied by Neural Process.—Whatever the ultimate decision of psychologists may be regarding the relation of mind to the sensory and nervous mechanism of man it is certain that there is so close an association between them that the least alteration in the mechanism means a parallel effect in the mind, or in the words of Huxley, “every psychosis is definitely correlated with a neurosis.” The rind or cortex of gray matter which constitutes the surface of the large cerebral hemispheres of the[Pg 196] human brain is regarded as the seat of consciousness. The development of the mental powers in the infant is dependent on the development of the elements of this cortical substance and the waning of the mental faculties in old age goes hand in hand with its atrophy. Abnormal arrangements, injuries or omissions in it mean mental unsoundness. How the activity of the structural mechanism gives a reaction in consciousness is not understood, but we know that in the living being the two phenomena are inseparably linked. Whether we accept the hypothesis that consciousness is an actual product of the structural mechanism or the hypothesis that the latter is only an instrument for the manifestations as consciousness of an outside force or entity, just as the telegraphic instrument manifests the existence of electricity, is neither here nor there for our purposes. On either supposition the degree and manner of expression are determined by the structure of the mechanism. Our main problem is to decide as nearly as possible how much of the mechanism is rigidly inherited, how much is at birth largely undestined, so that its ultimate outcome is in part a product of the forces which play upon it, or in other words of education and training.
Gradation in Nervous Response from Lower Organisms to Man.—To comprehend fully the basic nature of human neural responses one must seek the roots in the behavior of lower organisms. For there is found in a simpler form many of the fundamental activities and the first dim gropings which emerge in man as memory, reason and will. As we ascend the scale of animal life we find a continuous advance in[Pg 197] neural complexity and nervous response that in many respects grades up closely to the human type.
A windmill or a weather-vane points toward the source of the wind, obviously not because either exercises any special choice in the matter, but because it is constructed on such lines of symmetry that when the wind strikes it, if it slants the slightest to left or right, the more exposed surface receives the greatest pressure and thus swings the body back into the line of least resistance.
Behavior of Many Animals Often an Automatic Adjustment to Simple External Agents.—It is a far cry, of course, from the responses of such a machine as a windmill to the responses of even the simplest living thing, but in spite of the broad gap between the two, there is much reason to believe that the behavior of many living organisms is due in a marked degree to the directive effects of comparatively simple external factors rather than to the complex internal volitions the casual observer is likely to attribute to them.
Tropisms.—It is a marked characteristic of all living protoplasm that it has the power of responding to external stimuli. This power of response is termed excitability or irritability. In describing the motor responses of living organisms to stimuli resulting from a change in surroundings the term tropism (Gr. Tropē, turning) is frequently used and the kind of stimulus is indicated by a prefix. Thus the term phototropism means a turning or orientation brought about by means of light. An organism which reacts by a movement toward the source of light is said to be positively phototropic, one which moves away from it,[Pg 198] negatively phototropic. By using such a neutral terminology the physiologist avoids implying that necessarily “likes” or “dislikes” or any other psychic reaction enter into the movements.
Several kinds of tropisms are recognized, such as phototropism or heliotropism, reaction to light; thermotropism, reaction to heat; electrotropism or galvanotropism, to electric current; geotropism, to gravity; chemotropism, to a chemical; rheotropism, to current; thigmotropism or stereotropism, to contact; and chromotropism, to color.
Many Animals Show Tropic Responses.—Many of the lower animals seem to have their movements determined more or less mechanically by the action of such external factors, some being positively, others negatively responsive to a given kind of stimulus, or the same individual may be at one time positive, at another negative, according to modifying conditions to be mentioned presently.
In plants and in simpler lower animals there is no special nervous system. The responses of these organisms depend on the general irritability of their constituent protoplasm. In other animals a nervous system is developed, crude and diffuse in lower forms, extremely delicate, complex and definitely ordered in higher forms. But it should be borne in mind that nerve protoplasm possesses only in high degree a capacity for irritability, conduction, etc., that is common to all living substance. In keeping with other “physiological divisions of labor” or specialization which mark the increasing complexity of animals, this enormously enhanced sensitivity and conductivity of [Pg 199]certain tissues have come about, and they have become set apart for these special functions. In higher animals, therefore, the tropisms where operative must act more or less through the agency of the nervous system instead of directly through the general protoplasm of the organism.
Certain Apparently Complex Volitions Probably Only Tropisms.—Where nervous systems enter into tropic responses there must be specific sensibility of certain nerve terminations (i. e., sense organs) at the surface of the body. These sensory or receiving nerves connect through the central system with corresponding motor nerves which in turn supply certain specific muscles through the contraction of which the organism is as surely and as mechanically oriented as in the simpler cases. For example, if light is the stimulating agent, when it strikes a positively phototropic animal, if the latter is not already oriented, the eyes or other nerve terminations sensitive to light transmit an impulse through the central nervous system to certain muscles causing them to increase their tension and thereby swing the animal around with its head toward the light. Progressive movements which the organism then makes must carry it toward the source of light. Thus it is not “love of light” that draws the moth into the flame but the mechanical steering of the body toward the source of light through the stimulations produced by the light waves. It is chemotropism, not solicitude for its offspring, which drives the flesh fly to lay its eggs on decaying meat. And it is stereotropism and not a desire for concealment which impels certain animals such as many worms and[Pg 200] insects to get into a close contact with solid bodies, or in other words to “hide” themselves in burrows and crevices.
Complicating Factors.—However, beautifully as these theories of tropisms work out in a broad general way, there are various additional factors entering which must be reckoned with, and these become more numerous and of more consequence as the organism becomes more complex. In the first place certain internal conditions must be considered. Living matter is characterized by its instability. There are continual synthetic and disruptive processes in progress which the physiologist terms metabolic changes. The very “life” of such matter seems to be the manifestation of such changes. Concerning what the ultimate source of these changes is, whether or not indirectly they may be referred to external conditions as seems probable to many biologists, no one so far has ever given a convincing, positive answer. It is sufficient for our purposes to know that they may have set up certain internal stimuli which may modify the behavior of the organism in which they reside, and that the “physiological state” of the organism at the time of external or internal stimulation will condition the response. This physiological condition may be dependent on the general metabolic equilibrium of the animal, or on the extent of previous stimulation by means of the same or different agents. Thus the organism may not always react in the same way to the same stimulus.
The intensity of the stimulation and change in the intensity of the stimulation, are also factors to be[Pg 201] reckoned with. Moreover, it must be taken into account that a given organism is often operating under the control of more than one external influence. For example, swarm spores in a dish of water which at a given temperature are positively phototropic, that is, gather at the side of the dish toward the light, may, if the temperature of the water is raised or in case of marine forms if the salinity is increased, become negatively phototropic. Sometimes two or more forms of stimuli may cooperate in bringing about certain behavior as, for instance, in the reaction of the earthworm to a suitable habitat, through a combination of chemical and contact stimuli. On the other hand, two different stimuli may interfere with each other; for example, the usual phototropic responses of certain animals do not manifest themselves when they are mating or feeding. In short, anything that alters the physiological state of the organism may cause it to react in a different manner. And thus with the interplay of shifting external agents and variable internal state the bounds of behavior on these purely mechanical bases become considerably extended.
Many Tropic Responses Apparently Purposeful.—The query arises as to why if these responses are mechanical they are so often apparently purposive; that is, why do they so often subserve some useful end for the animal? While they do not always work out to the animal’s benefit, as for instance in the case of the moth and the light or under many other conditions that can be devised experimentally, as a matter of fact under normal natural conditions they are on the whole[Pg 202] useful to the organism, carrying it into suitable surroundings of food, lessened danger, temperature, and the like.
The probabilities are that in their first origin the reactions were not purposive. However, if any proved harmful they would result in the extermination of their possessors and hence of that particular strain of individuals. Those types that happened to have useful reactions would be left and in course of time as the process of eliminating the others went on, would become the prevailing types. Any organism which the useful reaction had preserved would tend to hand it down to the succeeding generation where again it would be the conserver of those individuals which possessed it in sufficient degree.
Authorities Not Agreed on Details of Tropic Responses.—Although all the foremost modern students of animal behavior accept as facts the more or less mechanical orienting effects of external stimuli, there is by no means unanimity of opinion regarding details. Some stress as the directive factor the continuous action of the stimulating agent on sensitive tissues symmetrically situated. Others would maintain that it is the time rate of change in the intensity of the stimulating agent, or that the factor is different in different cases. Some make much of an automatic sort of “trial and error” system by which certain organisms test out an inimical environment until the path of least irritation is hit upon as the way to safety. The field is a broad one and to get at the finer shades of distinction the reader will have to refer to[Pg 203] the works of such authorities as Loeb, Jennings, Holmes and Mast.
Tropisms Grade Into Reflex Actions and Instincts.—The tropisms in many cases become indistinguishable from reflex actions and these in turn grade up into the instincts of animals. The latter may be looked on as but subtler and more involved reactions made possible through a more intricate structural organization. As might be expected of instincts, the feature of utility is more in evidence than in simpler tropisms because they have become of proportionately greater magnitude, but the same fundamental mechanism is apparently at bottom of both. It has already been seen how the “instinct” of the blow-fly to lay its egg on meat is interpretable as a chemotropic response. Thus no elaborate psychic mechanism is necessary in such behavior.
Instincts.—In the typical instinct there is a series of “chain reflexes” in which one step determines the next until mechanically the whole gamut of changes is run to the last step. It is characteristic of a purely instinctive act that an animal performs it without practise, without instruction, and without reason. Moreover, all of the same kind of animals tend to perform the act in the same way. But with instincts, as with tropisms, the physiological state of the organism must be regarded. For instance, the instinctive reactions of an animal sated with food or hungry will be different.
Adjustability of Instincts Opens the Way for Intelligent Behavior.—As we progress in the scale of[Pg 204] animal life this adjustability of instincts to new conditions comes more into evidence. While prescribed in the main by internal impulse the carrying out of the action is capable of some adaptability to circumstances. And in proportion as this adaptability releases the organism from a blind rigid working-out of a predetermined end, there is opened up the possibility of intelligent behavior; that is, of modification of the instinctive behavior by individually acquired experience.
While the generation of instinctive impulses still occurs it is left more for individual experience to teach discrimination between ends. But we can not escape a fundamental structural mechanism, for with this new capacity of educability must come new structural mechanisms in the nervous system and this must be as faithfully reproduced in each individual as is the basis for any other nervous response. How low in the scale of animal life animals can profit from their experiences to the extent that their future conduct is conditioned thereby is not known. Some would place it as far back as the protozoa, others would not. Where such modification of behavior is possible there must be some mechanism for the storage of impressions in the form of what we term memory.
Modification of Habits Possible in Lower Animals.—Among invertebrates such animals as crayfish will acquire new habits, or rather will modify old ones. Even as lowly an organism as the starfish can have changes of habit thrust on it. When a starfish is placed upon its back it rights itself by means of its arms or rays. Professor Jennings found that in a[Pg 205] given individual the tendency was always to employ certain rays for this rather than others. However, by preventing the use of the rays customarily employed, he found that the animal would use a different pair and that ultimately in this way it could be trained into the habit of using this pair of rays even when restrained in no way. One starfish which was given one hundred eighty such lessons in eighteen days after an interval of seven days still retained the new habit; young individuals were found to be more easily trained than old ones.
Some Lower Vertebrates Profit by Experience.—Among vertebrates it is known that those as low in organization as fish will profit by experience. They will learn to come for food at a regular time and apparently learn more or less to appreciate the presence of certain obstacles with which they have had unsatisfactory experiences. Professor Sanford sums up what he believes are the limitations of the piscine mental organization as follows: “No fish is ever conscious of himself; he never thinks of himself as doing this or that, or feeling in this way or that way. The whole direction of the mind is outward. He has no language and so can not think in verbal terms; he never names anything; he never talks to himself; as Huxley says of the crayfish, he ‘has nothing to say to himself or any one else.’ He does not reflect; he makes no generalizations. All his thinking is in the present and in concrete terms. He has no voluntary attention, no volition in the true sense, no self-control.”
Rational Behavior.—Finally, however, out of these first dull glimmerings of intelligence as exemplified[Pg 206] in the higher invertebrates and the lower vertebrates, which can modify behavior as the result of experience, come the still higher factors so dominant in man, of rational behavior. This higher mental process can realize the end to be reached and can deliberate on the means to be employed. By means of his reason man can overcome difficulties in advance by “thinking” out suitable schemes of action. Some naturalists believe that man stands alone in possessing the power to reason, although others believe that some of the other mammals, notably the other primates, possess the same attribute although in a much less degree.
Conceptual Thought Probably an Outgrowth of Simpler Psychic States.—Is the capacity for such conceptual thought, however, which appears as the final efflorescence of complex neural activity something entirely new? Most students of comparative psychology maintain that it is not. Just as one kind of an instinct frequently grows out of another, so has this grown out of the complex of psychic states which preceded it. It apparently is the product of the increasing awareness on the part of animals of their neural processes and the outcome of these processes, which becomes more and more prominent as we ascend the scale of animal life. With the advent of associative memory the mind comes more and more to deal with attributes of objects instead of merely with each single concrete object as it presents itself, and these attributes being common to many objects, come to represent definite ideas which can be manipulated by the mind. Language, of course, has been an [Pg 207]indispensable aid to man in this regard, for words become descriptions of facts and symbols of concepts, and thereby allow of abstract thought.
The Capacity for Alternative Action in High Animals Renders Possible More Than One Form of Behavior.—With this modification of instinct by experience made possible, there comes at the same time, of course, the capacity for a rational instead of a purely instinctive behavior. This very capacity for alternative action opens up many new possibilities of behavior and together with the well-known fixative effects of habit, also the opportunity of permanently establishing certain ones. Thus it is obvious that a behavior toward which in a strict sense there can not be said to have been an original specific tendency, can be developed. What was present in the first place was only a general possibility of the development of any one of several types of behavior. The final choice of the alternatives together with repetition makes it the habitual behavior of the individual. Of course it can be urged that if the selection of the type of behavior is left to the individual then the latter will operate automatically toward the various impulsions of its neural make-up and one path will be followed because of stronger inclination in that direction, so that the whole procedure is in the end the mere operation of an automaton. But however this may be in the individual left to itself, the fact is in man that the young individual is never left to itself and in the nature of things can not be, so that without entering into this troubled pool of controversy regarding freedom of the will, I wish merely to point out that the possibility[Pg 208] of more than one form of behavior exists and that if one is more desirable than the others then this one can be chosen by the ones responsible for the training of the young individual and clenched fast by the agency of habit.
Intelligence, reason and habits, however, no less than instincts and tropism must have neural as well as psychical existence and we can not escape therefore the underlying mechanism.
The Elemental Units of the Nervous System Are the Same in Lower and Higher Animals.—It is interesting to note that the fundamental neural mechanism which underlies the mental processes of higher animals is not essentially different from that which serves in lower forms. Although as animals become more complex their nervous systems have become proportionately larger and incomparably more intricate, still all the changes have been rung on the same basic neural unit, the neuron or nerve-cell (Fig. 32A, p. 209). The higher nervous system differs from the lower in the number, in the specializations and in the associations of these units rather than in possessing something of entirely different elemental structure.
Neuron Theory.—According to the prevailing modern conception the entire nervous system is made up of a series of units called neurons. Each neuron is a single cell with all its processes. The latter consists typically of short branching processes on the one hand, known as dendrites, and of a single process on the other, known as the axon, which extends from the cell to become a nerve fiber (Fig. 32, p. 209). The various neurons, with possibly a few exceptions, are not [Pg 209]anatomically continuous but contiguous. They communicate with one another apparently by contact only. The axon of each neuron ends in an elaborate series of fine branchings which lie in contact with the dendrites of another neuron, or in some cases with the body of the other cell (Fig. 32, p. 209). Thus the nervous impulse passes from one neuron to the other at these points of contact. An impulse is supposed to travel normally only in one direction through a neuron, the dendrites being the receiving and the axon the discharging terminals. There are various types of neurons. Some, particularly within the brain, have their main processes so provided with branches and brushes that they may come into physiological connection with a number of other neurons.

Fig. 32
A—Diagram to illustrate neurons and their method of connection; a, axon; d, dendrite; s, synapse. To simplify the diagram the medullary sheathes of such fibers as would have them have been omitted. The arrows indicate the direction in which the impulse travels. The lower series shows diagrammatically how from the same neuron in the cortex two subordinate neurons may be affected, the one excited to cause contraction of a certain group of muscle fibers, the other inhibited so that the antagonistic fibers may relax and thus not hinder the movement of a given part.
B—Section of a region of the cerebral cortex (after Cajal). The cells have been blackened with chrome-silver and are much less highly magnified than the diagrams in A. The numerals refer to certain characteristic layers of the cortex in this region.
[Pg 210]Establishment of Pathways Through the Nervous System.—It is believed that more or less resistance to transmission of stimuli prevails at the point of contact (synapse) between two neurons but that this resistance is lessened by repetition of conduction. The frequent traversing of a given pathway by similar impulses finally results in an automatic occurrence of the transmission, or, in other words, the action becomes habitual. Education consists largely in establishing such routes through the nervous tissue. Because of the greater plasticity of the neural mechanism in youth it is easier to open up and fix pathways of conduction than in later years. Moreover the earlier established lines of conduction become the more permanent.
Characteristic Arrangements of Nerve Cells Are as Subject to Inheritance as Other Structures of the Body.—That the main features of the nervous system[Pg 211] are inherited becomes obvious when we see that each kind of animal has its own distinctive numbers, arrangements and proportions of the various neural units. In man, for example, there are certain characteristics, types and groupings of nerve-cells which are reproduced generation after generation with remarkable fidelity. This means that in so far as these represent the mental make-up of the individual, his mentality is continuously linked with others which have gone before. The new-born child has all the nerve-cells in its brain that it will ever have but the ultimate linkages of the finer connectives between them, or at least the pathways of travel, remain in large measure to be made.
As we have already seen, the cerebral cortex is the seat of the chief mental faculties of man or at least of the highest of these. Professor Lloyd Morgan, one of our greatest authorities on comparative psychology, is inclined to believe that the instincts are located in the subcortical material. In any event, the inheritance of mental ability resolves itself into the inheritance of a certain cerebral mechanism.
Different Parts of the Cortex Yield Different Reactions.—The cerebral cortex, however, is not functionally homogeneous throughout. Certain regions have been shown to be motor, others sensory, and moreover, these regions are apparently further specialized so that a given one of them is associated with a specific type of sensory or motor response, not merely with responses in general. Thus by injuring one of the sensory areas we might destroy vision but not other sensations, or by stimulating one of the motor[Pg 212] centers we would get a response in a corresponding motor organ but not in all such organs. Likewise, it is probable that still different areas, the so-called “association areas,” relatively of much greater development in man than in any other animal, are the regions in which various perceptions and conceptions are synthesized and formed into organized knowledge. Here also are engendered the volitions which when flashed through the motor centers become expressed in activity or behavior.
It seems highly probable that just as the sensory and motor areas differ in kind from one another, so we must suppose there are qualitative differences in various parts of the association areas so that the different parts give different reactions in consciousness; that is, each special mental ability of the individual is more or less centered in a special part of the cortex. And just as there may be variations in other structures of the organism so there may be variations in these areas. The “gifted” person in some one direction, whether it be in mathematics, music, painting, or what not, is on this hypothesis one who has that particular area of his brain which forms the basis for the talent in question more highly developed than it is in the average individual. And since such talents are handed down to descendants, this can only mean that a similar grouping of the neurons in the region in question has occurred.
Skill Acquired in One Special Branch of Learning Probably Not Transferred to Another Branch.—Such a differential arrangement of the brain-mechanism which presumably underlies the various mental[Pg 213] abilities would lead to the inference that skill in one special branch of learning, in so far as it involves only certain centers of the cortex, would not be transferred to another branch based on different neural pathways and centers. Development of historical knowledge, for example, would not enhance one’s mathematical ability, or vice versa. The testimony of various psychologists bears out this idea. In so far as certain factors of training, such as habits of industry, concentration, etc., are common to the study of either mathematics or history, the good effects of either discipline will probably be much the same, but the identity of effect vanishes as soon as the intrinsic characteristics of the subjects themselves are involved.
Just how far we are warranted, however, in carrying this idea of localized functions as regards the association areas is a moot question. Our present attitude regarding the specificity of such localizations is largely a matter of inference based on analogy to conditions which obtain in other and better known parts of the brain, together with the indubitable differences in inborn abilities which exist between individuals. Some few brain physiologists maintain that the whole cortex operates more or less as a unit in all of the higher psychical activities.
Preponderance of Cortex in Highest Animals.—One of the most interesting conditions in the nervous system of the highest types of animals is the way in which the cortex has outrun the other parts of the brain in size and complexity and has come to dominate the organism more and more both directly and indirectly. Aside from the proportionately greater [Pg 214]increase in size of the cortex, there is an abundance of anatomical evidence of this altered and probably altering system of control in man and the higher apes. This is well illustrated in the fiber tracts (nerve bundles) of the spinal cord.
More Long Fiber Tracts in the Spinal Cord of Man.—The spinal cord although having many nerve centers of its own is also in great part a large cable for conducting enormous numbers of fibers from one part of the cord to another, or to and from the brain. In man and the higher apes a considerably larger percentage of the total area of the cord is given up to the long fiber tracts from the brain to the body than in lower vertebrates. This progressive increase in long fiber tracts in the higher anthropoids probably marks more and more domination of the body by the higher brain centers and correspondingly less by the direct activity of the cord and by the lower brain centers. However, even in man, many of the simpler reflexes of the body still have their centers in the spinal cord.
Special Fiber Tracts in the Cord of Man and Higher Apes.—There are certain special tracts of the cord that are particularly interesting in connection with the increasing domination of the brain over the body, namely, the pyramidal tracts. These were the latest tracts to appear in the animal kingdom and are apparently the latest to become functional in the individual. It is believed that the development of the medullary substance (an enveloping sheath) of the common medullated nerve fiber marks the time of entrance of the fiber into activity and it is a significant fact that the formation of this sheath occurs last of[Pg 215] all in the fibers of the pyramidal tracts, where it does not appear till after birth. These tracts convey impulses from the brain to the body. They consist of two sets of tracts, in fact, one the crossed, the other the direct. As an anomaly, probably arising most frequently from instrumental injury at birth, the pyramidal tracts fail to develop normally, with the distressing result that the infant, although possessing perfectly normal brain activity and normal spinal cord reflexes, is unable to exercise voluntary control of the body. In other words the condition, like hare-lip, is one of suppressed development. At least this seems to be the most plausible explanation of what is known as Little’s disease. Such unfortunates usually die early although they may survive for a few years.
The direct pyramidal tracts occur only in man and man-like apes. They vary considerably in extent in different individuals. They originate in nests of characteristic large cells located in the cerebral cortex and are regarded as paths, though not the only ones, through which volitional impulses are conveyed from the brain. They seem to control certain of the finer and more delicate movements of the body.
Great Complexity in Associations and More Neurons in the Brain of Man Than of Other Animals.—It has already been noted that as animals stand higher in the scale of life while the general plan of their neural elements remain the same, there is increasing complexity in the number and connections of the neurons. The number of processes on individual nerve-cells is also greater. There is in fact much greater complexity in the number of processes and the [Pg 216]inter-connections of the neural cells than in the numbers of the cells themselves. This would seem to indicate that the greater mental activities of higher animals depend more on richness in complex associations than on mere increase in number of neurons. The latter, however, is by no means unimportant as may be seen in man, for instance, in whom it is estimated that the cerebral cortex, that is, that part of his brain in which his more complex mental processes transpire, contains some nine billion more nerve cells than does the corresponding region of the brain of an anthropoid ape.
Of especial significance in the psychic make-up of man is his vastly increased capacity for inhibition. Although not possessed by all men in equal measure and not entirely wanting in lower animals it is a distinctive feature in all human conduct. Much of any child’s education, particularly as it pertains to behavior, must be concerned with training in the exercise of proper inhibitions. He must learn to suppress certain primitive types of reaction in favor of higher ones. This applies not only to motor activities but to trains of thought as well. The essence of self-control consists mainly in ability to substitute for one impulse or idea other compensating ones. And the secret of concentration lies in being able to banish irrelevant ideas and focus on the central thought.
The Nervous System in the Main Already Staged at the Time of Birth for the Part It Must Play.—It is clear from what is known of its anatomy that in the main the central nervous system is framed to respond in certain set ways, that there are determinative elements in it which control or determine the responses,[Pg 217] and therefore the behavior of the body. The same evidence shows also, however, in the incompleteness of many of the associations, that while the stage is all set and some of the main features of the performance are determined at the time of birth, considerable yet remains to be done toward fitting the parts together and working up the detail. Just exactly what and how much is rigidly determined no one knows.
Many Pathways of Conduction Not Established at Birth.—As we have already seen the evidence is that many of the neural pathways are not yet fully established at birth, and there is some indication that routes once opened may be altered. To what degree this has bearing on behavior is still unknown, but since neurologists attribute so much importance to the richness and the associations of the cell-outgrowths, it is evident that this increase in the number of pathways after birth with possible alternatives of connections may be a very important factor in the modification of behavior. Yet, on the other hand, we are completely in the dark as to what extent these later associations are predetermined in the earlier cells.
The Extent of the Zone That Can Be Modified Is Unknown.—There is little doubt that many of the paths of action are already firmly established. Others, although not irrevocably fixed, offer the least resistance and would “naturally” be taken if not counteracted or modified by the more or less artificial development and fixation of other paths through cultivation and habit. Yet others perhaps are largely neutral; they still await the initial decisive push which “choice” or external environment may mete out to them. As[Pg 218] trainers of youth all that is left that we can do is to attempt to develop in certain ways the elements of this indefinite, impressible zone. Unfortunately, we must labor in the dark to a great extent as we have all too little indication of which the malleable factors of intellect and conduct are. We can only infer from long, intelligent and sympathetic observation of children in successive stages of their development. It is only by having clearly in mind the nature of our problem that our conclusions will finally come to be of enhanced practical value in the training of children. Observation to the present time clearly indicates that many children are strongly predisposed this way or that “as the sparks fly upward.”
This is a point too frequently overlooked by educators. They are often unduly actuated by the other piece of the truth that, “as the twig is bent the tree inclines.” They sometimes fail to realize that after all the tree remains the same kind of a tree. If an apple tree, while it may be bent from the normal path of development, it can not produce other fruit than apples. Just how much the destiny of man can be influenced by training and the exercise of his own will power is the fundamental question not only of pedagogy but of ethics as well. For if man’s rational judgments are markedly conditioned by his neural make-up then the volitional judgments which underlie conduct are likewise conditioned since they are inextricably intermingled with his reason. We must believe that to a considerable extent emotional expression, as well as other mental functions, is due to [Pg 219]hereditary dispositions of the neurons in the various parts of the brain.
Various Possibilities of Reaction in the Child.—Despite the innate predeterminations of the tree, it is nevertheless our province to see that the twig is bent, but our work can only be done with due intelligence when we recognize something of the limitations of our material. Of the various possibilities of reaction we must see that certain desirable ones are realized, even, in some cases, if only to have others thereby excluded. It is a commonplace of psychology that all cerebral excitations, no matter what the origin, must vent themselves in some way and if this expression is not directed into proper channels it will very likely find improper ones. We must see that the young wearer of the coat of undetermined capacities gets it set by repeated performance into the habitual wrinkles of normal social conduct. For it is a trite observation that when habits are once well established it requires tremendous efforts to do otherwise than as they dictate. There is not the least doubt that some of our subjects will respond much more readily to training in certain directions of habitual reactions than others, but we have always the consolatory knowledge that no matter how difficult the art may be at first, repetition reduces the difficulty.
While much of any youth’s character must be determined by external forces brought to bear upon it, the ultimate climax of our effort and measure of our success will be the extent to which we have engendered in him the capacity for initiating and carrying out[Pg 220] through his own volition those impulsions and inhibitions which tend to the highest good of humanity.
Probable Origin of Altruistic Human Conduct.—Those phases of human conduct which find expression in consideration for others seem no less than other mental attributes to have their origin in certain fundamental instincts. Altruistic conduct, in last analysis, apparently resolves itself back largely to certain very fundamental impulsions, namely those which arise out of certain obligations for the welfare of others which are necessarily associated with the marital, parental and filial relations that must exist where the young require post-natal care. Looked at from the standpoint of natural selection, this would come about as a mere matter of survival value. Where the young, as in man, are helpless for a long period of time, more opportunity would be afforded for the development of both conjugal and filial affection. The sympathetic emotions once established in such family relations would partly through habit, partly through community of interest, readily become extended to clan or tribe and as a final consummation to all mankind.
Training in Motive Necessary.—In the training of children, then, we must recognize first of all that there are decided inclinations or bents which, as long as they are not anti-social in nature, must be respected if not always encouraged. While it is necessary to utilize these as much as possible in their training still we must bear in mind that although it is natural for a child to follow certain interests, the fact remains that as regards social worth these natural interests may not be the most valuable. When this is true we must strive[Pg 221] to develop others which will compel attention and thus become impelling factors in conduct. Where certain fundamental impulsions run contrary to the common welfare it is necessary to practise the child in the setting up of inhibitions or counter-impulses until this becomes habitual. He must be led to construct a protective mantle of appropriate scruples, doubts and fears. It is all important to get the proper motives for action to prevail in his mind.
Actual Practise in Carrying Out Projects Is All Important.—But on the other hand it is equally important to see that the action is effectively carried out. In the matter of self-discipline, particularly, we may have many ideal impulses and realize that they should prevail over certain of our natural propensities, but unless we put forth effort to overcome the propensities our ideal impulses are of no avail. The world has many such moral paralytics to-day who can not seize their “languor as it were a curling snake and cast it off.” It is training in this very overcoming of reluctance, in this putting forth of actual effort toward worthy ends instead of merely memorizing precepts about the desirability of such accomplishments, that is so sadly lacking in our school and home life to-day. We prate of the importance of self-control, we say with our lips that the way to learn to do is by doing, we proclaim that it is more vital to instil good mental and physical habits into our pupils than to stock them with information, we preach that mere fact training is as conducive to making a first-class rascal as an upright man, yet we jog on complacently in the well-beaten ruts of memory routine which require the memorizing[Pg 222] of symbols rather than real understanding. We seldom require that our protégés make intelligent judgments based on evidence, we rarely exact of them decisions in matters of ethics, and almost never demand that they put their knowledge into efficient accomplishment. It can not be too strongly urged that we need less of formulæ learned by heart, less dead erudition pigeonholed in the brain like so many foreign bodies, and vastly more assimilation of knowledge into the living personality of the individual.
Where in school or home to-day do we find provision for such training? Our tendency is, in fact, just the opposite. According to the modern code, as it works out in many instances at least, the child must be taught through play. Though it is a truism that he who has not learned obedience can never be master of himself, the child of to-day must not be made to obey but be wheedled into changing his mind. If a given subject of study proves distasteful to him, the fault is the teacher’s for not making it interesting, for he must always be led on by the thrill of fascination. In other words, the child must not only be allowed but be encouraged to take the path of least resistance. His own pleasure is to be the standard of his actions. Let no stern demands of duty interfere!
Is it any wonder that the products of such tutelage come into the activities of life self-indulgent and undisciplined, and although often recognizing our private and public shame in business, politics and conduct, still remain supine, evasive of the unpleasantness or hardships of reform, or inefficient or unwilling in accomplishing unselfish ends?
[Pg 223]Interest and Difficulty Both Essential.—The writer does not wish to be understood as minimizing the importance of interest on the part of the child in what he is doing. Interest is undeniably the open sesame to desirable mental development; but what he does protest against is that not uncommon interpretation of interest which deems it necessary to eschew most serious consideration of a subject and evade such parts as present difficulties. Certainly if there is any fact that stands out prominently in human experience it is the fact that nothing conduces to the development of moral stamina so much as the overcoming of difficulties, particularly distasteful difficulties.
Conduct Developed Through Actual Performance.—Self-control and the will to do can be trained and crystallized into habit as well as can any other activity. It is a fact that one well grounded in morals by habit will successfully resist subconscious impulsions to wrongdoing even when suggested in the hypnotic state. Conduct is largely a matter of growth through actual performance. For proper guidance of this growth there must, of course, be high ideals around which the feelings are led to cluster and by which they gradually come to be controlled.
Construction of Ideals.—The construction of such ideals through example, through precept, through appeal and through actual practise in self-denial and self-control on the part of the child, should be the foremost duty of the parent or teacher. Above all it should be remembered that imitation of teacher, of parents, of companions, is more of a factor than intellect in the moral action of children. At present[Pg 224] educationally we are in a fever for vocational training, for “practical” work, and in general for all things conducive to coaching our pupils in how to make a living, yet commendable as all this may be, is it not of even more fundamental importance to train them how to live?
The Realization of Certain Possibilities of the Germ Rather Than Others Is Subject to Control.—It may be said in a sense that there exists potentially in any germ all the things that can possibly come out of it under any obtainable conditions of environment. The very initiation of a given mode of expression by some environmental factor, however, often mutually excludes many of the others. We get a given average result ordinarily because development normally takes place in a given average environment.
As may be easily shown by experiment, this is manifest even in the instincts of lower animals. In the young the various instincts do not come into expression at the same time, and it not infrequently happens that if one of the earlier instincts becomes operative toward certain objects or situations, later instincts will have a wholly different relation toward these objects or situations than they would otherwise have had. As a result the whole life conduct of the animal is markedly modified. For example, young animals immediately after birth have no instinct of fear. They do, however, have a strong instinct to attach themselves to some moving thing and follow it. The utility of such an instinct, as for instance in the case of young chickens, is obvious. The object of attachment is usually the parent, but man may take[Pg 225] the place of a parent and the young animal will fearlessly follow him about. However if the young animal has had no experience with man during its earliest infancy a later instinct, that of fear or wildness, will have come into play and it will flee from him. It is clear, therefore, that by familiarizing the young animal with man before its instinct of fear has come to expression, certain habitual reactions are set up in it which inhibit or limit the application of its instinct of wildness as regards man. In other words, the whole course of its life has been altered by this simple experience. The same principle applies in even greater degree to the young of man.
We have seen in a former chapter that what in the ordinary course of nature was “predestined” to become one individual nevertheless contained the possibility of becoming four or more if the environing conditions were made such as to bring about a separation of the cleavage blastomeres. Or a fish egg that contained the possibility of becoming a normal two-eyed form also contained the possibility of becoming a one-eyed form and could be made to do so by certain unusual modifications of the conditions under which it develops. However we must not be led so far by the plausibility of this comparison that we are misled, for the fact is that we are not creating anything new by these environmental upheavals, but are mainly altering features that already exist. Beyond doubt the nature of the material is of greater import in the specificity of the outcome than are the external forces brought to play on it. The only point I wish to make is that even what seem ordinarily to be predestined ends can be[Pg 226] altered by environment, and that the probabilities are that certain features are relatively indifferent at their inception, the environmental factor adding the final touch of specificity. And our common experience in education would indicate that the same is true of mental conditions, including behavior. The actual appearance of a particular trait is not necessarily always a matter of an initial trend, but may be due merely to the fact that its development is possible under certain conditions of environment and that these conditions have prevailed in the given instance. And even where there is a specific bent it may be arrested through the awakening of a contrary impulse, or, on the other hand, its exercise may prevent the engendering of the opposite impulse.
Our Duty to Afford the Opportunity and Provide the Proper Stimuli for the Development of Good Traits.—It is clearly our duty to see that the expression of good traits is made possible. We must throw a sheltering screen of social environment around the young individual which will fend off wrong forms of incitement and chances for harmful expression, and we must provide proper stimuli and afford opportunity for development of proper modes of expression. We must not forget that a normal instinct denied a legitimate outlet will not infrequently find an illegitimate one. Above all we must not forget the vital importance of establishing correct habits nor the possibility of even replacing undesirable ones by good ones. If training can redirect the machine-like behavior of as lowly a creature as the starfish into new courses, why should we be so willing as some of our[Pg 227] genetists would seem to be to throw up our hands and admit failure in the case of man before we have even made a rational attempt to correct the evils in question? Even in lowly organisms we have seen that behavior is not only the result of an innate constitution but also of the degree and kind of stimulations to which it has been subjected.
If the individual himself has not the initiative or will to make the attempt to set up proper or corrective habits, or to cultivate the necessary specific inhibitors, then all the more is it our duty to see that he is led by suggestion and drill into the proper routine of activities for their establishment. For if the individual with propensities toward moral obliquity is to be saved to society it must be through the stereotyping effects of good habits.
Moral Responsibility.—Beyond question different men have different degrees of capacity for mental and moral training. All can not be held equally responsible ethically, but the lowermost limit of obligatory response to social and ethical demands necessary to rank one as within the pale of normal conduct is at such a level that any one not an actual defective can in a reasonably wholesome environment surmount it. All normal men are responsible for their conduct.
MENTAL AND NERVOUS DEFECTS
Some of the most important and serious problems which confront humanity to-day lie in the realm of mental and neural maladjustments. For human progress and social welfare are in last analysis based fundamentally on the results of normal reactions of human nervous systems. Any serious derangement of the latter may, and in certain cases must, lead to more or less disaster for the individual and disorder for society of which he is a unit. So appalling has the number of neuropathic subjects become in modern times that the matter may well cause even the most thoughtless citizen to pause and consider.
Prevalence of Insanity.—As to the prevalence of insanity, one learns from recent charts prepared by a member of the National Committee for Mental Hygiene that in 1910 we had more insane (187,454) in our institutions than there were students (184,712) in all our colleges and universities in the United States, or officers and enlisted men (142,695) in our combined United States army, navy and marine corps; further, the yearly cost ($32,804,450) of caring for these insane is greater than the annual cost of construction ($32,520,100) on such a stupendous undertaking as the Panama Canal. In New York over twenty[Pg 229] per cent. of the revenues of the state go to support the insane. Doctor Lewellys F. Barker, President of the National Committee for Mental Hygiene, says: “It is calculated that some 250,000 people in the United States are insane. One of every five men discharged from the United States army for disability is discharged because of insanity, 60 per cent. of the cases being dementia precox.”
Even in individual states with exceptionally large university populations we still find these outnumbered by those of the insane. Thus in Wisconsin by 1914 the state university had attained a population of about 4,700 students resident at the university during the regular school year, and of approximately 6,000 attending during some part of the year, but the number of insane under restraint in public institutions in the state June 20, 1912, was 6,851, with an additional 1,284 on parole. This does not include the insane in various private sanatoria, and moreover a considerable greater number of patients had been treated in these public institutions than were resident there June twentieth.
To make such comparisons complete one should, of course, know the average length of residence of students in college, and of insane patients in institutions. No accurate data on this point are at hand. The average period of residence in hospitals for the acutely insane is doubtless considerably shorter than the average period of attendance of students in college, while on the other hand the average period of residence of inmates in asylums for chronic insane is probably considerably longer. For example, the Wisconsin State[Pg 230] Hospital for the Insane reports a total of 1,224 patients under treatment, but an average population at any one time of only 622 during the year 1911, and the Northern Hospital for the Insane, a total of 1,194, with a daily average of 613 during the same period. The combined thirty-four county asylums in Wisconsin, for chronic insane, had a total population of 5,384 during the year 1911, with a loss of 517, or approximately 10 per cent. During 1912 the figures for these same institutions run 5,758 and 742 respectively, or a loss of over 12.5 per cent. The conditions in other states are probably much the same.
In other representative states we find the number of insane in public institutions as follows: California, 7,909; Michigan, 7,703; Minnesota, 5,329; Pennsylvania, 16,992. Epileptics are estimated by alienists to be about equal in number to the insane, feeble-minded to be more numerous. The estimate that in the United States there are 300,000 feeble-minded is probably a minimal figure.
Imperfect Adjustments of the Brain Mechanism Often Inheritable.—The outside layer or “cortex” of the brain is the region in which the more complicated adjustments occur, especially such as pertain to human behavior, and inasmuch as this portion of the brain is extremely complex and delicate in its mechanism, it is peculiarly liable to derangements which, even when slight, may have far-reaching effects.
This brain-mechanism is as much a product of ancestry as is any other structure of the body, and it is obvious therefore that imperfect adjustments of its structure must be as subject to the laws of inheritance[Pg 231] as are other malformations of the body. And just as with other defects, mental disorders may thus flow from pre-existing ancestral maladjustment of the nervous system or from immediate causes thrust upon it, such as syphilis, alcoholism, degeneration of the blood vessels and traumata. Or, in other words, the mechanism of mentality may be faulty from the beginning, or it may be made faulty by bad environmental conditions.
The records of the inheritance of insanity, imbecility, feeble-mindedness and other forms of nervous and mental defects are truly startling. Active researches in this field have been in progress now for several years, and as each new set of investigations comes in the tale is always the same. It is questionable if there is a single genuine case on record where a normal child has been born from a union of two imbeciles. Yet the universal tendency is for defective to mate with defective. Davenport gives a list of examples, beginning with such a one as this: “A feeble-minded man of thirty-eight has a delicate wife who in twenty years has borne him nineteen defective children.” Little wonder, in the light of such facts as these, that the number of degenerates is rapidly increasing in what are called civilized countries.
Many Mental Defectives Married.—But, it may be urged, these are exceptional cases, there is surely no considerable number of mental defectives who are married. Let us look at the available facts. In Great Britain in 1901, of 60,000 known feeble-minded, imbeciles and idiots, 19,000 were married, and in the same year, of 117,000 lunatics, 47,000 were married; that is,[Pg 232] a sum-total of 66,000 mentally defective individuals were legally multiplying, or had had the opportunity to multiply their kind, to say nothing of the unmarried who were known to have produced children.
In the state of Wisconsin I note from the tenth biennial report of the Board of Control that of 574 patients admitted to the Northern Hospital for the Insane during the year from July 1, 1908, to June 30, 1909, 274 were married and 29 others were known to have been married; this is a total of 303 out of 574, considerably over half. At the Wisconsin State Hospital for the Insane we find the conditions are no better, for out of 499 admitted in the year 1909-10, 208 were married and 65 others had at some time been married, or a total of 273 out of 499. There is every reason to believe that conditions are approximately similar in other states.
Disproportionate Increase in the Number of Mental Defectives.—Writing of conditions in England the Commissioners in Lunacy state in their fifty-fourth report that now (1901) there is one officially known lunatic to 301.32 individuals of population, whereas in 1859 there was only one to 536 individuals of population. In Great Britain, taking into account mental defectives of all kinds, the 1901 census showed a total of 485,507, or 1:85 of total population. Rentoul estimates that 1:50 would be nearer the truth because of the fact that the number of officially known mental defectives is much less than the actual number. The conditions in Ireland are even more impressive, for in 1851 there was one known lunatic to 657 individuals of population; in 1871, one to 328, and in 1901 one to[Pg 233] 178. When all allowance is made in these statistics for the greater accuracy of recent enumeration, and for other modifying influences, such as migration, we are still forced to believe that an alarming increase in insanity is in progress and that society is woefully derelict in permitting the marriage of such unfortunates.
A census of the insane under public care in Wisconsin June 30, 1910, not counting the paroled, shows 6,537, or one to each 357 of population, since the population of the state was then 2,333,860. If, however, we should add the number of insane in private sanatoria and the number unconfined the proportion of normal individuals would be very much reduced.
In the United States as a whole, while I know of no data giving the number of married insane, it is estimated that at least one-fourth of the insane are not in asylums or hospitals. In all states the number of insane in state institutions (there are no available records of most private institutions) is rapidly increasing. According to the special census of 1903 covering a period of fourteen years, during which the general population increased thirty per cent., the number of insane in institutions increased one hundred per cent. This is due doubtless in part to the fact that because of better facilities for keeping them a proportionately greater number of insane are being sent to state hospitals than in former years. Moreover, improved sanitation has cut down the death-rate in asylums. The increase is in such vastly greater proportion than the increase in general population, however, that it seems impossible to attribute it wholly to the greater accuracy[Pg 234] of recent enumerations and the increasing custom of confining the insane in asylums. This is a matter that demands our gravest attention and one that should be investigated with the greatest thoroughness. One of the most disquieting facts in the situation in most states is that many patients—an average of approximately one thousand a year, in Wisconsin for example—are on parole subject to recall. This means that although it is recognized that these patients are likely to have to be returned to the asylum or hospital, little or no restraint in the meantime is placed on their marital relations.[8]
Protests Voiced by Alienists.—Is it any wonder under the circumstances that we find Doctor Charles Gorst, superintendent at the Mendota Hospital, voicing in his 1910 report the following vigorous protest—and certainly such men as he are in the best position to know. He says: “No one doubts for a moment that defective mental conditions are transmitted from parent to child as surely as the physical defects and deformities. Every one knows that it is common for defectives to be attracted to each other and marry, and that the defects of both parents are liable to be transmitted to the children. It is also true that there are more children born in such families; and for that[Pg 235] reason the percentage of defectives is continually on the increase. The report of the state of Illinois shows the increase to be alarming, and many other states are no better. It is absolutely wicked that the persons suffering from periodical insanity should be allowed to return to their homes to propagate and scatter their children about the state as dependents.”
Examples of Hereditary Feeble-Mindedness.—No one can look at the remarkable series of charts and records brought together by Doctor Goddard of the institution at Vineland, New Jersey, and by other directors of similar institutions, and doubt for an instant the inheritability of feeble-mindedness and allied defects. In some instances the family history has been followed back as far as five generations, and it is always the same dire sequence of insanity, idiocy, epilepsy or feeble-mindedness, from generation to generation. For example, Fig. 33, p. 236, is one of Doctor Goddard’s charts. It shows thirteen descendants of a supposedly normal father (possibly a carrier) and a feeble-minded mother, of whom seven were feeble-minded, the others dying in infancy. The mother herself was one of seven feeble-minded children, who were in turn the descendants of feeble-minded parents, of whom the woman had five feeble-minded brothers and sisters. In Fig. 34, p. 237, he shows mental defects running through four generations. Fig. 35, p. 238, is a remarkable exhibit which, starting in the fifth generation back with a feeble-minded, alcoholic man—the mental condition of his wife being unknown—shows that in every generation down to and including the present there has been nothing but [Pg 236]feeble-minded (or worse) offspring, leaving out of account two unknown and a number who died in infancy without revealing their mental condition. This is true notwithstanding the fact that in the course of the various generations there had been several matings with apparently normal individuals. The new blood, however, instead of redeeming the tainted stock, itself became vitiated. The numerous specific cases of inheritance of family traits reviewed in recent books or in special reports of trained workers give us abundant confirmatory evidence of the inevitable inheritance of various nervous and mental defects.

Fig. 33
Inheritance of feeble-mindedness (after Goddard): squares represent males, circles females; F, feeble-minded; N, normal; E, epileptic; I, insane; C, criminal; T, tuberculous; d. inf., died in infancy; the hand shows the individual from whom the record was traced back; small black circle indicates miscarriage.
Difficult to Secure Accurate Data.—It is obvious, of course, that in tabulations such as these there may lurk considerable margins of error. Notwithstanding our Binet-Simon and other tests for feeble-mindedness, for example, there is yet much to be desired in[Pg 237] the way of accuracy. Many cases just bordering normality are by no means easy to decide. Then again in most human records, when one gets back beyond the third or, at most, the fourth generation, the investigator has to depend on the hearsay evidence of relatives, friends or neighbors, and how vague this generally is can only be appreciated by those who have themselves tried to collect such data. But in spite of all the difficulties, there is little doubt that the more carefully prepared records are sufficiently accurate to establish the fact beyond dispute that defective tends in large measure to breed defective.

Fig. 34
Inheritance of feeble-mindedness (after Goddard); symbols same as in Fig. 33, p. 236.
One serious drawback in making a study of the inheritability of insanity and other nervous disorders is that so far we have dealt mainly with mass effects rather than specific neuroses. But even when the latter is attempted we are confronted by the fact that there are various intergradations of the [Pg 238]recognized types of defect, that because of varying degrees of defect in the same type a standard is hard to establish, and above all that what appears as a specific mental malady in one individual may crop out in his descendants in an entirely different guise. Moreover, not only the predisposition of the individual, but age and precipitative cause enter as factors in determining the ultimate symptoms.

Fig. 35
Inheritance of feeble-mindedness (after Goddard); symbols same as in Fig. 33, p. 236.
Feeble-Mindedness and Insanity Not the Same.—Authorities make a sharp distinction between insanities on the one hand and feeble-mindedness on the other. According to Goddard, not only is there no close relationship between the two conditions, but in reality they stand at opposite ends of the psychical scale. In general, insanity is a degenerative process,[Pg 239] whereas feeble-mindedness is an arrest of development. In the first case the victim loses part of the mentality he once had, in the second he stops short of normal development.
Many Types of Insanity.—The commonest manifestations of insanity are undue depression, apathy, excitement, instability, obsessions, hallucinations and delusions. Some mental disorders are associated with recognizable structural changes in the nervous system, but the structural basis of many is not known.
In general there is more doubt about the inheritability of some of the insanities than about cases of mental deficiency. The term insanity is merely a loose descriptive one, and we shall gain little definite knowledge about the inheritance of such maladies until we study each separate insane diathesis specifically. Psychiatrists recognize many different forms of insanity, some of them very distinct from others and the product of unrelated underlying causes. Often it is only a question of degree or sometimes a matter of chance as to whether a given individual is certified as insane or not. A neuropathic person who manifests certain anti-social activities is sure to be classed as insane, whereas another individual with the same diathesis in a less degree might pass unrecognized. It is almost impossible in some instances to tell just where the border-line between a neuropathic and a normal constitution lies. Many of the idiosyncrasies of the insane, indeed, are merely exaggerations of characteristics seen in normal people. Recent studies of the psychology of the insane show that most of their hallucinations and delusions are closely related to[Pg 240] some previous mental experience they had before becoming insane. And it has been found that the surest means toward removing the obsessions of the patient in curable cases is to ferret out these earlier experiences and correct the wrong impressions regarding them. Again, certain forms of insanity do not become manifest except as special reactions to particular environmental conditions, and if these conditions do not happen to occur, then the neuropathic constitution though existing would not be revealed. Certain critical periods of life such as puberty, pregnancy and the close of sexual life are particularly likely to test out the mentally unstable, although such individuals may have maintained normal mental balance up to the crisis in question.
Not All Insanities of the Same Eugenical Significance.—Of the various kinds of insanity some seem to be of much greater eugenical significance than others, not only because they are strongly heritable, but also because of the periodicity of the attacks. The patient may be repeatedly in and out of the asylum and in his sane intervals wholly unrestrained as far as propagating his kind is concerned. Manic depressive psychoses and dementia precox in the order named represented the largest number of admissions to the Wisconsin State Hospital for the Insane in 1911 and 1912, and both of these very frequently have a hereditary basis. Fig. 36, a chart showing the insanity in a local family as worked out by one of my pupils, is a good example of a recurrent type. The father (Fig. 36, p. 241) was about eighty-two years old when the record was made. His memory was poor and he could[Pg 241] not talk connectedly, although this was possibly attributable to old age rather than to insanity. His brother, written to in Ireland, stated that to his knowledge there had never been insanity in his side of the family. The mother (2) was insane at nine, again at twenty-nine and again at thirty-six. In her later life she has been in the Mendota Hospital for the Insane five times and in the County Asylum twice. The eldest daughter (3) has been in the State Asylum five times and is now at home. The next daughter (4) spent five months in the asylum in 1885. Another daughter (5) likewise spent a short period in the asylum. Two sons (6, 7) have each spent two periods in the asylum, and a third son (8) has had an attack of insanity. The youngest child died at the age of three. Thus of the eight adult children six have been insane at some time. The cases in this family seem all to be instances of manic-depressive insanity.

Fig. 36
Inheritance of insanity in the L—— family. See text for description.
A Neuropathic Constitution May Express Itself Differently Under Different Conditions.—Some of[Pg 242] the difficulties of getting genealogies of specific forms of insanity are obvious from the following quotations chosen from the works of eminent psychiatrists. Kraepelin, for instance, expresses the opinion that: “The psychopathic charge of a family may reveal itself not only by the appearance of mental disorders but also by other forms of manifestation. Here belong before all, those diverse slighter deviations from mental health which go to make up the borderland of insanity: nervousness, states of anxiety and compulsion, constitutional depressions, slight hysterical disorders and forms of feeble-mindedness, tics; also odd characters, peculiarities in mode of living, criminal tendencies, lack of self-control, intemperance, love of adventure, mendacity, suicide on an inner basis.”
From the volume of Church and Peterson on Nervous and Mental Diseases a further confirmatory opinion may be cited: “In determining the factor of heredity we must not be content with ascertaining the existence of psychoses in the ascendants, but must seek, by careful interrogation of various members of the family, for some of the hereditary equivalents, such as epilepsy, chorea, hysteria, neurasthenia, somnambulism, migraine, organic diseases of the central nervous system, criminal tendencies, eccentricities of character, drunkenness, etc., for these equivalents are interchangeable from one generation to another, and are simply evidence of instability of the nervous system. It is the unstable nervous organization that is inherited, not a particular neurosis or psychosis, and it must be our aim in the investigation of the progenitors to discover the evidence of this.”
[Pg 243]Certain Forms of Insanity, But Not All, Seem to Behave as Mendelian Recessives.—A number of psychiatrists and investigators of the inheritance of insanities (Rudin, Lunborg, Davenport, Rosanoff, Jolly), although working independently and in different countries, concur in the opinion that manic-depressive insanity, dementia precox and allied psychopathic conditions tend to occur after the manner of a Mendelian recessive. On the other hand such maladies as Huntington’s chorea are transmitted as a dominant and in all probability at least half of the children of an afflicted individual will inherit and manifest the defect. As to inheritance of various other psychoses we have too few accurately charted pedigrees for most types to make very positive statements about their degree or manner of inheritance. Little can be said beyond the statement that there is a decided tendency for various forms to recur in offspring. Where more than one case of insanity occurs in a given family or stock it is strong presumptive evidence that a hereditary defect is at the bottom of it. As Doctor Wilmarth says, “Mental accident may occur in any family, but it is rarely a second case occurs unless there is a tendency to nerve degeneracy.” For example, of 818 insane at the Wisconsin State Hospital for the Insane during the biennium 1909-10, 187, or practically one-fourth were positively known to have insane relatives. Of these, 24 had insane fathers, 31 insane mothers, 30 insane brothers, 23 insane sisters, 25 insane uncles, 21 insane aunts, and 21 insane cousins. Where definite information could be obtained it was found that of the 5,700 admissions of insane patients[Pg 244] to the New York state hospitals during the year ending September 30, 1911, 27.7 per cent. of the cases showed a history of insanity in the family and an additional 22.9 per cent. showed a history of alcoholism, nervous diseases and the like.
Grades of Feeble-Mindedness.—As to the various grades of feeble-mindedness, while no sharp lines of demarcation can be drawn, a rough and ready test usually applied is the relative ability of such subnormal individuals to take care of themselves. In all, the conditions exist from birth or shortly after. Idiots are such defective individuals as are unable to take care of themselves even to the matter of guarding against common physical dangers. Their mentality does not progress beyond that of a two-year-old child. Imbeciles can take care of themselves in the cruder physical ways, but are unable to earn their living. Their mental age ranges from three to seven years inclusive. Morons, or the “feeble-minded” in a more specific usage of the term, can under proper direction become more or less self-supporting but they are as a rule incapable of undertaking affairs which demand judgment or involve unrestricted competition with normal individuals. Their intelligence ranges with that of normal children from seven to twelve years of age. The last class grades up insensibly into the shiftless, ne’er-do-well types which exist in every community. It is the hordes of the feeble-minded in the restricted sense that afford our most serious problems to-day. The idiot and the imbecile are usually early and easily recognized and are kept more or less under restraint, but the higher grades of feeble-minded, the[Pg 245] so-called moron type, can be detected often only by carefully devised tests.
About Two-Thirds of the Feeble-Minded Have Inherited Their Condition.—Concerning the various types of feeble-mindedness there is strong evidence that heredity is a factor of greater magnitude than in most insanities. All facts point to the conclusion that most mental deficiency is strongly inheritable and that the majority of our defectives of this type come from degenerate stocks. Practically all specialists at the heads of asylums and homes for the mentally deficient concur in the opinion that about two-thirds of the cases are hereditary. For example, Doctor Alfred Wilmarth, superintendent of the Wisconsin Home for Feeble-minded, says: “My own observations, and those of others in this country and Europe, would indicate that at least two-thirds of the feeble-minded have defective relatives.”
In his study of two thousand children tested by the Binet measuring scale for intelligence, Doctor Henry H. Goddard, director of the Department of Research at the Training School for Feeble-minded at Vineland, N. J., remarks concerning heredity of feeble-mindedness: “But we now know that sixty-five per cent. of these children have inherited the condition, and that if they grow up and marry they will transmit the same condition to their offspring. Indeed, we know that this class of people is increasing at an enormous rate in every community and unless we do something to stop this great stream of bad protoplasm we shall some day be swamped in a sea of degeneracy.”
E. R. Johnstone, superintendent of the training[Pg 246] school at Vineland, N. J., in a recent bulletin remarks concerning feeble-minded and epileptics, “We are now convinced that from sixty to eighty per cent. of the cases are hereditary.”
Again, we find Doctor A. C. Rogers, superintendent of a school for feeble-minded in Minnesota, saying, “We have no survey of mentality in this country except in very small areas, but probably about sixty-five per cent. of the feeble-minded children that we know of are feeble-minded from heredity; that is, they come from families in which there is much feeble-mindedness, usually associated with various neuroses or psychosis. There are about thirty-five per cent. approximately that are acquired cases. These cases develop from various things. Full development may be prevented during gestation, or early childhood, or early adolescence, but these acquired cases are entirely distinct from the hereditary ones.”
In a recent paper Doctor Martin W. Barr, chief physician for the Pennsylvania Training School for Feeble-minded Children, says: “In my individual study of 4,050 cases of imbecility, I find 2,651, or 65.34 per cent., caused by malign heredities; and of these 1,030, or 25.43 per cent., are due to direct inheritance of idiocy; and 280, or 6.91 per cent., to insanity.” From these figures it will be seen that Doctors Barr, Goddard, Wilmarth, Johnstone and Rogers all agree in their estimates; namely, that two-thirds of our imbeciles are so through inheritance.
Some Results of Non-Restraint of the Feeble-minded.—The following excerpt from a paper by[Pg 247] Doctor Barr, is a fair sample of what happens when such defective individuals are not restrained from propagating their kind:
“My own study and observation alone, of over 4,000 degenerates, shows such examples as: A man 38 years of age, the father of 19 defective children, all living, he and his wife both under par mentally; as was another couple, with 9 imbecile children; an idiot woman with 7 idiot children. A forcible instance is that of a man with two daughters and one illegitimate grandchild, all feeble-minded.... I could name a family, one of the proudest in the land, where there are five children, an aunt and two uncles, all feeble-minded.
“Yet another, which in seven generations numbering some 138 individuals, records 10 still-born children (premature births), 16 insane, 7 imbeciles, 3 epileptics and 32 with mental peculiarities so pronounced as to occasion remark. Of the 138 there remain 80 apparently normal, who are nevertheless hopeless slaves of a neurotic heredity, direct or collateral.
“In a study of 15 imbecile girls, 3 were recognized prostitutes, 9 had each 1 illegitimate child (2 being the result of incestuous intercourse with brothers); 1 had 2; 2 epileptics had, the one 3, and the other 4 idiot children.
“Four feeble-minded women had 40 illegitimate children.
“A feeble-minded woman living in an almshouse since early childhood, allowed to go out to service periodically, had given birth to six illegitimate children, all inheriting her defect.
“An imbecile drunkard is the father of three feeble-minded children. The daughter, seduced before the age of sixteen, gave birth to an idiot child; one son is [Pg 248]a harmless imbecile, but the other is a moral imbecile, a sexual pervert, a thief on the streets, and a pyromaniac, firing in sheer wantonness a large mill property.
“Another shows the entire family for three generations below normal. Father, mother, mother’s sister, and father’s uncle, all imbecile. Five children feeble-minded. One girl had a proposal of marriage, and one boy is married to a feeble-minded girl.
“One insane woman, whose brother and sister committed suicide, had five sons. The oldest, feeble-minded, a drunkard and hobo, had one son, a criminal. The second son, insane, had three imbecile children. The third, an insane epileptic, had three imbecile sons, one of whom was an epileptic. The fourth son was insane. The fifth, apparently normal, had a morally imbecile son and an epileptic daughter.”
Yet striking as is the inheritance of these maladies, Doctor Barr points out that of the 10,000 known cases of feeble-mindedness in Pennsylvania, only 3,500 are sequestrated. This leaves a balance in that state of 6,500 totally irresponsible individuals to work havoc in society by producing their kind.
Inheritance Not a Factor in Some Cases of Mental Deficiency.—On the other hand as our data show, there remain about one-third of the mentally deficient type to be accounted for on other than a basis of heredity. As already noted, some of these are doubtless the product of suppressions of normal development by various extraneous factors operating before or shortly after birth. There is one class particularly, estimated by some authorities as constituting as high as thirty per cent. of the feeble-minded which is unusually puzzling. These are the so-called mongolians. The[Pg 249] name is given because the features of such individuals bear more or less resemblance to those of some of the Mongolian races. The defect does not seem to be hereditary although it is usually congenital. It appears to be due to something which interferes with prenatal development. Whatever the conditions, whether lack of nutrition in the mother, alcoholic or other poisoning, the cases seem to be as hopelessly incurable as are the hereditary forms. From the social standpoint, of course, such individuals are in their immediate generation, as incompetent or as dangerous to society as those suffering from the more surely known hereditary forms of mental defect.
Epileptics.—Although epileptics are not classed as imbeciles ordinarily, as a matter of fact no sharp distinction can be drawn between the two classes. Doctor Wilmarth says, “Epilepsy and mental deficiency are as closely related as branches on the same tree.... Over one-half and perhaps two-thirds of all feeble-minded are subject to convulsive seizures at some period of their lives, and we are never surprised at the appearance of epilepsy in any feeble-minded person. On the other hand, so small a percentage of epileptics maintain normal mental actions as hardly to be worth consideration ... even those who retain a normal mind in the early stages of the diseases almost infallibly become imperfect later.” How slight a chance the epileptic has of ever becoming normal may be inferred from a statement made by Doctor Frank Billings in a paper read before the Illinois State Medical Society in 1909 to the effect that “ten per cent. or more can be cured by proper care.”
[Pg 250]According to the estimates of “The Committee of Fifty” in the state of Illinois, who have been agitating for the establishment of a colony for epileptics, there are 10,000 of these unfortunates in that state. The consensus of opinion of experienced workers in various states is that there is about one epileptic to each three hundred fifty to five hundred inhabitants.
In Heredity Conditions of Feeble-Mindedness Are Probably Recessive to Normal Condition.—As to the mode of inheritance of the various forms of feeble-mindedness, the evidence points to such defects in the main as being recessive. However, no particular grade can be picked out and shown to be a pure recessive. For instance, the children of two epileptics will be defective but it is impossible to predict always whether the defect will appear as epilepsy or feeble-mindedness. This is doubtless due to the fact that mental deficiencies even of the inheritable type are not all due to the same specific cause, and in many cases the individual is defective in more than one direction. If one or more of a great number of units which are necessary for complete mental development are lacking, obviously mental deficiency will result. In other words, feeble-mindedness and allied disorders may not be definite characters, but simply evidences of the fact that the nervous system has not developed all factors necessary for normal mental coordination. Goddard, however, one of our best authorities on the heredity of feeble-mindedness, is inclined to regard the condition as a unit character, “due either to the presence of something which acts as an inhibitor, or[Pg 251] due to the absence of some stimulus which sends the normal brain on to further development.”
Supposing nervous defects finding expression in feeble-mindedness, epilepsy and related conditions, to act as a Mendelian recessive, then the marriage of one such defective with another should yield only mentally enfeebled offspring. How nearly this expectation may be realized is seen from the following examples.
In an extensive study[9] of feeble-mindedness, just from the press, Doctor Henry H. Goddard points out that of 482 children with both parents feeble-minded all but six were feeble-minded. Even the exceptions may be apparent rather than real as there is possibility of mistake in judging the condition of the parents or of the children themselves. Moreover, with the feeble-minded one is not always sure of the paternity of a child, as is instanced by Doctor Goddard in a case quoted from Doctor Emerick in which of twelve children in a white family with both father and mother feeble-minded ten were feeble-minded and two were not, but these two were mulatto children.
In a paper by Weeks (The Inheritance of Epilepsy), in part an extension of an earlier joint paper by Davenport and Weeks, is recorded among others a study of twenty-seven fraternities in which both parents were either epileptic or feeble-minded. Of the 28 progeny, 19 lived long enough to reveal their mental state. Of these 3 were feeble-minded, 8 epileptic and 8, from parents who developed epilepsy late in life, were what Doctor Weeks terms “tainted.” In 15[Pg 252] fraternities in which one parent was epileptic and the other feeble-minded he found there had been 81 conceptions. Of these 7 were too young to classify and 19 had died before fourteen years of age. Of the remaining 55, 28 were epileptic, 26 feeble-minded, and 1 insane. Again, in 9 families in which the parents were both feeble-minded, of the 38 surviving offspring who were old enough to classify, 7 were epileptic, 29 feeble-minded, and 2 drunkards. In 5 families where one parent was insane and the other epileptic or feeble-minded, 5 children died before the age of fourteen, the condition of 2 was unknown, 2 were epileptic, 4 feeble-minded, 1 insane, 8 tainted, and 7 seemingly normal. Regarding the latter Doctor Weeks says they came from two families where in one case the father’s insanity seemed to be traumatic and in the other alcoholic.
In a few cases where the defect in one parent has apparently been of a type different from the defect of the other parent a “normal” child was produced. That is, presumably each parent carried normality in the trait defective in the other so that the child became simplex with reference to each defect. Davenport points out that not infrequently two deaf-mutes whose defects are due to different causes may have normal children.
In general, however, the reasonable expectation is that where two feeble-minded individuals marry, a very common occurrence, the children will all show mental deficiency. A mating between a feeble-minded person and one of perfectly normal stock will apparently result in normal children although they will be[Pg 253] carriers. There is some evidence, however, that such carriers may occasionally show “taints” of abnormality in the form of migraine (nervous sick headache), alcoholism, queerness, violent temper, etc. Thus according to the studies of Doctor Weeks, “In 50 matings where at least one parent is migrainous, there were 350 conceptions, of which number enough is known of 212 to classify 55, or 26 per cent., as epileptic; 12, or 6 per cent., as feeble-minded, with the others tainted or normal. In the 131 matings where at least one parent is alcoholic, there were 845 conceptions. Of the 494 classified, 151, or 31 per cent., were epileptic; 54, or 11 per cent., feeble-minded, with the balance tainted or normal.” Marriage between two carriers will cause the defect to reappear in active form in approximately 25 per cent. of the offspring and 50 per cent. will continue to be carriers.
Many Apparently Normal People Really Carriers of Neuropathic Defects.—There is considerable evidence that many apparently normal individuals of our average population are in reality carriers of some form of neuropathic defect, some authorities placing the proportion provisionally at over thirty per cent. This being true, then it is easy to explain the apparently unaccountable appearance of epilepsy, feeble-mindedness, or similar defects among the children of what pass for normal stocks. The probabilities are that in many cases it means simply that the parents of the defective children have been carriers.
As to the contention that in preventing the propagation of the feeble-minded we may be depriving the world of geniuses, Doctor Goddard remarks: “It is[Pg 254] a significant fact that in our three hundred family histories totaling 11,389 individuals not a single genius has been found. Not only are there no geniuses but the fact can not be too strongly emphasized that even the people who are considered normal ... are not as a rule people of average intelligence....” However, between insanity and genius he finds more kindred spirit.
Tests for Mental Deficiency.—As to tests for mental deficiency, the one commonly meted out to victims in the every-day world is the social-economic one of survival in the competitions of life. The mentally deficient fail. Although often unrecognized as feeble-minded they drift through life social and economical derelicts who have to be supported by the community.
Of laboratory tests many have been devised. While all yet leave much to be desired, still through their application the majority of mental defectives can be detected. Fairly accurate standards of normality have been established from which the relative degree of “backwardness” can be determined. We have just awakened to the importance of detecting defectives early in life, hence many of our tests have been planned with reference to children. They are based not so much on training or conscious learning as on fundamental processes which develop at certain ages in children. Another impetus toward securing adequate criteria of mental deficiency has been the crying need of having some easily applied standard for detecting the very large numbers of defective immigrants who are continually seeking to enter the United States.
[Pg 255]Most of the methods consist of “performance” tests which are planned to test the powers of perception, concentration, application, ingenuity and education of the subject. Previous environment, education and the difficulties under which the subject may be laboring at the time of the test must, of course, be taken into account. It is particularly difficult to get adequate tests for the immigrant which will enable one to distinguish between ignorance, stupidity, fear and temporary psychic depression on the one hand, and congenital mental deficiency on the other.
Perhaps the most successful single set of tests for mental deficiency is that known as the Binet-Simon Scale. From an examination of large numbers of French school children Binet constructed a scale of tests of increasing complexity accurately graded to age and previous training of the average normal child. In the Binet-Simon system tests are given for each age from three years to thirteen. When a child successfully passes the tests for his age he is classed as normal. If he succeeds only in tests which normally are those given for a child a year younger then he is backward to the extent of one year. Similarly he may show by these graded tests that he is backward to the extent of two years, three years and so on. If a child is more than three years backward according to the test he is regarded as mentally defective. Various corrections and adjustments of the original scale have been worked out to allow for unevenness in mental development. On the whole the scheme works out satisfactorily when applied by one skilled in its use. The attitude of the examiner, however, is of so great[Pg 256] importance that the tests are of less value in the hand of inexperienced workers. A revision of the scale to adapt it better to American children has recently been made by Doctor Goddard.[10] Besides the Binet-Simon tests various performance tests, standardized for children of different ages, such as Seguin’s form board, Healy’s pictorial completion test, Fernald’s construction puzzle, the Rossolimo test, De Sanctis test, etc., are used by different investigators. Questions designed to reveal moral tone are also employed. Doctor Howard A. Knox, assistant surgeon United States Public Health Service, in a recent article[11] gives an interesting account of the tests applied to determine the exact mentality of immigrants entering the United States together with a brief review of various tests. A full account and discussion of the various tests for the mentally subnormal will be found in a recent publication by Doctor William Healy,[12] director of the Juvenile Psychopathic Institute, Chicago.
The Backward Child in School.—It is only in recent times that we have come to realize the seriousness of the problem which the backward child presents in our schools. It is of the utmost importance to discover early in school life which of the backward children owe their condition to adenoids, defective sight or hearing, poor nutrition, imperfect circulation, or[Pg 257] other remediable defects, and which are the victims of innate mental deficiency. The treatment of the individual must be very different in the two cases. In the one the condition can be cured by proper manipulations or other treatments; in the other it can only be ameliorated. All school children who are two or three years below grade should be rigidly inspected by the medical examiner.
From a study of about two thousand children comprising the first five grades of an entire public school system Goddard found that eighteen per cent. were definitely “backward.” Of these between two and three per cent. were actually feeble-minded, the condition in the remaining fifteen per cent. being presumably capable of correction. Other similar surveys have given practically the same results.
The Exceptionally Able Child Likely to Be Neglected.—However, while we must not forget that it is important to recognize backward children and to see that they are segregated into small groups which are not required to do the full amount of work in regular time, it is equally urgent to see that the unusually bright individual is also given opportunity to advance more rapidly than the rank and file. Only too often the holding back of a child in school leads to lack of interest and habits of mental laziness, and sometimes to truancy and incorrigibility. The general attempt in our graded schools to keep all children close to the average is to be strongly condemned.
Cost of Caring for Our Mentally Disordered.—Doctor Charles L. Dana, member of the National Committee for Mental Hygiene, estimated in 1904 that the[Pg 258] actual cost of caring for feeble-minded and insane in the United States amounted to sixty million dollars, to which should be added the corresponding loss in industrial activity on the part of the afflicted,—at least twenty million dollars more, and he figures that the amount was increasing at the rate of four per cent. per annum. Many investigators concur in the opinion that our insane and feeble-minded alone cost us far above one hundred million dollars. Adding to this economic burden the cost of our delinquents and criminals the total expense becomes stupendous. And when we consider still further the even greater burden of suffering of the unfortunates themselves and the sorrows of those to whom they are dear, a burden not measurable in money, the feeling that something must be done to relieve the situation becomes overpowering.
Importance of Rigid Segregation of Feeble-Minded.—As regards the really feeble-minded little can be done beyond making them as happy as possible and developing the limited gifts they have been given by nature. Their teaching must be in the main concrete and simple. At the age of puberty it is imperative to see that the sexes are separated and kept under sufficient permanent supervision to prevent all possibility of procreation. There is neither economic nor common sense in even allowing the remotest chance of such occurrences as the following: “This is the case of a feeble-minded and epileptic woman who had six children by various persons while an inmate of a county poor house. One child at the age of eighteen died in the almshouse, two died in infancy, one was epileptic (the son of a man with a criminal record)[Pg 259] and two who are now living in the almshouse are feeble-minded, one being the son of a negro.” Again, we find a superintendent of an English almshouse reporting that one hundred and two out of one hundred and five children born there in five years were feeble-minded.
As conditions are to-day every institution for the feeble-minded has a long waiting list and the same is true of most asylums for the insane. Instead of providing the prolonged care necessary for such patients, institutions are forced to discharge many prematurely in order to make room for more urgent cases.
Importance of Early Diagnosis of Insanity.—In insanities, even when of hereditary origin, there is much hope in certain cases of greatly benefiting the individual, though a permanent cure, or at least the establishment of procreative fitness may be impossible. It is extremely important that the public realize how much can be done through early examination and advice in such mental afflictions. Most of the insane who recover usually do so within a few months of their first alienation, hence the importance of losing no time in detecting the condition and securing early treatment. It is now well known that many cases of chronic insanity may be measurably improved under the care of a psychiatrist by systematic re-education, especially in industrial lines. But how little of this may be expected at the hands of the untrained custodians who “feed” the inmates of our county almshouses, to which in many states the chronic insane are entrusted, is obvious.
All Insane Should Be Passed Upon by Competent[Pg 260] Psychiatrists.—The atrocious system of turning the chronic insane over to county poorhouses manned by supervisors whose chief qualification for the position has not infrequently been the lowness of their bid for boarding and caring for the inmates, can not be too strongly condemned. Incredible as it may seem, in some states the court can on its own judgment send patients directly to these institutions without first submitting them to the study of expert physicians in the state hospital for the insane. The viciousness of such procedure is evident when one realizes that often careful scrutiny on the part of the very best experts, extending over a considerable period of time, is required before the true condition of the patient can be determined. Recently a psychiatrist of high standing, who was gathering data on county asylums for a national organization, informed the writer that beyond the shadow of a doubt he had come across case after case in county asylums which would have been curable under proper treatment.
Here again the responsibility in last analysis must rest upon us as citizens, for it is largely through our intelligent demands as voters that conditions will be improved and competent experts be put in charge of county asylums as well as of the state hospitals for the acutely insane.
Some Insanities Not of Hereditary Origin.—Some alienists believe that self-poisoning known as auto-intoxication, due to improper elimination of poisons generated through faulty digestion or metabolism, if of long standing, may be not only a contributory but a more or less direct cause of insanity. About twenty[Pg 261] per cent. of insanities of men living in cities and about fifteen per cent. of those living in the country seem to be directly related to the intemperate use of alcohol. The corresponding figures for women are seven per cent. and one per cent. respectively. General paresis or softening of the brain is probably invariably preceded by syphilis. About twenty-two and five-tenths per cent. of the first admissions to hospitals for the insane from city-dwelling men, and eight per cent. from men living in the country in the state of New York are cases of this kind of insanity. The corresponding figures for women are five and five-tenths per cent. and two and five-tenths per cent. respectively.
Importance of Heredity in Insanity Not Appreciated.—We have already seen that heredity plays an important part in insanities. There can be little doubt that the tendency is to under-estimate rather than over-estimate its importance. Many cases said to be “caused” by mental strain such as those occasioned by domestic infelicities, business reverses and the like should in all probability be fundamentally attributed to something far more deep-seated than the more obvious cause. In many such instances there is little doubt that an inherent weakness in mental make-up exists which predisposes the individual toward mental breakdown. This is more apparent when one recalls that there are thousands of other individuals who undergo equally great or greater calamities without loss of mental balance. There are well-recognized types of mental disposition which later contribute to corresponding forms of insanity. In many[Pg 262] instances the final catastrophe may be averted if the “peculiar” individual can be kept in good health and guided into right habits of thought. Undoubtedly certain infectious diseases, arterio sclerosis, various poisons in the blood, child-birth, and similar influences often enter as important contributory factors. In all cases of cure, however, we must face the fact that under existing conditions these mentally restored individuals are released into society without let or hindrance as regards their marital relations.
CRIME AND DELINQUENCY
The Relative Importance of Heredity and Environment in This Field Uncertain.—The whole question of crime and delinquency is a highly complex one. Here, perhaps, more than in any other phase of race betterment we find the greatest difficulty in separating the effects of hereditary predisposition from the results of unfavorable environment. While there is no longer a reasonable doubt about such nervous disorders as epilepsy, feeble-mindedness and certain forms of insanity being rooted largely in ancestral taints, the degree to which crime or delinquency is based on heredity is far more questionable. Every student of genetics knows that we may have dwarf plants because the constitution of the germ is of a nature to produce only such individuals, or we may have dwarfed plants because of adverse conditions of soil and lack of an opportunity to climb or rise to their full capacity. Bateson pertinently remarks, “The stick will not make the dwarf pea climb, though without it the tall can never rise. Education, sanitation, and the rest are but the giving or withholding of opportunity.” The important sociological question for us to determine is which of these lowly peas of the human family are really dwarfs and which are dwarfed[Pg 264] simply because the stick of opportunity on which to climb is lacking.
Beyond doubt a considerable portion of crime and degeneracy is due in large measure to innate inclination, but with just as little doubt much is the effect mainly of vicious habits acquired through an unwholesome environment. A normal appetite or impulse may be given a pathological trend by bad influences. And one has to reckon, moreover, with degrees of hereditary aptitude to crime. Just what is the measure of normality? To what extent by developing to their highest point certain inhibitive or opposing tendencies, can we counteract certain inherent proclivities for wrong-doing? By what means shall we sift the congenital defectives from the victims of suppressed opportunities? These and kindred questions confront us at the very outset of our studies of crime and delinquency. It is obvious that although we may institute the strictest elimination of the socially unfit, unless we can provide a wholesome environment for the fit, lapses into unfitness are sure to recur.
Feeble-Mindedness Often a Factor.—The conviction is steadily growing among students of human heredity that a considerable amount of crime, gross immorality and degeneracy is due at bottom to feeble-mindedness and that, therefore, if we can once eliminate feeble-mindedness, these vicious accompaniments will at the same time in equal measure disappear. Goddard, for example, one of our authorities on the inheritance of feeble-mindedness, is convinced that a large proportion of the delinquent girls who fill our reformatories are actually feeble-minded. They are often the[Pg 265] higher grade or moron type, and their mental condition remains unsuspected because they have never been thoroughly tested in this respect.
Many Delinquent Girls Mentally Deficient.—According to Havelock Ellis, 2,500 of some 15,000 women who passed through Magdalen homes in England were definitely feeble-minded and were known to have added a thousand illegitimate children to the population.
The preliminary reports of the so-called white slave investigations now in progress in New York City classes 25 per cent. of these unfortunate women as mentally incapable of taking care of themselves. Other investigations indicate that from 40 to 60 per cent. of this class of women are defectives. For example, from the report of the Massachusetts “Commission for the Investigation of the White Slave Traffic, So-Called,” one reads: “Of 300 prostitutes, 154, or 51 per cent., were feeble-minded. All doubtful cases were recorded as normal. The mental defect of these 154 women was so pronounced and evident as to warrant the legal commitment of each one as a feeble-minded person or as a defective delinquent.... The 135 women designated as normal, as a class were of distinctly inferior intelligence. More time for study of these women, more complete histories of their life in the community, and opportunity for more elaborate psychological tests might verify the belief of the examiners that many of them were also feeble-minded or insane.”
The data from some of our public reformatories, industrial schools and state homes for delinquent girls,[Pg 266] are very instructive in this respect. Reports from a number of such institutions show that many of their inmates are mentally subnormal. The proportions range from thirty-three per cent. in the New Jersey Reformatory at Rahway to eighty-nine per cent. in the institution at Geneva, Illinois.
Institutional Figures Misleading.—However, significant as are these figures from institutions for delinquents, one should not be misled by them. They are undoubtedly not representative of offenders in general, but of a selected group of the most hopeless cases. In the first place the more capable individuals escape the dragnet which lands the defective delinquents in an institution, and furthermore, because of liberal systems of probation, only the more incorrigible or the very stupid make up the bulk of the population of such places. Miss Augusta F. Bronner, assistant director of the Psychopathic Institute of the Juvenile Court of Chicago, from a careful study of five hundred and five cases of delinquent boys and girls in the Detention Home, chosen with as little selection as possible, finds the proportion of mentally subnormal among them to be less than ten per cent.
Many Prisoners Mentally Subnormal.—Doctor Walter S. Fernald, of the Massachusetts School for Feeble-minded, estimates that “at least 25 per cent. of the inmates of our penal institutions are mentally defective.” Among the various available estimates at hand this seems to be a fairly conservative approximation. Hastings H. Hart points out that this calculation of 25 per cent. means that there are 20,000 adult defective delinquents in prison, and 6,000 youths in[Pg 267] juvenile reformatories, or a total of 26,000 in custody in the United States.
The Inhibitions Necessary to Social Welfare Not Well Established in All.—But let us look at this matter of delinquency a little more in detail. In common with other living creatures mankind has two strongly predominating instincts without which there can be no prolonged individual or racial existence, namely, the self-preservative and the reproductive. Says Schiller: “While philosophers are disputing about the government of the world, Hunger and Love are performing the task.” Under self-preservative would be included everything pertaining to food, property and self-protection. In addition, however, man, together with certain other social animals, has developed a third set of activities or instincts—an impulsion toward the preservation of the community to which he belongs—and so far has this evolved in his case that it outranks in importance the other two. For the highest accomplishments and ideals of the race are in last analysis expressions of this social instinct. But with this system of mutual help comes the necessity of certain restraints, because for society to exist its members must impose upon themselves, or have imposed upon them, certain inhibitions of their self-preservative and reproductive instincts.
Being a late acquisition of the race and less firmly ingrained, the social instinct is not well established in all individuals. Some have it sufficiently strong to exercise of their own accord the necessary inhibitions of other instincts. Experience has shown that others, either through a lack or through a wrong cultivation[Pg 268] of it, can not or will not do so unaided. For the latter, society has instituted certain conventions and the criminal law whereby through a system of restraints and punishments such an individual is held in check either by actual physical restraint of his property or person or through the powerfully inhibitive factors of shame or fear. Man as a normal member of society must constantly take heed of the physical, intellectual or moral danger the exercise of a given feeling, action or procedure on his part will bring to humanity, and govern himself accordingly.
But it is in just these very inhibitions that mental defectives are lacking. They are almost invariably anti-social types because they are unable to establish the personal abstentions which are necessary for the good of the community. While in the individual of innate normal mentality anti-social traits may have developed because of improper training or surroundings, in mentally defective types some factor or factors necessary to normality have been left out of their make-up and as a result they are often wholly lacking in social instincts or have these so feebly developed that education and exhortations toward social ideals are fruitless. We can not appeal successfully if there is nothing to appeal to; we can not develop something out of nothing.
The High-Grade Moron a Difficult Problem.—One great difficulty in identifying the high-grade morons who are a bountiful source of our criminals is our almost universal failure to recognize that a memory test alone is not sufficient to determine the mental responsibility of an individual. Not only memory, but[Pg 269] judgment, will-power and perhaps, also, to a lesser degree, the powers of attention and concentration are all indispensable elements in the make-up of a normal individual. There are cases on record of imbeciles with prodigious memories, yet hopelessly incapable of caring for themselves or of respecting the rights of others. In fact certain types of morons, usually cunning, often prepossessing and superficially clever, are characterized by good memories and will moralize volubly, although their wills are too weak to inhibit impulses when they face temptation. It is obvious that just in proportion as the intelligence of the high-grade degenerate approaches normality and yet remains abnormal, the more dangerous he may become to society.
Degenerate Strains.—A number of family records are now available which show convincing evidence of the hereditary nature of a degeneracy which finds expression in pauperism, immorality and crime.
As has already been pointed out, there is reason to believe that much of this is based in some degree on feeble-mindedness. One of the most remarkable of these is the recent study on degeneracy by Goddard as set forth in his book called The Kallikak Family. The record is that of six generations of descendants from an original progenitor to whom the fictitious name of Kallikak has been assigned. This individual, descended from good stock, before his marriage met a feeble-minded girl by whom he became the father of a feeble-minded son. Later he married a normal woman by whom he had normal children. Thus from one normal father have sprung two lines of progeny, one vitiated with feeble-mindedness, the other normal.[Pg 270] The comparison may be readily made by drawing up in parallel columns the data as follows:
| Line A | Line B | |
| In five generations 480 direct descendants from a normal father father and a feeble-minded mother have been accounted for as follows: |
In five generations 496 descendants from the same normal father as in Line A and a normal mother have the following record: | |
| 143 known to be feeble-minded. | All but one of normal mentality. | |
| 291 mental status unknown or doubtful. |
Two men known to be alcoholic. | |
| 36 illegitimate. | One case of religious mania. | |
| 33 sexually immoral, mostly prostitutes. 24 confirmed alcoholics. |
Among the rest have been found nothing but good representative citizenship, numbering doctors, lawyers, educators, judges, traders, etc. | |
| 3 epileptics. | No epileptics or criminals. | |
| 82 died in infancy. | Only fifteen children died in infancy. | |
| 3 criminals. | ||
| 8 keepers of disreputable houses. | ||
| 46 only ones known to ben ormal. |
Certainly there is abundant food for thought in these two records.
If we take still other families of criminal or degenerate antecedents the same multiplication of viciousness, as a rule, is in evidence. Thus, Margaret, the Mother of Criminals, has left a progeny of some 700 paupers, prostitutes and criminals, some of the women bearing as many as twenty children. The famous Jukes family, so often cited, with its 310 professional paupers, 300 deaths in infancy, 440 physical wrecks from debauchery, 50 prostitutes, 60 habitual thieves, 7 murderers, and 130 other convicts out of a total 1,200 descendants who have been identified, has alone cost the[Pg 271] state of New York $1,250,000 in the care of its criminal, defective and immoral progeny.
Another family record, the Zeros, reported by Poellman, of Bonn, starts with a female confirmed drunkard. In six generations of her descendants, totaling 800 people, Poellman found 102 professional beggars, 107 illegitimates, 181 prostitutes, 54 in almshouse, 76 convicted of serious crime, 7 of murder, and costing some $1,206,000. Or we might cite the so-called Tribe of Ishmael, the progeny of a neurotic man and a half-breed woman. They have spread their ill-favored spawn over various of the central states in a veritable flood of imbecility and petty crime. And to these families may be added the records of The Hill Folk, The Pineys, or others of the several recent studies of degenerate strains. All bear the same message of rapidly multiplying degeneracy.
Intensification of Defects by Inbreeding.—Most of these regional surveys that are now in progress show that there is particular danger in a population becoming broken up into small communities and isolated. Under such conditions there is a pronounced tendency to intermarry, and if deterioration is already present in the stock such communities become centers of marked degeneracy. The situation is well exemplified in the following excerpt from Davenport:
“I have been going over the records of one family in New York, the so-called Nam family. There were 55 per cent. consanguineous matings, marriage between cousins, in one generation, and, owing to the fact that the strain was already loaded with defects, we can see how these defects were concentrated by these cousin [Pg 272]marriages, so that about 90 per cent. of the strain is feeble-minded. There were fully 90 per cent. of the men who are unable to resist the lure of liquor. One-fourth of the children are born illegitimates. Infanticides, incest, murder, harlotry, are all over the chart. This is a highly inbred community, keeping a nearly pure strain of social defects, and the cost to the community has been a million and a half on a fair way of figuring, not directly in the care, but indirectly in the damage they have done. These constitute a rural community. Out of this community we can trace those who have gone to the cities and become murderers, prostitutes and thieves. They are not confined to one state; they spread out over the country. One branch of the family came to the state of Minnesota. We sent to one of Doctor Rogers’ trained field workers to learn whether she had ever heard of this family, and received a reply that the family was well known to social workers in the state of Minnesota. These strains of degenerates are not local matters at all; they are matters of national interest.”
Concerning crime and delinquency, we find that all evidence tends to show that an alarming increase is in progress although satisfactory data are hard to obtain. It is certain that there is a tremendously disproportionate increase in the number of prisoners in recent years compared with general population, for while the total population has increased three and one-half fold, the prison element has increased fifteen fold. According to Wier, in this country there are four and one-half times as many murders for every million of our population to-day as there were twenty years ago.
It may be urged that this increase in prison population is not a disproportionate increase in the number of defectives or criminals, but only an increase in the[Pg 273] number sent to prison, and this is probably a partial truth—but when we recall such pedigree as those of the Nams, the defective line of Kallikaks and other known unsound strains, he must be hopeful indeed who can find much consolation in this supposition. In any event, no such uncertainty exists regarding the number of murders and homicides, since these have in all probability been as fully recorded in the past as at present.
Vicious Surroundings Not a Sufficient Explanation in Degenerate Stocks.—It is sometimes urged that we are not dealing in such cases with degenerate strains, but merely with unfortunate individuals who have been subjected to pernicious surroundings from the beginning. And it can not be denied that parents who are mentally defective, dissipated or syphilitic afford most noxious developmental and environmental conditions for their children. But when one notes how intimately the moral degeneracy in such stocks is bound up with some degree of feeble-mindedness, he is strongly skeptical toward the sufficiency of such an interpretation, although environment undoubtedly intensifies the results. Concerning this point Davenport says:
“We have certain methods of testing whether it is bad environment or bad breeding which produced these people. Some of the children have been taken at an early age and ‘placed out’. We have traced their subsequent history. In most cases they have turned out quite as bad as those who have remained at home. In a few cases they have turned out well, but it is also true that some of the children who remained at home in bad environment have turned out well.”
[Pg 274]And to Davenport’s testimony may we add that of Doctor Wilmarth, who, speaking of children at the home for feeble-minded, says:
“In no place is this subject of the power of heredity in relation to environment so easily studied as among our children. A group of many little children came to us from the state school, being untrainable there. They have had with us the same teaching and the same companionship. Each one has lived, eaten and slept among the others, and, so far as we know, with but one exception, those of vicious parentage have turned instinctively to vicious traits by preference, while those of simple but honest stock do evil things only under strong temptation, and do not persist in them after the wrong is pointed out.”
By No Means All Delinquents Are Defectives.—One must not overlook the fact, however, that delinquent and defective are by no means synonymous terms, and that many delinquents are with little doubt the product of adverse social circumstances.
The recent careful work of Doctor William Healy[13] in connection with the juvenile delinquents of Chicago shows convincingly that the underlying causations of delinquency are many. Such factors as immorality or constant quarreling of parents, bad companions, lack of parental control, defective sense organs, debilitating habits, lack of healthy mental interests and a host of other environmental factors are not infrequently sufficient in themselves to develop delinquency in the absence of inherited deficiency. The present-day efforts[Pg 275] of the student of heredity should not be misunderstood. They are not attempts to make all delinquents out defectives, but rather to determine what percentage of delinquents may be legitimately reckoned as defective and to make the facts known. Since there is no longer any reasonable doubt that, to express it in the mildest terms, an amount of delinquency far from negligible is due in great measure to congenital omissions or propensities, then the sooner the public learns this the better, for we may then set about supplementing our present efforts at race betterment through external improvement by devising means of cleansing the fountain source as well.
It can scarcely be doubted that the average man differs little if any in inherent personality and capacity from many a criminal who is such by occasion rather than by undue predisposition. Who can truthfully answer how many individuals there are who are not potentially criminals to some extent, given sufficient evocative conditions of ignorance, vice, adverse economic pressure and undue temptation?
“Virtue itself turns vice, being misapplied.”
No Special Inheritable Crime-Factor.—The main difficulty in trying to find a hereditary basis for crime lies in the multiplicity of things crime may be. The individual impulsions which lead to certain offenses may be utterly different from those which conduce to others. Undoubtedly many inborn tendencies which are perfectly normal or neutral in themselves may be warped by circumstances into the commission of what[Pg 276] are classified as crimes. The moral man may have the same desire for a thing that the criminal does, but when he finds that this desire can only be gratified by injury to others, he inhibits it because of his repugnance to such injury. The criminal makes no such inhibition.
In general, crime means an offense of some kind against person, property or state. But a biological analysis of it, could it be made, would require among other things knowledge of crime in terms of motive or lack of motive, whether the act was intended to benefit the perpetrator, some other person, or even the race or state; whether the offense was one of dishonesty, of cupidity, of lust, or of violence against another.
As a matter of fact no satisfactory classification of crime can be made since so many factors enter and in such varying degrees. Most classifications made in our legal codes are a hodge-podge based on a mixture of motive on the part of the participant, degree of turpitude involved, nature and extent of the injury inflicted, and the object against which the offense was perpetrated, whether an individual, society or the state. Moreover, it must not be forgotten that in many instances what was crime in the past is no longer so, and vice versa many things which are regarded as criminal to-day were not considered so in the past. So the futility of seeking a specific inherent propensity for “crime” is manifest. How, for instance, in terms of hereditary determiners shall we draw the fine lines of distinction among those who bribe legislators and legal officials, those who are avaricious and dishonest[Pg 277] in the world of trade, and those who are wilfully obtuse in providing proper safeguards for employees?
What Is Meant by a Born Criminal?—All we can do is to fall back on the assurance that any act directly or indirectly injurious to society is an offense, and that those offenders who are congenitally unable to distinguish between what is generally accepted as right and wrong, or who if recognizing this are nevertheless uncontrollably impelled toward or are unable to refrain from anti-social acts because of some inherent condition of intellectual or volitional make-up, may be legitimately classed as individuals born with an aptitude for crime and social transgressions. In such individuals the natural mental make-up is lacking in some of its necessary elements so that memory, judgment, or will-power are not up to the minimum that is necessary for the establishment of proper conduct. In some cases, apparently, this lack finds expression in almost any kind of vice or crime into which circumstances happen to lead the individual. In others, however, there seem to be tendencies toward the commission of certain types of crime or vice. Certain family strains are characterized by petty thieving, others by deeds of violence, and still others by sexual offenses. Certain types of mental defect are closely associated with certain crimes. Thus sufferers from incipient paresis seem particularly prone to commit assaults and larceny; epileptics, crimes of brutality and violence.
The Epileptic Criminal Especially Dangerous.—One of the characteristics of epilepsy, indeed, emphasized by various psychiatrists, is that frequently it[Pg 278] leads to loss of those forms of self-restraint which are absolutely indispensable to morality and the safety of society. Cruelty, atrocious sexual offenses and other vicious crimes are the result. It is a noteworthy fact, moreover, that often in the milder forms of affliction, where instead of well-marked convulsions only momentary lapses of consciousness occur, the greatest amount of mental and moral deterioration and fluctuation is sometimes found.
The situation as regards the epileptic is well presented by Doctor William Healy, Director of the Juvenile Psycopathic Institute of Chicago, in an article entitled “Epilepsy and Crime; the Cost”, in the Illinois Medical Journal, November, 1912. He says:
“In the work of our institute,[14] which represents the most thoroughgoing research into the genetics of criminalism ever undertaken in this country, we have with the help of parents and others carefully studied nearly 1,000 young repeated offenders. We have found that no less than 7½ per cent. of these are ordinary epileptics, and we have reason to suspect others. This by no means represents the total number of epileptics seen in connection with juvenile court work, where, of course, first offenders as well as large numbers of dependents are seen. In addition to my above enumeration, other cases seen by the Detention Home physicians and myself amount up to many scores of cases. If one remembers that it is ordinarily calculated that one person in every 500 is epileptic, the significance of this high criminal percentage is clear, and the practical bearing of it is still further accentuated by the fact that some of the worst repeaters are epileptics, and that many of the gravest crimes are committed by [Pg 279]those unfortunates. The connection between epilepsy and crime has everywhere been recognized by students of the subject, but it apparently needs constant emphasis in order that common sense steps may be taken toward guardianship of these who suffer from a disease which wreaks such extravagant vengeance on society.”
Mental Disorders Most Frequently Associated With Crime.—Doctor Charles Mercier, an English authority on crime and insanity, in enumerating the mental disorders most frequently associated with crime, places the insanity of drunkenness first. Any one who will take the trouble to verify the facts in his own community will find that a large percentage, frequently considerably over half, of the arrests made by the police are for acts committed while the offender was more or less under the influence of alcohol. Next to drunkenness among mental disorders which lead to crime Doctor Mercier places feeble-mindedness. Next to feeble-mindedness comes epilepsy; then paranoia or systematized delusion; next paresis; and lastly melancholia.
Paranoics are peculiar in that they are particularly apt to attack persons of prominence. Highly egotistical, they almost invariably believe themselves or some one or some cause dear to them, the subject of a plot, perhaps to rob them, to torture them, to steal their inventions or literary productions, or to persecute them in some way. Two if not three of our murdered presidents owe their assassinations to paranoics. Many rulers have been attacked and some killed by such insane individuals. Most of the “cranks” who write threatening letters are lunatics of this type.
[Pg 280]Of the kinds of mental unsoundness known to be inheritable which are of special significance from the standpoint of crime and delinquency undoubtedly feeble-mindedness ranks first. We have already seen that as our methods for detecting the higher grades of feeble-mindedness become more accurate we disclose in border-line cases a veritable hot-bed of mental incapacity suitable for the engendering of the criminal and the vicious. Here in addition to some of the more pronounced criminal types belong hosts of our chronic petty offenders, our sexually vicious and our “won’t-works”. One interesting outcome of a recent investigation into the army of unemployed in England was the discovery of the general unfitness of these unemployed. In our own country the habitually unemployed are so not because of lack of work, but largely because it is unprofitable to employ them.
The Bearing of Immigration on Crime and Delinquency.—Perhaps in no field more than this of crime and delinquency, especially in so far as it is based on innate deficiency, does the gravity of the immigration question impress itself on us. How stupendous this problem[15] has become may be realized from the fact that according to the census of 1910, 13,345,545, or one out of seven of the inhabitants of the United States, were foreign born. And if we add to these the 18,897,837 of whom one or both parents were of foreign birth, we reach the astonishing total of over 32,000,000, or more than one-third of[Pg 281] our total population, who are foreign born, or who have one or both parents of foreign birth.
During the decade from 1900 to 1910, 8,500,000 foreigners came to the United States, of whom 5,250,000 remained to make a permanent home. This shows how rapidly our whole population might be radically changed. In recent years the source of our immigrants has shifted proportionately from northwestern Europe to southern and eastern Europe (Italy, Austria-Hungary and Russia), and whether for weal or woe this new blood must inevitably leave its impress upon us. Does it not behoove us then to seek with anxious eyes some knowledge of these invading hordes with whom we are to mingle our life-blood?
Even the most superficial examination may well cause us grave concern. We find that in one year (1908) at Ellis Island alone, 3,741 paupers, 2,900 persons with contagious disease, 184 insane, 121 feeble-minded, 136 criminals, 124 prostitutes and 65 idiots were denied entrance, and yet, according to the estimate of Doctor F. K. Sprague, of the United States Public Health Service, probably only about 5 per cent of the mentally deficient and 25 per cent. of those who will become insane have been detected. When confronted by such data we can begin to realize what we are facing. Others estimate that from 6 to 7 per cent. of the immigrants who are now arriving are feeble-minded. We learn further that recently while the foreign-born population of New York state was about 30 per cent., the foreign-born population of the insane hospitals of the state was over 43 per cent., and at[Pg 282] one time approximately 65 per cent. for New York City. In one year (1908) 84 per cent. of the patients in Bellevue Hospital, New York City, were of foreign parentage. Paresis, which probably always has syphilis as its antecedent, is proportionately twice as prevalent among foreigners as among natives in New York City.
But from the standpoint of inheritance, however great the danger may be from classifiable defectives, it is probably far greater from that much larger class of aliens we are now receiving with open arms who are below the mental and physical average of their own countries. Moreover, with our present system of inspection there is no way of detecting the grades of feeble-mindedness above idiocy and imbecility in the great numbers of foreign children under five when brought in, who are beginning to show up in alarming numbers in the schools of some of our larger cities. About thirty per cent. of the annual increment of our population is due to immigration and not to births; and once in our country the alien far outbreeds the native stock, with relatively little increase in death-rate, thus making a double contribution to the increase of population. When we take all these facts into consideration it certainly is high time that we arouse from our self-complacent attitude and consider the whole question of immigration most earnestly.
In spite of the fact that many individuals are caught in the net of inspection at our portals, it is clear that still more rigid rejection[16] is imperative. The inspectors[Pg 283] at our various ports are doing the best they can under the circumstances, but there are at present too few of them and they are too restricted in their powers to meet the situation satisfactorily. Moreover, when at one of our ports in one year (1910), of 1,483 immigrants certified by the inspecting surgeons as unfit to land because of serious mental or physical defects, 1,370 were landed anyway, it is evident that there is a strong and reprehensible pull somewhere to evade the obvious intent of the law.
It remains for us as a people to decide whether we shall continue to let the large employers of cheap labor, the railroad and steamship agents and brokers, who care nothing about the innate fitness of the immigrants they bring, determine the character of our future population, or whether we shall insist on a proper regulation of this flood so that we may receive only an honest, intelligent, industrious and healthy stock. To continue to absorb these aliens with as little selection as we now do is nothing short of criminal carelessness. Let us not be deceived by the promptings of a misguided sentiment, “The voice is Jacob’s voice, but the hands are the hands of Esau.” The voice is Jacob’s voice, nor should this voice of the easily persuaded, the sentimentalist, the interested organization to which the relatives of the defective alien belong, or any other pressure move us from our obvious duty of refusing to fasten upon this country an incubus of degeneracy for which we as a nation are in no way responsible.
To render us safe we should not only have more carefully drawn laws and more rigid selection at our[Pg 284] ports of entry, but we should if possible also know the stock from which our future citizens come. This is peculiarly desirable for such defects as feeble-mindedness and various other mental imperfections, some of which require prolonged observation for detection. Davenport estimates that it is wholly within the realm of possibility and good business sense to maintain a corps of trained inspectors abroad in the chief centers from which our immigrants come who shall certify the desirable applicants. He makes the point that the national expense would be far less than the cost of maintaining the army of defectives we are now admitting to our own country, many of whom almost immediately become public charges, to say nothing of the hordes of carriers who though normal themselves, will transmit undesirable traits.
Sexual Vice.—As to sexual vice, the skein is indeed a tangled one. Since nine-tenths of the difficulty centers in a lack of self-restraint, and inasmuch as the mating instinct is one of the strongest that tugs at the flesh of humanity, it is obvious that those by nature deficient in volitional control will almost without exception give way to the call. So as might be expected the hordes of our feeble-minded and epileptic are always a source of grave danger in this respect. However, the mentally enfeebled are by no means the only offenders; indeed, they are probably not the majority. The true situation is finally dawning on society and the reformer’s call for instruction in “sex-hygiene” resounds through the land. The whole matter is one of the most perplexing and momentous that confronts us to-day.
[Pg 285]The Question of School Instruction in Sex-Hygiene.—While the writer does not for an instant underestimate the gravity of the situation, and has only contempt for the nonsense that is palmed off on children about their origin, or the indelicate self-consciousness which puts under the ban the discussion of so serious a problem by adults, still he is not convinced that the universal teaching of the subject to children in schools by the average teacher, as advocated by some, is to be the solution of the matter or is even a wise attempt at solution. Yet he freely admits that he is possibly overfearful of the effects of the undesirable features of such instruction. True it is that all children do learn, frequently at an astonishingly early age, about sex, and their knowledge is usually of an undesirable kind from unreliable and often vicious sources, and it is equally true that parents, either through ignorance or prudery, generally can not be depended on to give the child necessary instruction. But before entering on a wide-spread campaign of undiluted sex-instruction in schools might it not be more prudent to make an attempt toward reaching fathers and mothers and convincing them of the necessity of dealing more frankly and intelligently with their children regarding sex?
Even to the novice in psychology the powerful nature of suggestion is known, and with this knowledge before us, is it not wiser to strive in the main to keep the child’s mind off of sex rather than specifically to focus it on it by special convocations and discourse? If our psychology means anything, then the worst possible thing we can do for a child is to make him unduly[Pg 286] sex-conscious. Something might be done profitably perhaps in schools in an unobtrusive way by specially gifted persons, but the self-conscious way in which most teachers go about topics of sex is certainly not reassuring to the thoughtful observer as regards the benefit derived from such instruction. The one evident method of accomplishing wholesome sex-instruction in schools, devoid of all possibility of undesirable suggestion and sex-consciousness, is in the form of biological work where plants and animals are studied in all their relations, the subject of propagation being taken up in as matter-of-fact a way as the functioning of any other organ system of plants or animals. In such a course, long before the subject of sex in higher animals need be approached the pupil will have developed an attitude of mind which will lead him to see nothing unusual or suggestive in the function of sex no matter where it may be found. Incidentally, inasmuch as the manner in which germs affect living organisms should be studied in such a course anyway, it would be a simple matter to give all necessary information about the dangers of infection from venereal diseases.
Mere Knowledge Not the Crux of the Sex Problem.—However, desirable as correct knowledge about sex is, knowledge alone is not the crux of the sex problem. The moral dangers and abuses that we are trying to circumvent lie rather in the realm of the emotions than that of the intellect. The problem must be solved from a broader foundation than mere information. The all-important consideration is the early establishment of general habits of self-control[Pg 287] so that these may become incorporated in the nervous organization of the child and become inhibitory anchors against passions and temptation. Children must be taught to suppress the present impulse, to sacrifice the immediate pleasure for the more distant or permanent good. They must be practised in calling up feelings that will counteract other promptings which if followed blindly are inimical to social welfare. Their control must come from within not as a matter of external compulsion. That way character lies.
So in viewing the problem of sexual hygiene the writer feels that our attempts toward damming the torrents in the adolescent by a belated effort at verbal instruction on sex-hygiene is at best only a palliative or an attempt to cure the symptoms of a more deeply-seated, organic, social malady. The treatment should have been in progress long before in the form of training in self-control, and in the inculcation of the sense of dignity and self-respect which springs from the individual’s consciousness of being, not a slave to his desires, but his own master. This, together with the judicious schooling of boys in a greater chivalry and respect for womanhood, and of girls in the necessity of meriting such esteem, will, in my estimation, carry us further than formal courses in sex-hygiene.
Early Training in Self-Restraint an Important Preventive of Crime and Delinquency.—As to crime and delinquency in general, it is evident that the same early training in self-restraint is a most important factor of prevention. A wise warden in charge of a large prison says, “Most of these men are here because they have not learned sufficiently the lesson of[Pg 288] self-control.” This is the age of preventive medicine, why not also of preventive crime and delinquency? Instead of confining our practise to punishing offenders, necessary as this may be under the present conditions, why not strive more to prevent the commission of offenses? As far as normal individuals are concerned much can be done by early cultivation in self-discipline and through the establishment of moral backbone by training in the overcoming of difficulties. Much, very much, also remains to be done in the correction of wrong social conditions.
Unpardonable to Permit Delinquent Defectives to Multiply Their Kind.—As for our mental defectives and moral imbeciles, knowing now how strongly hereditary the underlying factors of these conditions are, and with no preventive or curative agents in sight, to let them produce progeny, is clearly unpardonable.
RACE BETTERMENT THROUGH HEREDITY
Most of us have heard in one form or another the fairy story of the youth on adventure bent, who was captured by the giant and under dire penalty in case of failure was set the task of sweeping out the giant’s stable before sundown. The peculiarity of this stable, it will be recalled, was that, as fast as the refuse was swept out at the door an even greater quantity poured in through the windows so that the sweeper, just in proportion to his zeal, became more and more encumbered with his burden.
A Questionable Form of Charity.—Though we smile at the childishness of this legend, are we not as a civilized people attempting through our charities a feat parallel to that of this unfortunate youth? We foster and favor our social wastage with the inevitable result that it runs riot under our sheltering hand and deluges us with an ever accumulating flood of its like. For are we not constantly building more asylums, sanitaria and prisons, to preserve more unfit, to produce more defectives, to require still greater numbers of asylums, sanitaria and prisons, to preserve more unfit, and so on in unending progression?
At nearly every period of history there have been[Pg 290] certain individuals who have seen the necessity of a state eliminating its supply of defectives.
Past Protests.—For instance, we find the importance of this strongly urged by Plato. After pointing out the fact that the shepherd, in order to maintain the standard of his flocks, bred only from the best individuals, as did likewise the huntsman with his dogs and horses, and the fancier with his various pets, Plato went on to show the danger to the state of allowing the constantly increasing body of defectives and degenerates to multiply their kind. Repeated expression of the same idea has occurred from time to time during the succeeding centuries.
Little heed was paid to these remonstrances, however, with the result that is known to us all. To-day, “the glory that was Greece and the grandeur that was Rome” is still sung by the poet, but the original nations themselves have long since passed into the night.
An Increasing Flood of Defectives.—Strive to ignore the unpleasant facts as we may, we have to admit that the same problem of what the human harvest shall be is with us in grave form to-day. The alarming phase of the situation, however, lies in the fact that we are facing an ever increasing flood of social wastage.
But why this increase of defectives? It can not be attributed to oppression, to grinding poverty, or to decline in attention to our sick and needy, for never was prosperity greater, never were charities more flourishing, never such activity in the search for palliatives and cures. The simple fact is that we are breeding our defectives. The human harvest like the grain[Pg 291] harvest is based fundamentally on heritage. And to get a better crop of human beings, we must, as with other crops, weed out bad strains.
To whatever source of information we turn the facts are essentially the same. Abroad we find that in England, for example, the ratio of defectives to normals more than doubled between 1764 and 1896. At home, from the investigation of Davenport and Weeks we learn that in the state of New Jersey the number of epileptics doubles every thirty years. And other investigators estimate that the fecundity of mental defectives in general is about twice as great as that of the average of our population. In a recent report of the New York State Board of Charities we read, “There are about thirty thousand feeble-minded persons in the state of New York, of whom four thousand are intermittently sequestered while twenty-six thousand who are a menace to society are at liberty and may produce the unfit.” And a passage from the last Massachusetts report reads as follows: “We have been obliged to refuse a very large number of applicants for the admission of feeble-minded women—many of whom have given birth to one or more children. The prolific progeny of these women almost without exception are public charges from the date of their birth.”
How fertile defective types may be is shown by a passage in one of Doctor Wilmarth’s papers which runs as follows: “One feeble-minded woman, now removed from this state, had by different men eighteen children in nineteen years, she alleges.” In a letter Doctor Wilmarth tells me that the birth of the twenty-third[Pg 292] child of this woman has just been announced! In one English workhouse Potts reports sixteen feeble-minded women who have produced one hundred sixteen mentally defective children, and Branthwaite ninety-two female habitual drunkards who have had eight hundred fifty babies. If we include the two million individuals cared for annually in various institutional homes, hospitals and dispensaries as dependents, the estimated total of insane, feeble-minded, epileptic, deaf and dumb, criminals, juvenile delinquents, paupers and other dependents in the United States in 1910 was approximately three million, or one in every thirty of our population! With the higher fertility of certain of these classes and with only a small percentage under custodial care where will it all end? Is it not time for us to waken from our lethargy and stem this tide of national deterioration?
Natural Elimination of Defectives Done Away With.—With our improved methods of sanitation and care of the sick, the pauper and the defective, these classes have been freed from the stress of an environment that under natural conditions would have resulted in their premature death and consequent infertility. Or in the terminology of the biologist, we have done away with the factor of natural selection, the factor which in state of nature keeps all races purged of the unfit, the ill-adapted. With this restraining, and purifying influence removed, however, the weakling, the defective, may arrive at maturity and commingle his blood with that of the strong, with the inevitable result that the general vigor of the progeny from generation to generation is sapped and[Pg 293] progressively undermined. Thus we are confronted by the stubborn fact that through present humanitarian methods we are driving the race toward decadence.
Why Not Prevent Our Social Maladies?—Now there is no reasonable person, I think, who will not admit that the motives underlying our modern altruistic practises are the noblest fruitage of our slow upward struggle from the brute to man. As humane beings, we can not cast aside these principles and return to the painful and pitiless method of nature which would leave the sick and the defective alone to perish miserably; the sacrifice would be too great.
Is there then no escape from this dilemma? To this query the modern student of heredity answers yes; let us but add more wisdom to our charity and the enigma is solved. We need no sacrifice of pity but rather an expansion of it. Let us but extend our vision from immediate suffering to the prospective suffering of the countless unborn descendants of our present unfit and ask ourselves the question, why should they be born? Why not prevent our social maladies instead of waiting to cure them? This is the province of eugenics.
Eugenics Defined.—The term Eugenics was coined in 1883 by Francis Galton in his book entitled Inquiries Into Human Faculties, and we may therefore look to him for a satisfactory definition. He says, “Eugenics is the study of the agencies under social control, that may improve or impair the racial qualities of future generations, either physically or mentally.” And again, “I take Eugenics very [Pg 294]seriously, feeling that its principles ought to become one of the dominant motives in a civilized nation, much as if they were one of its religious tenets.... Man is gifted with pity and other kindly feelings, but he also has the power of preventing many kinds of suffering. I conceive it to fall well within his province to replace natural selection by other processes that are more merciful and not less effective. This is precisely the aim of Eugenics. Its first object is to check the birth-rate of the unfit instead of allowing them to come into being, though doomed in large numbers to perish prematurely. The second object is the improvement of the race by furthering the productivity of the fit, by early marriages and the healthful rearing of their children.”
Improved Environment Alone Will Not Cure Racial Degeneracy.—While many an enthusiastic humanitarian is laboring under the assumption that if we can improve external conditions human deficiencies will disappear, the student of heredity realizes that this is in large part a delusion unless we can secure an accompanying improvement in intrinsic qualities of the human species itself through the suitable mating of individuals. Just as the intelligent farmer to-day demands selected seed as well as good soil and proper cultivation, so one with the facts of heredity at hand would, as he views social problems, urge the fundamental importance of having selected stock with which to start. No shifts or shapings of environment will ever enable men to “gather grapes of thorns or figs of thistles.”
[Pg 295]Heredity and Environment.—To wrangle over the question of which is the more important, heredity or environment, is about as idle a proceeding as to argue which is the more important, the stomach or something to put in the stomach. Man would soon come to grief without either. So, too, the question of human development is not one of heredity alone nor of environment alone; both are necessary and must work hand in hand. Dormant capacities must have proper environment to call them forth, but on the other hand no kind of environment can evoke responses if some degree of aptitude is not present.
Professor Thorndike undertook experiments with groups of school children of high and of low initial ability respectively to determine whether equal opportunity or equal special training would produce an equalizing effect in easily alterable traits such as rapidity in addition and the like. Without exception he found that at the end of such experiments, although both groups had improved, the superior individuals were farther ahead than ever, that equality of opportunity and training had widened rather than narrowed the gap between the two classes. Others who have made special studies on the causes of individual differences have come to the same conclusion; namely, that individuals differ widely by original nature and that similarity in conditions of nurture and training will not avail in deleting these differences.
Galton and others, from extensive studies based on English sources, have shown that notable achievements have run in certain families to a degree that is [Pg 296]inexplicable on the basis of opportunity alone; it can be fully accounted for only by attributing much to superior inborn capacity. Doctor Woods has shown much the same thing for certain families in America. Schuster and Elderton have proved that there is a high degree of similarity in scholastic standing between fathers and sons in Oxford. Professor Pearson’s measurements of mental characters in brothers and sisters while at school show a high degree of innate resemblance in many cases and certain cases of decided contrast. Where contrasts exist in certain families they remain unreduced in spite of the similarity of environment, thus proving that environment is less operative in the final intellectual establishment of such individuals than are their inborn aptitudes. Even in twins, as both Galton and Thorndike have shown, there is no tendency for similar education, home life and the like to render those originally different any more similar with advancing years.
Professor Karl Pearson has done more perhaps than any other individual toward attempting actually to measure the relative strength of heredity and environment. Numerous statistical measurements lead him to conclude that it is a conservative estimate to regard heredity as at least five or ten times as important as environment in the development of the individual. A vigorous defense by him of this position will be found in Biometrika for April, 1914.
Inter-Racial Marriage.—Some of the dangers of racial deterioration which threaten us because of our laxity regarding immigration have already been indicated. It is high time that we give this whole [Pg 297]question the most serious consideration of which we are capable. From the rate at which immigrants are increasing it is obvious that our very life-blood is at stake. For our own protection we must face the question of what types or races should be ruled out. Aside from the dangers which lie in the defective or unsuccessful types already discussed in Chapter IX, many students of heredity feel that there is great hazard in the mongrelizing of distinctly unrelated races no matter how superior the original strains may be. Unfortunately there is a great lack of reliable data on this point. The mulatto of our own country, the Eurasians in India and the mixed races of South America are, according to the testimony of many observers, eloquent arguments against such hybridization. Agassiz remarked on this point as follows:
“Let any one who doubts the evil of the mixture of races and who is inclined from mistaken philanthropy to break down all barriers between them come to Brazil. He can not deny the deterioration consequent upon the amalgamation of races, more wide-spread here than in any other country in the world, and which is rapidly effacing the best qualities of the white man, the Indian, and the negro, leaving a mongrel nondescript type deficient in physical and mental energy.”
Of the American mulatto one not infrequently meets with the assertion that he is on the average inferior mentally, morally and physically to either the white or the negro race. Thus Doctor J. B. Taylor[17] states[Pg 298] that, “It is demonstrated by well-attested facts that these hybrids of black and white are vastly more susceptible to certain infections; their moral as well as physical stamina is lower than that of either original race.” Others would deny that conclusive evidence to this effect exists. However, it is certain that under existing social conditions in our own country only the most worthless and vicious of the white race will tend in any considerable numbers to mate with the negro and the result can not but mean deterioration on the whole for either race.
There is certainly not one iota of evidence that the crossing of any two widely different human races will yield superior offspring in any respect and there are many indications that such intermixture lowers the average of the population. Our evidence derived from plant and animal breeding is also against pronounced crosses. The inferiority of the mongrel is universally recognized. No sane farmer, for example, would seek to improve his Jerseys or his Herefords by crossing one with the other. It is true that in pure breeds of plants and animals we sometimes venture on a cross to introduce some new desirable character but we follow up such mixture by a rigid selection in which is eliminated all but the rare individuals having the desired characteristics, and we continue this elimination generation after generation to fix our characters again. It is obvious that no such selection as this would be possible among the progeny of human crosses.
It clearly becomes our duty then to determine as accurately as possible the degree of non-relationship between races it is inadvisable to transcend in [Pg 299]inter-racial marriages. We are certainly taking great risks in accepting in any considerable numbers those races we can not assimilate to advantage into our own stock.
War.—The deteriorating effect of war on national physique and vigor has been so frequently cited by eugenists[18] and is so obvious as scarcely to require further comment. It should be pointed out, however, that where, as is the case at present in Great Britain, armies are assembled from volunteers, instead of by conscription, there is the greatest danger from the eugenic standpoint, since not only physical but moral qualities are involved. For it is the brave, the generous, the individual with a high sense of duty who goes forward to the slaughter leaving the cowardly, the selfish or the indifferent to father the race. With the awful deadliness of modern warfare upon exhibition before our very eyes to-day, the extreme seriousness of such selective action must be evident to every thoughtful person.
Human Conservation.—We talk much in recent years of conservation; but what are our forests and frontiers, our minerals and our waterways, compared with our national health and life-blood? No farmer would think of setting aside a diseased or physically defective animal for breeding purposes, yet the same man together with the majority of mankind is wholly oblivious to similar faults when it comes to the mating of human beings. But is it not as important to look to fitness in man as in Poland China hogs or Holstein cows? Certainly the various strains are as[Pg 300] marked and breed as true in the human family as in our live stock. Why face complacently in our own families what we would not tolerate in our piggery?
From the expenditure of comparatively small sums in studying the inheritance of various qualities in wheat, corn and other grain, improvements based on the laws of genetics have been secured which are enormously increasing our agricultural output and thereby adding to our national wealth. But if it costs relatively little to discover and conserve millions of dollars’ worth of hereditary qualities in our plants and animals, what are we to think of ourselves, an intelligent people who, knowing that “every good tree bringeth forth good fruit, but a corrupt tree bringeth forth evil fruit,” still go on placidly permitting the production of defectives and delinquents? Can we continue to drink the sluggish blood of the pauper and the imbecile into our veins and hope to escape unscathed?
We are all familiar with the fate of Babylon, Assyria, Persia, Egypt and Rome. Why not America? Certainly we have no pledge of special immunity from Divine Powers. If so, what then is the meaning of our 366 hospitals for insane which cost us annually $21,000,000; our 63 institutions for feeble-minded costing us over $5,000,000; our 1,300 prisons maintained at a cost of more than $13,000,000; our 1,500 hospitals whose annual maintenance requires at least $30,000,000; our 115 schools or homes for deaf and dumb; our 2,500 almshouses with an annual expense account of $20,000,000 and our 1,200 refuge homes costing annually several millions of dollars more? To say that we spend annually over $100,000,000 on the [Pg 301]custody of insane, feeble-minded, paupers, epileptics, deaf, blind and other charges is expressing the situation very conservatively.
Kindness in the Long Run.—There is no one I think who will not admit that the sympathy and charity of the human heart are its noblest virtues. But we must face the problem of what is kindness in the long run. Havelock Ellis well says, “The superficially sympathetic man flings a coin to the beggar; the more deeply sympathetic man builds an almshouse for him so that he need no longer beg; but perhaps the most radically sympathetic of all is the man who arranges that the beggar shall not be born.”
What shall we do?
The Problem Has Two Phases.—For an intelligent consideration of the problem one must recognize at the outset that it has two distinct phases; namely, (1) a selective union of the fittest, or in other words, a conscious attempt to breed a superior race; and (2) the elimination of the obviously unfit by preventing their reproduction, with the purpose of purifying the present race. It is evident at a glance that these are two essentially distinct problems although the practise of either method could result in racial improvement. The first is sometimes spoken of as positive or constructive eugenics, the second as negative or restrictive eugenics.
Constructive Eugenics Must Be Based on Education.—As to the first phase, direct selection for superiority, the campaign must, in the very nature of things, be one of education. With the necessary knowledge of the facts in mind, the awakening [Pg 302]conscience of the individual together with an enlightened public opinion will form the safest guide. Increasing popular comprehension of the inevitable nature of human inheritance must engender a sense of responsibility as to the positive eugenic fitness of a contemplated marriage. The growth of this sentiment will doubtless be slow, and properly so, for as yet we have but half-lights on what are the most desirable types of humanity. No one can say what the highest type of man should be, but almost any one can readily pick out types which certainly should not be.
Inferior Increasing More Rapidly Than Superior Stocks.—Modern eugenists, although realizing that the constructive phase is of great importance, are making no attempt to map out any fixed mode of procedure for it beyond pointing out the desirability of larger families among the better classes. The need for individuals of superior physical, mental and moral qualities to multiply is so obvious as scarcely to require comment. Yet the fact is that judging from all appearances these are the very ones who have the lowest birth-rate. Eugenics is mainly concerned with the relative rates of increase of the various classes, not with mere fertility in itself. And the actual increase must be measured in terms of the extent to which birth-rate exceeds death-rate. If a high birth-rate is accompanied by a high death-rate then it is not especially significant in increasing a given class as a whole. All available evidence points to the fact that to-day the lower strata of society are far outbreeding the middle and higher, with an almost negligible difference in death-rate, and just in the measure that these lower[Pg 303] strata are innately inferior just in that degree must the race deteriorate. The seriousness of the whole situation as it exists to-day hinges, therefore, on the extent to which the lower strata are inferior to those above them.
An Unselected Population May Contain Much Valuable Material.—In evaluating these lower strata a matter of very great importance is whether the population is a selected or an unselected one. If the population has been long resident in a given region and has had fairly good opportunity for education then we will find in the lower reaches a larger percentage of sedimentation made up of the worthless and inferior stocks. If, however, a continual fomentation and geographical shifting of the population is in progress as in parts of America, or if adequate educational opportunities are lacking, as in some parts of Russia, the poor and less well-to-do classes may contain, no one can tell how much, relatively valuable stock.
Forel remarks on this point as follows:
“If we compare the nature of delinquents, abandoned children, vagabonds, etc., in a country where little or nothing has been done for the people (Russia, Galicia, Vienna, etc.), with that of the same individuals in Switzerland, for example, where much has already been done for the poor, we find this result: In Switzerland, these individuals are nearly all tainted with alcoholism, or pathological heredity; they consist of alcoholics, incorrigibles, and congenital decadents, and education can do little for them because nearly all those who have a better hereditary foundation have been able to earn their living by honest work. In Russia, Galicia, and even in Vienna, we are, on the [Pg 304]contrary, astonished to see how many honest natures there are among the disinherited when they are provided with work and education.”
The Lack of Criteria for Judging Fitness.—Barring the untold hordes of actual defectives who have gravitated into this lower stratum, there are few positive criteria by which we can measure the real fitness of the remainder. Before we can set out on a campaign of positive eugenics we must have some standard by which to steer, and it would be a rash advocate indeed who would assert that class distinction alone, or even success as measured by public opinion to-day should be our whole criterion of fitness. Shall we measure fitness in terms of how successfully one can acquire worldly goods, or in other words, by the property test, or what shall be our standard?
The College Graduate.—Many of our modern critiques of the birth-rate situation make much of the fact that our college graduates as a group are scarcely reproducing themselves. According to Davenport, Bryn Mawr College between 1888 and 1913 has graduated 1,193 bachelors of arts, but these women have produced up to January, 1913, only 263 girls to take their place in the next generation. He also points out that statistics on some of the graduate classes of Harvard of twenty years ago or earlier show that they are little more than maintaining themselves; thus one class of 328 graduates twenty years later had produced 195 sons, and in another case a class of 278 individuals had produced, twenty-five years later, 141 sons. Relatively similar statistics can be cited for other eastern colleges.
[Pg 305]All such cases of college graduates cited as especially deplorable declines in birth-rate are based on the assumption that these individuals are a particularly superior stock.[19] But one might question this premise as a generalization. It may or may not be true. Are they superior or have they had mainly a combination of luck and incentive, luck in that their parents had sufficient means, acquired possibly through their own superiority, possibly not, to send them to college, and incentive derived from a fortunate environment which awakened a desire in them—or in their parents for them—for college education? Is the woolly-witted son of opulence, so abundant in our colleges to-day, who is boosted through by hook or by crook, of superior eugenical value to the alert eager boy—and his name is legion—destined for economic reasons to go to work at or before the completion of his high-school course, perhaps because of the very fact of an unlimited fecundity in his own family which necessitates his help for the general support?
When one first learns of the declining birth-rate among college women and men he feels appalled, but immediately the question flashes up, if this is the superior stock, and up to date it has died out or is dying out rapidly, whence then this ever augmenting rush of young folk who fairly deluge our universities and colleges to-day? Does it not rather point to the fact that in our own country at least, the man who will[Pg 306] and can take a college education successfully is not so much the product of breeding from college men, but of a prosperity which leaves a sufficient surplus in the family exchequer to enable sons and daughters to go to college, and is it not reasonable to suppose that there is yet an abundant stock back of these who similarly await but the golden touch of opportunity? When we consider such men as Carlyle, Lincoln and a host of others who were not the sons of collegians, although we may be university pedigreed ourselves we can not but feel doubtful of the validity of a premise which takes a college stock unqualifiedly as having any considerable monopoly of innate superiority. After all, college can mean little more than opportunity, and the obtaining of such opportunity in this world of economic maladjustments and accidents of social position is too largely a matter of chance, at least in America, to stamp the possessors of these advantages, on this criterion alone, as of inborn superiority. Undoubtedly much that is intrinsically good now slumbers in the lower strata of society because of lack of favorable environment to call forth the latent possibilities.
Native Ability, Independence and Energy Eugenically Desirable.—Although we can not sift out with certainty the superior from the inferior in our normal population by the property test or the educational standard alone, it is undoubtedly true that, on the whole, native ability, independence and energy are present to a higher degree in our well-to-do and prosperous families than in the stocks which merely hold[Pg 307] their own or which gradually decline, and there is no gainsaying the fact that in so far as the lower classes are where they are through actual deficiency—and there are enormous numbers in this category—they threaten our very existence as a race. It is imperative that the great middle class in particular establish in some way a selective birth-rate, by increased fertility on their own part, and diminished fecundity on the part of inferior stocks, which will offset or more than offset the disproportionate increase of the socially unfit.
Four Children to Each Marriage Required to Maintain a Stock.—It is estimated that under present conditions an average of at least four children should be born to each marriage if a stock is to maintain its numbers undiminished. Some of our most valuable strains are falling far short of this average. In a statistical table on the relative fertility of different stocks, prepared by Pearson, we find the mentally defective, criminal, deaf-mute and degenerate stocks heading the list with averages ranging from five to seven children per family, while the American graduate (based on Harvard statistics) and the English intellectual types average less than two children per marriage. While the death-rate is higher in the undesirable classes mentioned, it is by no means enough higher to compensate for the difference in birth-rates. Thus while certain very desirable types are not maintaining themselves genetically, other extremely undesirable ones are rapidly more than replacing themselves. Investigations made by Heron in London show that this condition as regards English desirables did[Pg 308] not exist sixty years ago; then the richer a community was in professional men and well-to-do families, the higher was the birth-rate.
Factors Contributing to Low Birth-Rate in Desirable Strains.—Most students of the subject believe that the fecundity of much of the best blood in our country has reached such a low ebb as to threaten the whole fabric of our commonwealth. How to correct this is the pressing problem to which no one has found a solution. However much one may deplore it the fact remains that always in the history of the civilized world with the rise of material conditions in any class of a population there has come an accompanying limitation of child-birth. Explain this as we may in modern times—whether as an awakened individualism which looks only to the immediate interest of the individual as against the ultimate interest of the race, or a desire for luxuries or for a better opportunity for smaller numbers of children, or as a determined effort of the wage earner to better his conditions, or to the feminist movement with its accompaniment of a greater personal freedom of married women and the recognition of the fact that marriage and child-bearing are often bars to employment, or to general increasing pressure of economic burdens—in brief whatever the cause or causes, there is no denying the fact of a diminishing birth-rate among our abler men and women. Moreover, no amount of coaxing, cajoling or dire prophecy seems to avail in altering the conditions. Various partial remedies, many of them of questionable practicability, have been proposed, but so far there has been no far-reaching effort[Pg 309] made to put any of them into effect. It has been suggested that society return to the simple life so that our young folk may marry earlier and live more easily on limited means, but so far few volunteers have appeared to lead the procession. While there is no doubt that present economic conditions tend to penalize parenthood, the simple life will not return for the mere asking. It has been pointed out that the father is in unfair competition with the bachelor and is also unfairly taxed in comparison, and some would therefore tax unmarried men more heavily. Others would pay a direct bounty on reproduction, but it is probable that such rewards would merely stimulate families of the lower types to increased fruitfulness. And so one panacea after another may be weighed and found wanting.
The Educated Public Must Be Made to Realize the Situation.—It seems probable that the most success will be met with through the slow and unspectacular methods of education. The necessity of the situation must be driven home so that it becomes part and parcel of the collective intelligence of the educated public. Different ideals of life will have to be established in the young. If knowledge of the facts of heredity is thoroughly disseminated among the people and ideals regarding parenthood are fostered, then much will have been accomplished by the psychic power of suggestion alone toward the end desired.
Utilization of Family Pride as a Basis for Constructive Eugenics.—There are few more powerful incentives to make the best of one’s abilities, or few greater deterrents from vice than family pride; and[Pg 310] there is no reason why this same sentiment may not be aroused in behalf of unborn generations. The sentiment of caste or aristocracy in some form is well nigh universal in mankind. The family of Mr. A came over in the Mayflower and is therefore worlds above the family of Mr. B, who arrived fifty years later. Mr. X’s income is $5,000 a year, Mr. Y’s only $1,500. The poor family in the front suite of the tenement regards itself as far superior to the one in the rear. Among criminals the professional house-breaker feels himself to be of higher caste than the sneak-thief, and in turn is surpassed by the bank-burglar. Even in the insane asylum the feeling is rampant. With such a wide-spread tendency for a foundation the creation of a sentiment of eugenic aristocracy is by no means a visionary undertaking.
The Tendency for Like to Marry Like.—Even now there is a decided though unconscious tendency for like to marry like and thus create particular strains. We have lines, for instance, which produce notably families of scholars, others which yield mainly statesmen, and still other strains of inventors, of financiers, of naval men, of soldiers, and of actors respectively. And there is little doubt that people, with the facts of inheritance of ability once before them, will be led to act more or less in accordance with their knowledge. On the other hand, due apparently to the same unconscious tendency for like to marry like, we find produced criminalistic, feeble-minded, deaf-mute and tubercular stocks. The first type of family is often termed aristogenic and the second or defective type, cacogenic.
[Pg 311]Public Opinion as an Incentive to Action.—Much of our social conduct is the result of the pressure of public opinion, yet so accustomed are we to this that we ordinarily do not feel it as a hardship. There is little doubt that similarly the more wholesome attitude toward parenthood advocated by the eugenist would be taken as a matter of course, once the idea became prevalent. It would come to be one of those socially preconceived ideas which are as much actualities and which become unconscious guides to action no less certainly than do the more obvious personal habits of the individual. And just in the degree that we as a race get the “feeling” that intellect, morals and skill are highly desirable attributes in marriage selection, just in that degree will one’s affections in their earlier stages gravitate toward individuals who possess such qualities in high degree. In the main, those stocks which have shown by ancestral as well as personal achievement their superiority will tend to insure most certainly a continuation of this superiority in offspring.
Choosing a Marriage Mate Means Choosing a Parent.—Although marriages, as all young folks know, are made in Heaven, it is interesting to see what a vast number of these foreordained matches coincide with propinquity in college, in church, or in the same social set. Moreover, children are born here on earth. The one thing of all things that the eugenist desires is for these young folk to get a clear-eyed vision of the fact that in choosing a marriage mate they are also choosing the future father or mother of their children with all that this implies.
[Pg 312]The Best Eugenic Marriage Also a Love Match.—A few recent writers, who show an utter misconception of what the aim of modern eugenics is, have raised the cry of give us the old-fashioned love match instead of the eugenic marriage, as if the eugenist’s ideal of moral cleanliness, freedom from transmissible physical taints or mental enfeeblement, and an attitude of special approval toward marriages which bring together individuals of more than average mental or spiritual endowment, had anything in it that was inimical to love. No one better than he realizes the sordid depths to which marital relations devoid of mutual affection and regard must reach. Certainly there is nothing in the eugenic ideal when its full import is understood that can shock the sensibilities of the most delicate-minded. Indeed it is people of fine susceptibilities who will be the first to feel repugnance toward a marriage which means mental or physical deterioration of their own blood.
Good Traits No Less Than Bad Ones Inherited.—An inspection of such charts as those shown in Figs. 37, 38 and 39, pp. 313, 314, 316—and an abundance of such encouraging records may now be found—reassures us in our convictions that good traits are no less inheritable than bad ones. And what any healthy, mentally well-endowed person may be depriving the world of if he or she declines to enter into a fruitful marriage can not be better exemplified than in the following excerpt from Davenport:
“Many a man at the opening of his life work vows, as Judge John Lowell of the middle of the eighteenth century did, as he was being graduated from Harvard [Pg 313]College, that he will never marry. But nature was too strong for John Lowell and he married three times, and among his descendants was the director of a great astronomical observatory, the president of Harvard College, a principal founder and promoter of the Massachusetts General Hospital and the Boston Atheneum; the founder of the city of Lowell and its cotton mills; the founder of the Lowell Institute at Boston; the beloved General Charles Russell Lowell and his brother, James, both of whom fell in the Civil War, and James Russell Lowell, poet, professor and ambassador; besides brilliant lawyers and men entrusted with large interests as executors of estates. Do you think John Lowell would have taken that vow could he have foreseen the future?”

Fig. 37
Pedigree of family with artistic (dark upper section), literary (dark right section) and musical (dark left section) ability (from Davenport).
The Elimination of the Grossly Unfit Urgent.—But even if, under present conditions of partial knowledge and lack of an adequate standard, the constructive phase of eugenics must be left in the main to the awakening conscience of the individual as humanity improves in general enlightenment, the second phase,[Pg 314] the elimination of the grossly unfit is one of the greatest social obligations that confronts us to-day. For if there is an alarming amount of mental impairment in civilized nations, and if the problems of pauperism, inebriety, prostitution and criminality are closely interwoven with the problems of mental unsoundness, as we have every reason to believe from available data, then any means which will operate toward securing normally functioning brains will at the same time operate toward diminishing, defects and delinquencies. And inasmuch as a considerable proportion of defects, both mental and physical, are inheritable, it is obvious that if we can diminish the number of children born into the world with defective brains or bodies we have made a long stride in the right direction.

Fig. 38
Inheritance of ability (from Kellicott after Whetham).
[Pg 315]Suggested Remedies.—But how go about it? Various schemes have been proposed, of which the chief are as follows:
1. Laws restricting marriage.
2. Systems of mating with the purpose of covering up and gradually diluting out defective traits.
3. Segregation during the reproductive period.
4. Sterilization.
5. Education in the principles of eugenics.
Inefficacy of Laws Which Forbid Marriage of Mental Defectives.—The utter inefficacy of the first proposition, namely the enactment of laws restricting marriage, at least as regards the socially unfit whose condition is based on impaired mentality, has been demonstrated time and again. If they are forbidden marriage, they merely have children without getting married. Most states have laws to prevent the marriage of such individuals but these laws are almost wholly ineffective in preventing procreation on their part. We might as well recognize once for all that in such cases nothing short of close custodial care or sterilization will accomplish the end desired.
As to the second proposition, systems of mating with the purpose of covering up and gradually diluting out defective traits, this has been shown to be possible with certain types of defectives. Whether it is desirable or not is a different question.

Fig. 39
Inheritance of ability (chart condensed and incomplete) in three markedly able families (from Kellicott after Whetham):
1, Charles Darwin; 2, his cousin, Francis Galton, founder of the modern eugenic movement.
Systems of Mating Impracticable in the Main.—By systems of mating, it should be said, is not meant the arbitrary marrying of two individuals willy-nilly, but rather it is the prevention from marriage of two individuals having similar defects. In general the facts at our command indicate that in the majority of cases the offspring from a marriage of an insane, feeble-minded or epileptic person with a normal individual free from all neuropathic taints are normal or at most show but slight effects of the taint. But what normal individual would knowingly marry into such a stock? With few exceptions such traits where inheritable are apparently negative, that is, not represented by some positive abnormal factor but due to the lack of some element or elements necessary to the proper working of the normal brain. In the offspring of such a union the necessary missing factors are supplied by the[Pg 317] normal parent. Or in Mendelian phraseology, the defective traits are recessive and are dominated by the normality of the other parent. Such offspring, however, while apparently normal of body are not normal of germ-plasm, inasmuch as half of their germ-cells will carry the abnormality of the defective parent as earlier explained (page 119) under Mendelism. We have already seen (page 119) how by continually marrying into strong strains the liability to recessive defect can be diluted out until the descendants are no more likely to have defective children than are members of our ordinary population. If, however, as is estimated in Bulletin No. 5 of the Eugenics Record Office, about thirty per cent. of our general population already carry recessive neuropathic taints, it certainly is a hazardous proceeding to attempt thus to breed out nervous defects unless one is absolutely sure of the normality of the strain into which it is proposed to marry. The great difficulty is in determining whether or not there is a defective ancestry in a given stock. We have at present no criteria for identifying normal individuals who have defective germ-plasm. As a practical test, however, if no defect has appeared in the stock for three or four generations back, the marriage would be relatively as safe as are the marriages of our average population to-day.
Corrective Mating Presupposes Knowledge of Eugenics.—But such a scheme of corrective mating presupposes a relatively high degree of intelligence and judgment on the part of the participants, and this is just what we do not have and in the nature[Pg 318] of things can not get, in the types of feeble-minded, epileptic and degenerate strains we are striving to eliminate. All our evidence shows that when unrestricted there is a marked tendency for feeble-minded to mate with feeble-minded, degenerate with degenerate. About sixteen per cent. of the feeble-minded, in fact, come from consanguineous marriages. If we try to legislate them into specific types of marriage then we encounter the same futility pointed out under our discussion of restrictive legislation, they will produce offspring without the formality of marriage.
In certain cases of insanity and in other than neuropathic defects one can see how the system might be inaugurated with greater prospects of success, but even then a knowledge of the principles of eugenics would be necessary to the participants, or in other words we could only accomplish our end through our fifth proposition, education.
Segregation Has Many Advocates.—As to the third proposition, segregation during the reproductive period, this seems to have a larger number of advocates than any other coercive measure. While on theoretical grounds it is plausible enough, when we face the actual putting of the method into practise we are confronted by the fact that tremendous sums of money would be required to sequestrate and maintain colonies or industrial refuges.
When one realizes that no state now provides for more than a small minority of its defectives, and knowing also of the pressure that must be brought to bear on legislatures to secure sufficient funds to provide for these cases of extremest urgency, one can not[Pg 319] be overly optimistic about the practicability of extensive sequestration.
E. R. Johnstone, the superintendent of a large training school for feeble-minded in New Jersey, points out that no state in the Union is providing for many more than one-tenth of her feeble-minded and epileptics. If his estimate is true, to place in institutions, treat and train all its feeble-minded and epileptics would even now almost swamp any state treasury. But what will it be in the future if we permit this unrestricted nine-tenths to go on and multiply their kind?
Leaving out of account the enormous sums spent in private charities even now from one-fifth to one-seventh the total public expenditures of almost any one of our states is going to maintain its defectives, dependents and criminals. From the 1912 report of the secretary of state, in the state of Wisconsin, for instance, I learn that of the total expenses for 1912, sixteen per cent. was for charitable and penal institutions. The situation is even worse in some other states. Think of it! Think what a large total of expense it becomes! And the expense is far secondary from the humanitarian standpoint to the misery involved.
In the Survey of May 24, 1913, we find Mr. Hastings H. Hart, Director of the Department of Child Helping of the Russell Sage Foundation, proposing very specifically “a working program for the extinction of the defective delinquent,” which involves segregation during the reproductive period. He gives the number of feeble-minded under public care as 20,000 in institutions for the feeble-minded, 16,000 in almshouses, 5,000 in hospitals for the insane, and 26,000 in prisons[Pg 320] and reformatories, or a total of 67,000 already under custodial care. And he asserts that as nearly as can be judged, this is one-third of the feeble-minded persons in the United States.
Between this estimate that one-third of our feeble-minded are in institutions and Doctor Johnstone’s that we are not providing for many more than one-tenth of our feeble-minded and epileptic, there is a wide discrepancy, but I know of no accurate data[20] whereby the matter can be settled definitely. One point of difference may be that Doctor Johnstone specifically includes epileptics and another may be one of definition of feeble-minded. However, supposing that we could get them all into institutions, institutional care at present by no means also implies prevention of propagation. It is not an unusual history of feeble-minded women in our county poor-houses that they alternate between periods of housework in some family and periods of residence in the almshouse, the return to the latter being only too often to bear an additional child.
Not a few students of the problem, however, advocate a rigid segregation as the only reasonable preventive measure, no matter what the expense. They point out that the cost is mounting up higher each year and that we are only increasing it ultimately by procrastination. They urge, moreover, that when counting[Pg 321] the cost of the segregation of the feeble-minded we should bear in mind also that we are reducing the expenses of our other charity and penal institutions, since much of degeneracy, pauperism and petty criminality centers in mental enfeeblement. Some believe that colonies can be established which are in considerable measure self-supporting. Doctor Johnstone, for instance, although his estimates of the number of feeble-minded and epileptic is one of the highest, sketches out in a recent paper (in Pediatrics, August, 1912) a plan which he considers feasible.
But what assurance have we that we can prevent the production of defectives by segregation? In reply may be cited a recent experiment on an extensive scale. Cretinism is a condition due to disease of the thyroid glands. It is characterized by goiter, marked deformities and imbecility. It is hereditary and has been very prevalent in certain valleys of southern Switzerland and northern Italy. Cretin mated with cretin and consequently a large new supply was constantly produced. In recent years in certain communities the sexes have been segregated (see Eugenic Review, 1910, Jordan) with the result that in such places cretinism has about disappeared.
Coming now to the fourth solution proposed, namely, sterilization,[21] let us consider some of its alleged advantages and disadvantages.
[Pg 322]Sterilization.—First of all, since there is some considerable popular misunderstanding on the subject, it should be made plain that by sterilization is not necessarily, nor in fact generally, meant asexualization, or the removal of the reproductive glands. On the contrary, in the male, sterilization is ordinarily accomplished by an operation known as vasectomy, in which a small piece of each sperm duct is removed. Such reports on it as I have found indicate that it is a comparatively simple minor operation which involves no special inconvenience or hardship on the subject beyond the deprivation of offspring. In fact, according to Doctor Sharp’s report, in the majority of cases where it has been put into practise the patient has usually submitted voluntarily after having the details of the situation explained to him and has often advised fellow delinquents to do likewise.
Even should later developments show that a mistake had been made, in all probability the matter could be remedied by a second operation in which the cut ends of the ducts can be reunited. This has been accomplished experimentally in dogs, and furthermore, in men rendered sterile by occlusion of the duct through inflammatory diseases, the sterility has been remedied by removing the blocked area and reuniting the ends of the duct on either side.
In women the corresponding operation—a section of the oviduct—is termed salpingectomy. Here, however, the operation is a more serious one as it usually involves opening the abdominal cavity and the accompanying hazard of infection, a danger sufficiently great[Pg 323] that it is safe to say that the operation will be resorted to more rarely than vasectomy in man.
As a Eugenic Measure.—Sterilization as a eugenic measure has many advocates and perhaps more opponents; and among the latter, it must be said, are many competent and thoughtful students of the subject who recognize existing conditions and deplore their continuance as much as any one. They maintain that while we may have to come to it as a last resort, we are yet too ignorant of the actual effects of the operation, or are too little informed on the inheritability of the specific traits we are trying to eradicate, to launch forth on so radical a program. We must not forget that when we put sterilization into effect we are going to have to deal with individual cases, not general averages.
To What Conditions Applicable.—And just here, it seems to me, is the crux of the situation. When confronted by the defective individual, in a practical case, just what criteria are we going to use to determine whether this particular individual should be sterilized or not? Nearly all of the twelve states which have sterilization laws specify insanity, feeble-mindedness, epilepsy and criminality.
In Insanity.—When it comes to insanity I strongly suspect that those who have the selection of the examining board will have difficulty in finding an alienist who is willing to take the responsibility of deciding on just which insane individuals shall be operated on and which not. For among the insane there are so many kinds and degrees of mental unsoundness,[Pg 324] and these are of such varying and as yet unknown eugenical significance, that a positive decision is frequently out of the question. Of the twenty-seven or more recognized forms of insanity who knows with any considerable degree of certainty which are heritable, which not? Shall we treat all manic-depressives alike? Shall we treat them as, for instance, we would those suffering from dementia precox? Who will take the responsibility of answering positively? Again, what shall we do in cases of paresis, or general paralysis of the insane, an affliction which probably invariably has syphilis as its antecedent? Yet it constitutes one of the commonest forms of insanity found in asylums. Doctor George H. Kirby, director of Clinical Psychiatry, Manhattan State Hospital, says that with one exception there are more admissions of paretics to Manhattan State Hospital than sufferers from any other form of mental disorder. He continues, “We find that when either the father or the mother suffers from paresis that many other members of the family may be infected with syphilis, and furthermore, we find that a surprisingly large number of children in these families are feeble-minded, nervous, or in other ways abnormal.” But here, it is clear, the patient has done the damage before he reached the hospital, nor was it paresis as such that did the harm but the syphilitic infection of which paresis itself was but the outcome.
Certainly the one fact which stands out conspicuously when we face most concrete cases, is that at present we need more urgently than sterilization laws for the insane, exhaustive studies of the inheritability[Pg 325] of specific mental infirmities that we may know with some degree of certainty which warrant sterilization.
Yet on the other hand one of the most disquieting facts that confronts us to-day is the large number of patients who are on parole from our hospitals for the insane, subject to recall. What shall we do with them? Shall we submit them to the tremendous hardship of still remaining under custodial care although to all intents and purposes sane, or shall we make their release contingent upon their submission to vasectomy or salpingectomy?
In a few cases such as Huntington’s chorea (Figs. 26, 27, pp. 114, 115) we can proceed with a fair degree of assurance, for we know that this dreadful malady is transmitted as a positive trait and that in all probability half of the children of an afflicted individual will inherit the defect. Such patients, if they ever rally sufficiently temporarily to leave the hospital, or where encountered outside the hospital should certainly be restrained from procreation. It is questionable if even their children, though apparently normal, should be allowed to have offspring, for usually the disorder does not manifest itself until middle life and then it is too late to try to prevent its transmission since the affected individual has already probably married and had children. But Huntington’s chorea is a comparatively rare form of insanity, and one of only a few about which our knowledge as regards its transmissibility is fairly satisfactory.
In Feeble-Mindedness.—When we come to institutions for the feeble-minded, however, there seems to be much more unanimity of opinion among physicians[Pg 326] in charge of such institutions that sterilization would be an effective and satisfactory disposition to make of many cases, if we are to release the patients in question from custody. Unquestionably in cases of imbecility it is easier than in insanities to pass conclusive judgment on the inheritability of the condition in a large class of cases. Practically all are agreed that either permanent custodial care through the reproductive period or sterilization should be enforced. Some maintain that such individuals should remain permanently in institutions anyway and that therefore to sterilize them is needless, while others urge that if sterilized many capable of making their own living could be freed and allowed to do so.
According to Goddard the feeble-minded woman is about three times as likely to find a mate as a feeble-minded man, hence it would seem to be of much greater importance to sterilize the woman than the man.
Again it might be urged with much justification, that even though sterilized, the feeble-minded individual because of lack of self-control will transgress sexually and will thus certainly become a menace to society in the spread of venereal diseases. If Mr. Hart’s estimate is anywhere near correct, that there are 60,000 feeble-minded women in the United States of child-bearing age, and that 13,000 are already in custody, then the task of getting all women of this class into custody is not so insurmountable as would at first appear.
In Cases of Epilepsy.—As to epilepsy, I find a very decided difference of opinion among physicians.[Pg 327] Some consider it, on account of its apparently strong inheritability, together with the shocking crimes perpetrated by epileptic criminal types, one of the most serious menaces, while others point out that we know nothing of the real cause of epilepsy, that there are all degrees and shades, that it is probably referable to different causes in different cases and that no one is able to say what the offspring of any given epileptic will be.
As to criminal types, here again we face the difficulty of deciding any particular case. Let us suppose that twenty-five per cent. of criminals are mental defectives, how shall we sift them out from the seventy-five per cent. who are supposed to be eugenically normal? Doubtless in many of the twenty-five per cent. class, the indications of defective mentality are sufficiently evident to prevent mistakes, but a considerable number of uncertain status must also remain near the border-line.
Sterilization Laws.—Although twelve of our states already have sterilization laws, only two, Indiana and California, seem to have made any active attempt to enforce them. The situation is too new yet in Wisconsin, Michigan and Pennsylvania for these states to have shown what they intend to do. Although the Indiana law says, “it shall be compulsory for each and every institution” to maintain the practise, it has fallen into disuse since 1911, presumably because the governor believed the law unconstitutional. It is of interest to see the motive underlying the law in various states. In the majority it is purely eugenic. In Connecticut it is mainly eugenic though partly[Pg 328] therapeutic. In California it is apparently in part therapeutic, since it is stated as being for the physical, mental or moral benefit of inmates of various state institutions, and in part punitive and eugenic, since individuals twice committed for sexual offenses or three times for other crimes are subject to the operation.
In Washington and Nevada the object is purely punitive, the persons specified being habitual criminals and persons adjudged guilty of carnal abuse of female persons under ten years of age, or of rape. In these states also the court orders the operation instead of leaving it to the decision of a board of medical experts.
Social Dangers in Vasectomy.—It has been urged against vasectomy that it will work untold harm because it relieves of the responsibility of a probable parentage. This argument does not appeal to one as very weighty as far as the imbecile or other degenerate is concerned, because one of the very traits characteristic of such individuals is lack of any sense of responsibility. By this same token, however, we have a very good argument for sequestration as against sterilization, for the degenerate, even though sterilized, will not be restrained sexually and will be likely to disseminate venereal diseases or commit rape. Furthermore, there will be the temptation to sterilize and liberate certain types that would otherwise have been kept permanently in custody.
Our Present Knowledge Insufficient.—When all is said and done, after we take into account the meagerness of our present knowledge on the subject, it is not to be wondered at that many thoughtful [Pg 329]students of a conservative turn of mind, feel that any considerable practise of sterilization is premature. The problem has so many phases, and despite occasional bits of positive knowledge, we are yet in such a sea of ignorance regarding it, that in no field is the good Friar Laurence’s admonition of “wisely and slow; they stumble that run fast,” needed more at present than it is here.
There is little doubt that in theory the feeble-minded and similar defectives should be sent to institutions and kept there, but the important practical question is, can this be done? We can have no final answer until it is tried. While the initial expense would undoubtedly be great, if we could keep our defectives from propagation for a single generation we could very materially lessen their numbers and in succeeding generations the expenses of their care would rapidly diminish.
The one crying need that stands out most prominently in this whole field is that of careful investigation of individual cases and specific types of malady, together with an accurate census of conditions as a whole. Our knowledge of individual malign heredities is too meager to carry us very far at present. When we have found after adequate investigation in just which specific types of defects heredity is an important factor—and we shall undoubtedly find it to be one in many cases—then we can proceed confidently with sterilization, if it will prove to be more practical and desirable than sequestration.
Sterilization Laws on Trial.—It will be of great interest and instruction to see how extensively, in the[Pg 330] various states which have recently passed sterilization laws, the experts selected will find it expedient to carry on sterilization, and what criteria they will use in deciding on individual cases. That sterilization can be put into effect is indisputable, as may be seen from the fact that several hundred operations have been performed in Indiana. If the board on whom the decision depends happens to be one which feels that many people are likely to distress themselves unduly over the border-line cases, and overlook the fact that there is always a goodly residue with which to proceed without great risk of mistake, then we may expect to see a vigorous campaign inaugurated, and those of us who are still undecided in the matter will have an opportunity of learning more certainly the merits or the failings of the scheme.
Certain married degenerate types would seem to be the ones most urgently demanding attention. Having already begotten several defective children and with nothing else in prospect but the production of the same kind, it is difficult to see from any standpoint why a vasectomy on the male would not be a merciful act. There are not a few such families where the father is periodically in the hands of the law and yet not in permanent restraint. Once in custody his release could be made contingent on vasectomy.
An Educated Public Sentiment the Most Valuable Eugenic Agent.—Coming now to the last proposition, education of the public in the principles of eugenics, this is the method calculated to be of more far-reaching service than any other, in the negative as well[Pg 331] as in the positive phases of eugenics. Education is necessary before we can have effective restrictive measures for the mentally incompetent established and enforced, and it is also a prerequisite to intelligent procedure on the part of normal individuals in considering their own fitness for marriage.
Of greatest importance in preventing undesirable marriages, as far as people of normal intelligence is concerned, will be the sentiment of disapproval which will arise on the part of society itself when it becomes really convinced that certain marriages are inimical to social welfare. Public opinion is, in fact, one of the most potent influences in marital affairs, simply because refusal to abide by the dictates of the community means social ostracism.
That social disapproval of certain unions can become a very real factor in preventing such marriage is evinced on all sides by the numerous barriers to marriage already in existence based on race, religious sect or social status. Even in our much vaunted democracies one is looked down on who marries “beneath” his or her social set. This sentiment of taboo, so readily and often so senselessly cultivated in our present human society, will inevitably spring up in consequence of a wide-spread knowledge of the facts of human heredity. It is to such a growth, to the establishment of a disapproval which is the product of its own sentiments rather than to legislative enactments, that society must look for the greatest furtherance of the eugenic program.
Necessary as legal restraint is in certain cases, it[Pg 332] must obviously be restricted to only the most glaring defects. Moreover, legislation can not run far in advance of public opinion.
The Question of Personal Liberty.—It must be admitted that there is a reluctance on the part of many even thoughtful individuals to the application of methods which savor in any way of restraint. An objection not infrequently urged by such persons against the application of certain eugenic principles is that they demand an unwarranted curtailment of personal liberty.
To those who hoist the flag of personal liberty, it may fairly be asked, how much personal liberty does the syphilitic accord his doomed and suffering wife and children, or how much personal liberty is the portion of the offspring of feeble-minded parents? Or, what quota of personal liberty will accrue to the ill-fated descendants of the epileptic, the habitual drunkard or criminal, the gross moral pervert, the congenially deaf and dumb, or to even the progeny which may result from the union of two well-established tubercular strains?
We do not hesitate to send the pick of our stalwart healthy manhood to war to be slaughtered by the thousands and tens of thousands when an affront is offered to an abstraction which we term our national honor, and, sublimely unconscious of the irony of it all, we throw ourselves into a well-nigh hysterical frenzy of protest when it is proposed to stop the breeding of defectives by infringing to a certain extent on their personal liberties.
Society has already found it necessary to suppress[Pg 333] certain individuals and yet we hear little complaint about loss of personal liberty in such cases. But if it is necessary to restrain the man who would steal a purse or a horse, is it not still more urgent to restrain one who would poison the blood of a whole family or even of an entire stock for generations? Surely there can be but one answer; society owes it to itself as a matter of self-preservation to enforce the restraint of persons infected with certain types of disease and of individuals possessing highly undesirable inheritable traits, so that perpetuation of such defects is impossible.
Education of Women in Eugenics Needed.—One of the most crying needs of the present is the awakening and educating of women to the significance of the known facts. For they are perhaps the greatest sufferers, and once informed, as a mere matter of safety if for no other reason, they will see the necessity of demanding a clean bill of health on the part of their prospective mates. Furthermore in the last analysis woman is the decisive factor in race betterment, for it is she who says the final yea or nay which decides marriage and thus determines in large measure the qualities which will be possessed by her children. Above all, young women must come to realize that the fast or dissipated young man, no matter how interestingly or romantically he may be depicted by the writer of fiction, is in reality unsound physically, and is an actual and serious danger to his future wife and children.
Much Yet to Be Done.—But plain as is our duty regarding the application of facts already known, when[Pg 334] we consider that the student of heredity has made only a beginning, it is equally evident that he must be urged on in his quest for new facts, and the establishment of new principles. There is imperative need to carry on proper experiments with plants and animals, to collect necessary data regarding man, and for what is scarcely less important, the publication of the facts already acquired so that the public may be guided aright.
Just at present it is of the utmost importance to secure more trustworthy statistics in order that we may intelligently go about instituting suitable restrictive measures for undesirable human strains. We must know the exact number and kinds of feeble-minded, epileptic and insane in our population, and we must have more insight into the personal status and pedigrees of our delinquents and criminals. For purposes of rational procedure such information is indispensable. Much can be done by hospitals, “homes” and penal institutions by determining and recording more accurately all obtainable facts regarding the ancestry of their charges. Moreover, in such states as Wisconsin, where the state hospitals for the insane have each an “after-care-agent,” the duties of such officers might well include the collection of more adequate data regarding the hereditary aspects of their patient’s condition. And lastly, if in every census, whether state or national, it were made an important part of the work to secure accurate vital statistics, particularly as they pertain to human heredity, the contribution toward enabling us ultimately to purge[Pg 335] the blood of our nation of certain forms of suffering, degeneracy and crime would be inestimably great.
A Working Program.—And now after reviewing at some length various aspects of man’s hereditary and congenital endowment, the important question arises as to whether it is possible, with the knowledge at present available, to go ahead with a practical program which will insure to the child of the future its right of rights, that of being well-born. When one considers the matter it is evident that much can be done at once. Most of the needs set forth in the preceding paragraph can clearly be met in a fair degree by instituting the procedures indicated.
One of the obvious duties in a restrictive way that confronts us right at the start is the care and control of the feeble-minded and of the defective delinquent in such a way as to prevent procreation. Much help can be given also through intelligent agitation for the establishment of colonies for epileptics and the higher grades of feeble-minded which can be made in considerable measure self-supporting. A given colony must, of course, be for one sex alone. Much can be done, furthermore, by putting into operation, both in and out of institutions, effective systems of registering births and deaths together with accompanying facts which may prove of eugenical significance.
Again, we should more surely identify and exclude undesirable immigrants and also undertake thoroughgoing investigations to determine which races we can not profitably assimilate into our own blood.
Physicians should pay more attention to the hereditary[Pg 336] and congenital aspects of their cases and make it more a matter of conscience than they do at present to advise patients with regard to marriage. Prenuptial medical inspection should become the custom, if not by law at least as a voluntary procedure. Every parent must come to realize the grave risk to which he is subjecting his daughter if a guarantee of physical fitness, even more than assurance of financial standing or social position, is not forthcoming from her prospective mate.
Wholly apart from the field of heredity though in a realm intimately concerned with the birthright of the child, much practical good can be accomplished by pondering the facts and the fictions of prenatal influence and in the light of the knowledge thus gained, seeing that while foolish and unnecessary worries are abolished, the conditions of health, nutrition and occupation surrounding the expectant mother are the best obtainable. It is the sacred duty of every individual, moreover, to see that the maximal possibilities of his own germ-plasm are not lowered by vicious or unwholesome living.
As individuals we can cultivate a greater sense of responsibility regarding marriage and parenthood in those for whose training we are responsible. We can study this whole subject conscientiously, keep pace with new knowledge and see that other people are likewise informed. In showing an enlightened interest in the ideals of eugenics and a sympathetic approval of wholesome marriages, a sentiment toward parenthood will gradually arise which will make it seem more desirable to many worthy people than it does at [Pg 337]present. If we are of good stock ourselves we should recognize that it is highly desirable that we give to the race at least four children. On the other hand, if we come from a strain which is eugenically undesirable we should with equal conscientiousness refrain from contributing to human misery. For where serious obstacles to a union exist, renunciation is certainly a higher manifestation of love than is consummation of a marriage which will result in untold misery to the object of the affections. As a matter of fact, with adequate preliminary knowledge as to what actually constitutes a serious drawback to marriage, where such really exists and is recognized by the associated individuals, love of the kind that leads to marriage is not likely to arise.
As has been suggested by various students of eugenics, it is even at present perhaps not infeasible for earnest individuals to start in a quiet way local centers for the keeping and filing of accurate records of their family traits for the future use of their descendants. Such groups, voluntary though they be, would soon acquire a degree of distinction that would make other people of good endowments wish to join in and go on record as eugenically desirable.
Lastly, it should not be forgotten that good traits are inherited as certainly as bad ones. Moreover, in the realm of human conduct, even though the fundamental features of behavior are based on an inherited organization, man is not always driven by an inexorable linkage of inherited neutral units into only one line of conduct, since more or less capacity for alternative action is also inherited. It is the personal duty[Pg 338] of every member of society to aid in affording the opportunity and providing the proper stimuli to insure that out of the many possibilities of behavior which exist in the young at birth, those forms are realized which are best worth while to the individual and to society. And while we recognize that improved environment alone can not correct human deficiencies we must nevertheless not relax our efforts to get cleaner foods, cleaner surroundings, cleaner politics and cleaner hearts.
Why go on alleviating various kinds of misery that might equally well be prevented? When one squarely faces the issue, surely the absurdity of our present practises can not but be evident to even the most thoughtless.
Which Shall It Be?—As a matter of social evolution, human homes originated in the necessity of an abiding place for the nurture and training of the young past their first period of helplessness. Well in the foreground of the mental picture which arises when we hear the very word home, are children. What shall the home of the future be with regard to its most important assets, the children? Shall we as a people continue to be confronted at every turn by the dull countenance of the imbecile, the inevitable product of a bad parental mating; or the feeble body and the clouded intellect of the child sprung from a parentage of polluted blood; or the furtive cunning of the born criminal, the will-less mind of the bred degenerate, or the shiftless spawn of the pauper? Or shall it be a type with laughing face, with bounding muscles, with[Pg 339] unclouded brain, overflowing with health and happiness—in short, the well-born child?
The answer is in our own hands. The fate of many future generations is ours to determine and we are false to our trusteeship if we evade the responsibility clearly laid before us. How conscientiously we heed known facts, how actively we acquaint ourselves with new facts, and how effectively we execute the obvious duties demanded by these facts, will give us the answer.
THE END
GLOSSARY
Acquired Characters, traits developed in the body through changes in environment or function, in contra-distinction to those which have their specific causes in the germ-cells.
Adaptation (L. ad, to; aptus, fit), fitness to environment.
Albinism (L. albus, white), a condition of deficiency in pigment.
Allelomorph (Gr. allelon, of one another; morphē, form), one of a pair of alternate Mendelian characters.
Ameba (Gr. amoibē, change), a primitive single-celled animal.
Amphibian (Gr. amphi, both; bios, life), capable of living both on land and in water.
Anthropoid (Gr. anthropos, man; eidos, form), man-like.
Aristogenic (Gr. aristos, best; genesis, origin), pertaining to the genetically most desirable human strains.
Association Areas, those regions of the brain in which presumably the higher mental processes are effected.
Atavism (L. ad, before; avus, grandfather), a return in one or more characters to an ancestral type. See p. 8 for restricted modern usage.
Atrophy (Gr. a, negative; trophē, nourishment), a wasting away of a part of a living organism.
Axon (Gr. axon, axis), the process from a nerve cell which becomes a nerve fiber.
Binet-Simon Scale, a series of tests graded to age and previous training of the average normal child, much used in measuring mental deficiency.
Biology (Gr. bios, life; logos, discourse), the study of life and of living things.
Biometry (Gr. bios, life; metron, measure), the study of biological problems by means of statistical methods.
Blastomere (Gr. blastos, germ; meros, part), one of the early cells formed by the division of the ovum.
Blastophthoria (Gr. blastos, germ; phtheiro, destroy), deterioration of the germ as the result of direct pathogenic or other disturbing agents.
Blending Inheritance, inheritance in which the characters of the parents seem to blend in the offspring.
Cacogenic (Gr. kakos, bad; genesis, origin), pertaining to genetically undesirable human strains.
Cell, the fundamental unit of structure in plants and animals.
Centrosome (Gr. kentron, center; soma, body), a small body which functions in indirect cell-division.
Character, any distinguishing feature, trait or property of an organism.
Chemotropism (chemical and tropism), defined, p. 198.
Chromatin (Gr. chroma, color), deeply staining substance of the cell-nucleus.
Chromosomes (Gr. chroma, color; soma, body), characteristic deeply staining bodies, typically constant in number and appearance in each species of animal or plant, which appear in the cell during indirect division.
Chromotropism (Gr. chroma, color; tropē, turning), defined, p. 198.
Cleavage, the division of the egg-cell into many cells.
Congenital (L. con, together; gigno, bear), present at birth.
Conjugation (L. con, together; jugum, yolk), the union of germ-cells or unicellular individuals for reproduction.
Constructive (or positive) Eugenics, a system of securing a superior race through propagation of the fittest individuals.
Cortex (L. cortex, bark), the outer or investing layer of the brain.
Cytoplasm (Gr. kytos, cell; plasso, form), the protoplasm of the cell outside of the nucleus.
Daltonism, the commonest form of color-blindness in which the affected individual is unable to discriminate between red and green.
Dendrites (Gr. dendron, tree), branching processes which spring from nerve-cells.
Determiner (L. determinare, to determine), the distinctive cause or unit in a germ-cell which determines the development of a particular character in the individual derived from that cell. The terms gene and factor are sometimes used as synonyms of determiner.
Dihybrids (L. di, two; hybrida, mongrel), the offspring of parents differing in two characters.
Diploid (Gr. diploos, double; eidos, form), the dual or somatic number of chromosomes.
Dominant Character (L. dominare, to be a master), a character from one parent which manifests itself in offspring to the exclusion of a contrasted character from the other parent.
Drosophila, a genus of fruit-flies of which there are several species.
Duplex (L. duo, two; plico, fold), the condition in which a character is represented by two determiners, one from each parent.
Electrotropism (Gr. electron, amber; tropē, turning), defined, p. 198.
Embryo (Gr. embryon), the young organism in its earliest stages of development.
Embryogeny (Gr. embryon; genesis, generation), the development of the embryo.
Eugenics (Gr. eugenes, well-born), the science relating to improvement of the human race through good breeding.
Factor, the determiner of a particular hereditary character.
Feeble-Mindedness, deficiency in mental development. For grades, see p. 244.
Fertilization, union of the sexual cells.
Fetus (L. feuere, to bring forth), the unborn young animal in its later (after the second month in man) stages of development.
Flagellum (L. flagellum, little whip), a vibratile, thread-like organ of locomotion.
Gamete (Gr. gamos, marriage), a mature germ-cell.
Genetics (Gr. genesis, origin), the science which deals with heredity and the origin of individuals in general.
Genotype (Gr. genea, race; typto, strike), the germinal constitution of an organism.
Geotropism (Gr. ge, earth; tropē, turning), defined, p. 198.
Germ-Cell, a reproductive cell.
Germinal Variations, variations which owe their origin to some modification in the germ-cells.
Germ-Plasm, the material basis of inheritance.
Gonad (Gr. gonos, generation), a germ-gland.
Haploid (Gr. haploos, single; eidos, form), the single or reduced number of chromosomes as found, for instance, in the mature germ-cells.
Heliotropism (Gr. helios, sun; tropē, turning), defined, p. 198.
Heredity (L. heres, heir), resemblance of individuals to their progenitors based on community of origin.
Heritage (L. heres, heir), all that is inherited by an individual.
Heterozygote (Gr. heteros, other; zygon, yolk), an individual produced through the union of germ-cells which are unlike in one or more determiners. Adjective, heterozygous.
Homozygote (Gr. homos, same; zygon, yolk), an individual produced through the union of germ-cells which are alike in determiners. Adjective, homozygous.
Hybrid (L. hybrida, mongrel), the offspring of parents which differ in one or more characters.
Identical Twins, twins which show identical inborn characters, both having come presumably from the same ovum.
Idiot (Gr. idios, peculiar, private), defined, p. 244.
Imbecile (L. imbecillis, weak), defined, p. 244.
Inheritance (L. in, in; heres, heir), the sum of all characters which are transmitted by the germ-cells from generation to generation.
Inhibitor (L. in, in; habeo, hold, have), that which checks or restrains.
Instinct (L. in, in; stingno, prick), defined, p. 203.
Intra-uterine (L. intra, within; uterus, the womb), within the womb.
Irritability (L. irrito, excite), the property of responding to stimuli.
Linin (L. linum, flax), filaments of the cell-nucleus not readily stained by dyes.
Luetin Test (L. lues, pest), a test for syphilis; see p. 188.
Mammals (L. mamma, breast), warm-blooded, hairy animals which suckle their young.
Maturation (L. maturus, ripe), the final stages in the development of the sex-cells characterized by two divisions in one of which the number of chromosomes is reduced by one-half.
Mendelian, Mendelism, referring to Mendel, the founder of a theory of heredity. See p. 67.
Metazoa (Gr. meta, over; zoon, animal), all animals higher than the protozoa.
Mitosis (Gr. mitos, thread), indirect nuclear division, characterized by the appearance of a fibrous spindle and a definite number of chromosomes. The latter split to form daughter chromosomes which diverge to the poles of the spindle to form parts of the new nuclei.
Mongolian, a type of feeble-minded individual, see p. 248.
Monohybrid (Gr. monos, single; L. hybrida, mongrel), the offspring of parents, differing in one character.
Moron (Gr. moros, foolish), defined, p. 244.
Mutations (L. mutare, to change), abrupt, inheritable germinal variations. Frequently though not necessarily they are changes of considerable extent.
Neural (Gr. neuron, nerve), pertaining to the nervous system.
Neuron (Gr. neuron, nerve), a nerve-unit consisting of a nerve-cell with branching processes called dendrites and an axon or axis cylinder process which gives rise to a nerve fiber.
Neuropathic (Gr. neuron, nerve; pathos, suffering), relating to disease of the nervous system.
Nucleolus (L. dim. of nucleus), a well-defined body found within the nucleus of a cell.
Nucleus (L. nux, a nut), the central organ of a cell.
Nulliplex (L. nullus, not any; plico, fold), the condition in which no determiners of a given character exist in a particular individual.
Oöcyte (Gr. ōon, egg; kytos, cell), the ovarian egg in one stage of development.
Oögenesis (Gr. ōon, egg; genesis, origin), the development of ova from primitive sex-cells.
Oögonium (Gr. ōon, egg; gonos, generation), a primordial egg-cell.
Ovary (L. ovum, egg), the organ in which the egg-cells multiply and are nourished.
Ovum (L. ovum, an egg), the female sex cell.
Parthenogenesis (Gr. parthenos, virgin; genesis, origin), development of an egg which has not united with a male gamete.
Phenotype (Gr. phaino, show; typto, strike), the existing type of individual irrespective of hereditary possibilities which may reside in it undeveloped.
Phototropism (Gr. phos, light; tropē, turning), defined, p. 198.
Placenta (L. placenta, a flat cake), the organ by which the fetus of the higher mammals is attached to the uterine wall of the mother for purposes of nourishment, respiration and excretion. In it the maternal and fetal blood, although not intermingling, are brought into such close proximity that an interchange of dissolved substances is possible.
Polar Bodies, the minute cells which are separated from the egg in its maturation divisions.
Primate (L. primus, first), the highest order of animals, including monkeys, apes and man.
Pronucleus, the nucleus of the mature ovum or sperm-cell.
Protoplasm (Gr. protos, first; plasma, form), the essential living substance.
Protozoa (Gr. protos, first; zoon, animal), single-celled animals or animals composed of cells not separable into different tissues.
Psychical (Gr. psyche, the soul), pertaining to the mind.
Recessive Character (L. recessus, a going back), a character from one parent which remains undeveloped in offspring when associated with the corresponding dominant character from the other parent.
Reduction Division, a division of the maturing germ-cells in which the dual or somatic (diploid) number of chromosomes is reduced to the single (haploid) number.
Reflex Action (L. re, back; flectere, bend), an automatic response of the nervous and motor mechanism of the body.
Restrictive (or negative) Eugenics, a system of improving the human race by preventing reproduction of the unfit.
Reversion (L. re, back; verto, turn), the reappearance of ancestral traits which have for some generations been in abeyance.
Rheotropism (Gr. rheo, to flow; tropē, turning), defined, p. 198.
Salpingectomy (Gr. salpinx, trumpet; ectomē, cutting out), removal of part or all of a Fallopian tube (oviduct).
Segregation (L. se, aside; grex, flock), separation.
Sex Chromosome, a special chromosome which is supposed to be concerned in the determination of sex.
Sex-Linked Characters, defined, p. 60.
Simian (L. simia, ape), ape-like.
Simplex (L. sim, same; plico, fold), the condition in which a character is represented by a determiner from only one of the two parents.
Soma (Gr. soma, body), the body considered apart from the germ-cells.
Spermatid (Gr. sperma, seed), a cell resulting from the last division of the germ-cell in spermatogenesis. It transforms into the spermatozoon.
Spermatocytes (Gr. sperma, seed; kytos, cell), cells concerned in the maturation divisions of the male germ-cells.
Spermatogenesis (Gr. sperma, seed; genesis, origin), the development of spermatozoa from primitive sex-cells.
Spermatogonium (Gr. sperma, seed; gonos, generation), a primordial sperm-cell.
Spermatozoon (Gr. sperma, seed; zoon, animal), the functional male sex-cell.
Spindle, a fibrous organ formed in indirect cell-division.
Spireme (L. spira, coil), a characteristic stage preliminary to indirect cell-division in which the chromatin material of the nucleus appears in the form of a skein of filaments.
Stereotropism (Gr. stereos, solid; tropē, turning), defined, p. 198.
Sterilization (L. sterilis, barren), deprivation of reproductive power. For methods, see p. 322.
Synapse (Gr. syn, together; hapto, unite), the coming in contact of the processes of one nerve cell with the processes or body of another.
Synapsis (Gr. syn, together; hapto, unite), union of the chromosomes in pairs preliminary to the reduction division.
Telegony (Gr. telegonos, born far away), the supposed influence of an earlier sire on offspring born later of the same mother to a different sire.
Thermotropism (Gr. thero, heat; tropē, turning), defined, p. 198.
Thigmotropism (Gr. thigmo, touch; tropē, turning), defined, p. 198.
Toxin (Gr. toxicon, poison), poisonous compounds of animal, vegetable, or bacterial origin.
Tropism (Gr. tropē, turning), the automatic directing of an organism toward or away from a source of stimulus.
Unit-Character, a character which behaves as an indivisible unit in heredity.
Vasectomy (L. vas, vessel; ektomē, cutting out), removal of a portion of the vas deferens (duct for conveying spermatozoa).
Vestigeal (L. vestigium, footstep), representing organs which existed once in a more developed condition.
Volvox (L. volvo, roll), a small fresh-water organism occurring in spherical colonies.
Wasserman Reaction, a test for syphilis, see p. 188.
X-Element, same as sex-chromosome.
Zygote (Gr. zygon, yolk), the product of the union of two gametes.
REFERENCES FOR FURTHER READING AND STUDY
Bateson, W., 1909. Mendel’s Principles of Heredity. Cambridge, The University Press. The best technical account of Mendelism. It contains also a translation of the original papers of Mendel.
Castle, William E., 1911. Heredity. New York, D. Appleton and Company.
Castle, William E.; Coulter, John M.; Davenport, Charles B.; East, Edward M.; Tower, William L., 1912. Heredity and Eugenics. Chicago, The University of Chicago Press.
Conklin, Edwin Grant, 1915. Heredity and Environment in the Development of Men. Princeton, Princeton University Press.
Davenport, Charles B., 1911. Heredity in Relation to Eugenics. New York, Henry Holt and Company.
Doncaster, L., 1911. Heredity in the Light of Recent Research. Cambridge, The University Press.
Doncaster, L., 1915. The Determination of Sex. Cambridge, The University Press.
Ellis, Havelock, 1912. The Task of Social Hygiene. New York, Houghton Mifflin Company.
Galton, Francis, 1869. Hereditary Genius: an Inquiry Into Its Laws and Consequences. London, Macmillan and Company.
Galton, Francis, 1889. Natural Inheritance. New York, The Macmillan Company.
Galton, Francis, 1895. English Men of Science; Their Nature and Nurture. New York, D. Appleton and Company.
Galton, Francis, and Schuster, Edgar, 1906. Noteworthy Families (Modern Science). London, J. Murray.
Goddard, Henry Herbert, 1912. The Kallikak Family; a Study in the Heredity of Feeble-mindedness. New York, The Macmillan Company.
Goddard, Henry Herbert, 1914. Feeble-mindedness; Its Causes and Consequences. New York, The Macmillan Company.
Healy, William, 1915. The Individual Delinquent. Boston, Little, Brown and Company.
Kellicott, William E., 1911. The Social Direction of Human Evolution; an Outline of the Science of Eugenics. New York, D. Appleton and Company.
Morgan, Thomas Hunt, 1913. Heredity and Sex. New York, Columbia University Press.
Punnett, R. C., 1911. Mendelism. New York, The Macmillan Company. The best popular account of Mendelism.
Saleeby, Caleb William, 1909. Parenthood and Race Culture; an Outline of Eugenics. London, Cassell and Company.
Schuster, Edgar, 1912. Eugenics. London, Collins Clear-Type Press.
Thomson, J. Arthur, 1908. Heredity. London, John Murray.
Walter, Herbert Eugene, 1913. Genetics. New York, The Macmillan Company.
Whetham, W. C. D. and C. D., 1909. The Family and the Nation. London, Longmans, Green and Company.
Woods, Frederick Adams, 1906. Mental and Moral Heredity in Royalty. New York, Henry Holt and Company.
Various Authors, 1914. Eugenics; Twelve University Lectures. New York, Dodd, Mead and Company.
Journals:
The Journal of Heredity. The organ of the American Genetic Association, Washington, D. C.
The Eugenics Review. Issued at the University of London.
Memoirs and Bulletins published by the Eugenics Record Office, Cold Spring Harbor, Long Island, N. Y.
Every one interested in eugenics should be acquainted with the work of this office. In its own words its functions are:
1. To serve eugenical interests in the capacity of repository and clearing house.
2. To build up an analytical index of the traits of American families.
3. To train field workers to gather data of eugenical import.
4. To maintain a field force actually engaged in gathering such data.
5. To cooperate with other institutions and with persons concerned with eugenical study.
6. To investigate the manner of inheritance of specific human traits.
7. To advise concerning the eugenical fitness of proposed marriages.
8. To publish results of researches.
To such persons as will undertake to fill them out it furnishes free in duplicate (one copy to be retained by the applicant) the following blank schedules: 1. Record of Family Traits. 2. Index to Germ-plasm—A Parallel Family Record for Prospective Marriage Mates. 3. Musical Talent. 4. Mathematical Talent. 5. Tuberculosis. 6. Special Trait Chart. 7. Harelip and Cleft-palate.
Publications of the Volta Bureau of Washington, D. C., an institution given over entirely to data regarding deaf mutes.
Studies in National Deterioration. The University of London.
Memoirs and Lectures, from the Biometric Laboratory, University of London.
Treasury of Human Inheritance, a series of studies being issued from the Eugenics Laboratory, University College, London.
INDEX
Ability: 118;
calculating, literary, musical, 120.
Able child likely to be neglected, 257.
Achondroplasy, 113.
Acquired characters, inheritance of, 121.
Adami, 164.
Adaptations, establishment of, 140.
Adaptive responses, 201.
Agassiz, 297.
Albinism, in man, 116.
Alcohol: and crime, 279;
and degeneracy, 172, 179;
and germinal tissue, 172;
a poison, 168.
Alcoholism: 101, 117, 167;
factors in, 180;
in lower animals, 173-178;
views regarding inheritance of, 169, 170, 172, 178, 179, 180.
Alkaptonuria, 117.
Allelomorph, 77.
Alpine plants, non-inheritance of acquired characters, 131.
Alternative action in behavior, 207.
Altruism, possible origin of, 220.
Ambystoma, 132.
Ameba, 23, 24.
Ancestors, number of, 4.
Ancestry: a network, 3;
dual, 6;
in royalty, 5;
pride of, as a eugenic agent, 309.
Backward child, 256.
Backwardness, importance of early determination, 256, 257.
Bardeen, 126.
Barker, 229.
Barr, 246, 247, 248.
Barrington, 179.
Bateson, 77, 82.
Bees, inheritance in, 136, 137.
Behavior: lower animals, 197;
modifiability of, 200, 204-207, 217, 219, 224, 225, 337;
not wholly established by heredity, 217, 227;
rational, 205, 206;
various forms of, possible, 207, 219.
Bell, 152.
Bezzola, 170.
[Pg 362]
Billings, 249.
Binet-Simon test, 255.
Biometry, 16.
Birthmarks, 159, 160.
Birth-rate: significance of, 302;
too low in desirable stocks, 302, 304, 305, 307.
Blastomeres, 55.
Blastophthoria, 163.
Blended inheritance, 87, 92, 93.
Blends, mistakes for, 91.
Blindness, infantile, 183.
Blistering, 113.
Body: how built up from germ, 36;
duality of, 50.
Brachydactylism, 107.
Brain: in higher animals, 213;
mechanism, maladjustments of, 230.
Branthwaite, 180, 292.
Breeding, experiments, method of, 14, 15.
Brewer, 142.
Brieux, 101.
Bronner, 266.
Brown Sequard, 132, 133.
Cabot, 183.
Cacogenic strains, 310.
Cajal, 209.
Cancer, 117, 154.
Capsella, 131.
Castle, 134.
Cataract, presenile, 112.
Cattle: horn characters, 79;
roan, 81.
Cell: a unit of structure, 20;
diagram of, 21;
structure of, 20, 30.
Cell-division: 31;
indirect (mitosis), 32;
meaning of indirect, 34.
Cell-theory, 22.
Cellular basis of heredity, 22.
Ceni, 174.
Centrosome, 31.
Cerebral cortex, not functionally homogeneous, 211.
Character: defined, 12;
dominant, 74;
recessive, 74.
Characters: contrasted, 69;
determiners of, 13, 14;
independence of, 69;
inheritable and non-inheritable, 121, 122;
more than two pairs of, 87;
new combinations of, 82, 83, 84;
separable, 69;
symbols for, 78;
two pairs of, 82.
Chauvin, 132.
Chemotropism, 198.
Childbirths, intervals between, 165.
[Pg 363]
Children of the future: ours to determine quality of, 338, 339;
and home, 338.
Cholera, 152.
Chorea: 117;
Huntington’s, 113-115, 243, 325.
Chromatin, 31.
Chromosome, 32.
Chromosomes: individuality of, 39, 48;
determiners in, 94;
in germ and body cells, 40;
Mendelian factors and, 93;
number and appearance, 34, 41;
pairs of, 40, 93, 94;
significance of, in heredity, 35, 49, 50, 51, 53, 54.
Chromotropism, 198.
Church, 242.
Cleavage, 36.
Cleft-palate, 178.
Cole, 166.
College graduates and birth-rate, 304.
Coloboma, 113.
Color-blindness, 60-62.
Conceptual thought, origin of, 206.
Conduct: importance to young of practise, 221, 223;
hereditary predisposition and, 218, 337;
responsibility for, 195.
Congenital traits, 123.
Conjugation, 25.
Consciousness, 206.
Conservation: of superior strains, 157;
human, 299, 300.
Constructive eugenics, 309.
Corneal opacity, 113.
Correns, 68.
Cortex of brain, 195, 213.
Cost, of caring for our disordered and delinquent, 257, 300.
Cretins, effects of segregating the sexes, 321.
Crime: and delinquency, 263, 287;
and feeble-mindedness, 264-270;
bearings of immigration on, 280;
classifications of, 276;
defined, 276;
heredity vs. environment in, 263;
increase in, 272;
mental disorders most frequently associated with, 279;
no specific hereditary factor for, 275.
Criminal: the born, 277;
the epileptic, 277.
Criminality, 117.
Criss-cross inheritance, 61.
Criteria for judging reproductive fitness, 304, 306.
Cytoplasm: 30;
in heredity, 51.
Daltonism, 60.
Dana, 257.
Darwin, pedigree of, 316.
Davenport, 92, 116, 231, 243, 257, 271, 273, 284, 291, 304, 312.
Davis, 185.
Deaf-mutism, 152, 153.
[Pg 364]
Death, natural, 28.
Decline of nations, 290, 300.
Defective delinquent, should prevent procreation of, 335.
Defectives: increase due to breeding, 290, 291;
natural elimination done away with among, 292;
unpardonable to let multiply, 288.
Defects: breeding out, 118, 119;
mental and nervous, 228.
Degenerate strains: 269;
not a product of surroundings, 273.
Degenerates, sterilization of married, 330.
Delinquency, causes of, 267, 274.
Delinquents not all defectives, 274.
Delinquent women and girls, many mentally defective, 265, 266.
Dendrite, 208.
De Sanctis, 256.
Determiners: 13, 77;
different producing the same character, 88, 90;
segregation of, 84.
Development: in higher organisms, 28;
suppressed, 9.
De Vries, 68.
Diabetes, 113.
Difficulty, educational value of, 222, 223.
Digital malformations, 107.
Dihybrids, 82.
Diploid number of chromosomes, 41, 43.
Disease: defined, 146;
inheritance of, 98, 148;
predisposition to, 148;
reappearance of not necessarily inheritance, 146.
Dominance: 74;
delayed, 81;
incomplete, 80, 100;
in human genealogies, 102;
in man, 99, 107.
Don Carlos, number of ancestors, 5.
Drosophila, 66.
Duplex character, 80, 99.
Dwarfing, by starvation, 130.
Dwarfs, true, 117.
East, 91.
Education: actual practise in carrying out projects important, 221;
affording opportunity for development of good traits, 226;
effects of not inherited, 142, 155;
establishing pathways through the nervous system, 210;
importance of difficulty in, 222, 223;
non-transference of skill acquired in one line to other lines, 213;
providing proper stimuli, 226;
training in motive necessary, 220;
value of interest in, 223.
Egg, a cell, 22.
Egg-cell and sperm-cell contrasted, 29.
Elderton, 179, 296.
Electrotropism, 198.
[Pg 365]
Ellis, 265, 301.
Embryo, relation to mother, 161.
Embryogeny, 36.
Emerick, 251.
Environment: direct action on germ cells, 124, 125;
effects of faulty, 158;
in crime and delinquency, 263, 266, 273, 274.
Epidermolysis, 113.
Epilepsy: 101, 117, 242, 249, 251, 252, 253;
in guinea-pigs, 132;
relation to feeble-mindedness, 249.
Epileptic, the criminal type, 277-279.
Epileptics, number of, 230, 246, 250.
Eugenic agent, educated public sentiment, 330.
Eugenics: and education, 309;
and personal liberty, 332;
a working program of, 335;
constructive, based on education, 301;
defined, 293;
desirable traits, 306;
education of women in, 333;
influence of public opinion on, 331;
much yet to be done, 333, 334;
positive and negative, 301.
Ewart, 10, 165.
Exceptional child likely to be neglected, 257.
Experimental breeding, method of, 15.
External conditions, influences of, 130.
Eye-color: 9, 103;
inheritance of, 104.
Eye-defects, 108, 110.
Family pride and eugenics, 309.
Farabee, 106.
Fay, 153.
Feeble-minded: prevention of procreation in, 258, 335;
results of non-restraint, 246.
Feeble-mindedness: 101, 117;
and crime, 264-269, 279;
grades of, 244;
inheritance of, 245;
not insanity, 238;
relation of alcohol to, 169-172.
Fernald, 256, 266.
Fertilization, 26, 29, 47, 48.
Fetus: poisoning of, 162;
relation to mother, 161.
Fiber-tracts in man, 214.
Fitness, criteria for judging, 304, 306.
Flexner, 186.
Forel, 169, 173, 303.
Fowl, Andalusian, 69, 70, 71.
Frederick the Great, number of ancestors, 5.
Friedreich’s disease, 117.
Fruit-fly, 66.
Galton, 293, 295.
Gamete, 28, 40.
[Pg 366]
Gametes in dihybrids, 85.
Gametic matings in man, 100.
Geddes, 55.
Genealogies, imperfect, 98.
Genotype, 86.
Geotropism, 198.
Germ and body distinct, 37, 38.
Germ: control of possibilities in, 224;
singleness of, 50.
German emperor, number of ancestors, 5.
Germ-cells: affected by poisons, 126;
changes in, 126, 127;
early set apart, 37;
question of effects of body on, 128, 135;
effects of external influences on, 124;
in Miastor, 37, 38;
metabolic changes in, 138;
origin of, 36, 37;
possibilities of development, 127;
two classes of, 71, 73.
Germinal continuity, 39.
Germinal variation and the origin of new characters: 138;
cases analyzed, 141;
sexual reproduction in relation to, 138.
Germ-plasm and bad environment, 194.
Gifted persons, 212.
Glaucoma, 113.
Goddard, 118, 171, 174, 188, 235, 238, 245, 250, 256, 257, 264, 269, 326.
Gonads, transplantation of, 134.
Gonorrhoea: seriousness of, 182;
prevalence, 183.
Gorst, 234.
Gout, 153, 234.
Guinea-pigs: alcoholism in, 175;
Mendelism in, 75.
Guyer, 59.
Habit, 219.
Habits, modification of in lower animals, 204.
Hair-color, 105.
Hair shape, 105.
Hamburger, 150.
Handwriting, 120.
Haploid number of chromosomes, 41, 43.
Harelip, 178.
Hart, 266, 319, 326.
Healy, 256, 274, 278.
Hearing, hardness of, 118.
Heart disease, 154.
Hegner, 27, 38.
Heliotropism, 198.
Helm, 109, 111.
Hemophilia, 64.
Hereditary character defined, 12.
[Pg 367]
Hereditary mingling, mosaic rather than blend, 13.
Hereditary transmission, laws of, 68.
Heredity: and environment, 295;
dual ancestry in, 6;
defined, 1;
false, 163;
human, uncertainty of records, 98;
in protozoa, 22, 23;
in insanity, importance of, 261;
in sexually reproducing forms, 7;
in unicellular forms, 22, 23;
methods of study, 14, 15;
new discoveries in, 67;
not a blend, 13;
race betterment through, 289.
Heritage, blood, 1.
Heron, 307.
Heterozygote: 80;
detection of, 80.
Hill-folk, the, 271.
Hodge, 175.
Holmes, 203.
Home, for children, 338.
Homozygote, 80.
Huntington’s chorea, 113-115, 243, 325.
Huxley, 195, 205.
Hybrids: 52;
whites and negroes, 297, 298.
Hypotrichosis, 113.
Hysteria, 117.
Ichthyosis, 65.
Ideals, importance of establishing in children, 223.
Idiots, 244.
Imbeciles, 244.
Immigrants, duty of excluding undesirable, 335.
Immigration: and mental unsoundness, 281, 282;
bearing on crime and delinquency, 280;
bearing on venereal diseases, 282;
importance of restricting, 283, 335.
Immortality: of protozoa, 23;
of the race, 3.
Immunity, artificial, not inherited, 155.
Inbreeding, in defectives, 271.
Individual, and race, 3.
Inebriate women, offspring of, 168.
Inebriety, constitutional, 180.
Infant mortality, 149.
Infection, prenatal, 147.
Inheritance: and disease, 146;
blended, 87, 93;
of tendencies, 107.
Inhibitions, 216.
Inhibitors, 79.
Insane, increase in numbers of, 233, 234.
Insanity: 117;
certain forms recessive, 243;
eugenical significance of, 234, 235, 240;
importance of early diagnosis, 259;
some forms not hereditary, 260;
types of, 239;
prevalence in the United States, 228, 229.
[Pg 368]
Insect colors, effect of temperature, 129.
Instincts: 203;
adjustable, 203;
not inherited acquirements, 144;
origin of intelligent behavior from, 203, 204.
Institutional figures misleading, 266.
Intelligence, 205, 206.
Intelligent behavior, opening up possibilities of, 204.
Ireland, 171.
Irritability, characteristics of living protoplasm, 197.
Jennings, 203, 204.
Johnson, 305.
Johnstone, 245, 319, 320, 321.
Jolly, 243.
Jordan, 4, 299.
Jukes, 270.
Kallikak family, 269, 270.
Kellicott, 314, 316.
Kellogg, 299.
Keratosis, 113.
Kidney diseases, 154.
Kirby, 187, 324.
Knox, 256.
Kraeplin, 242.
Laitinen, 174.
Language, as mental aid, 206, 207.
Lapsed intelligence, theory of, 145.
Larval stages, susceptibility of, 128.
Laws, sterilization, 323, 327, 329.
Lead-poisoning: 163;
experiments on rabbits, 163.
Lederbaur, 131.
Legal restraint of defectives limited, 331.
Lens: displaced, 113;
cataract, 112.
Leprosy, 152.
Leptinotarsa, production of variations in, 125.
Linden, Countess von, 129.
Linin, 31.
Little’s disease, 215.
Locomotor ataxia, 187.
Loeb, 62, 203.
Longevity, 120.
Lord Morton’s mare, 10.
Lorenz, 113, 114, 115.
Low birth-rate, 308.
Lowell, Judge John, 312.
Luetin test, 188.
Lunborg, 243.
[Pg 369]
MacDougal, 125.
Margaret, Mother of Criminals, 270.
Marriage: barriers to, 331;
inter-racial, 296;
medical inspection before, 191.
Mast, 203.
Maternal impressions, 159-160.
Maturation: 39, 41, 43, 44;
parallel between egg and sperm-cell, 44, 46.
Mechanical skill, 120.
Mechanism of heredity, 22, 25, 26, 28, 29, 30, 35, 37, 40-54, 94, 95.
Melancholia and crime, 279.
Memory: 120, 204;
not a complete test of normality, 268, 269.
Mendel: 68;
work on peas, 82.
Mendelian factors and chromosomes: 93;
inheritance and man, 97;
principles, rediscovery of, 68;
ratio, cause of, 71.
Mendelism, 67, 69.
Mental and nervous defects, 228.
Mental defective: defined, 255;
disproportionate increase in, 232;
numbers married, 231, 232;
inefficiency of marriage laws concerning, 315.
Mental deficiency: not always inherited, 248;
tests for, 254, 255.
Mental organization of lower vertebrates, 205.
Mental process as neural process, 195.
Mental unsoundness, 196.
Mentality, inheritance of, 19.
Mentally disordered, cost of caring for, 257, 258.
Mercier, 279.
Merriere’s disease, 117.
Metazoa, 28.
Metz, 41.
Mice, 78.
Michigan, state report on mentally defective, 234.
Migraine, 101.
Mind, relation to brain, 195.
Mitosis: 32, 33;
meaning of, 34, 37.
Mjöen, 171.
Modifiability of behavior, 200, 204, 205, 207, 217, 219, 224, 225, 337.
Mongolians, 248.
Moral responsibility, 227.
Morgan, C. Lloyd, 146, 211.
Morgan, T. H., 59, 66.
Moron, 244, 268.
Morons and crime, 268.
Mosaic, heredity a, 13.
[Pg 370]
Motherhood, safeguarding, 165.
Motive, training in, 220.
Mott, 150.
Mulattoes, 92.
Multiple sclerosis, 64, 117.
Muscular atrophy: 113;
Gower’s, 65.
Musical ability, 120.
Mutations: artificial production of, 125;
germinal, 125.
Mutilations, non-inheritance of, 134.
Myopia, 64.
Naegeli, 131.
Nam family, 271.
Natural selection partly done away with in human society, 292.
Near-sightedness, 64.
Nervous and mental diseases, 153.
Nervous organization, inheritable, 242.
Nervous response, in lower organisms, 196.
Nervous system: mainly inherited, 210, 216;
establishment of pathways in, 210;
maladjustments of, 231;
special developments in man, 213, 214, 215;
units of, 208.
Nervous systems of anthropoids, 214.
Neural pathways, not all established at birth, 217.
Neuritis optica, 65.
Neurons, 208.
Neuron theory, 208.
Neuropathic constitution, expression of, 241.
Neuropathic defects, carriers of, 253.
Neuter insects, heredity in, 136, 137.
New characters, origin of, 138.
Newman, 56.
Nicloux, 172.
Night-blindness, 65.
Nilsson-Ehle, 88, 89.
Noguchi, 186.
Nucleolus, 31.
Nucleus, structure of, 31.
Nulliplex character, 80, 100.
Obesity, 120, 154.
Offspring: from one parent only, 5;
different from either parent, 12.
Oöcyte, primary, secondary, 44.
Oögenesis, 44.
Oögonia, 44.
Optic nerve, atrophy of, 64.
Organs, formation of, 36.
[Pg 371]
Origin of sex cells, 12, 36.
Ovaries, transplantation of, 134.
Ovum, 26, 40.
Paralysis, general, 186.
Paranoia, 279.
Parent-body and germ distinct, 12.
Parenthood, cultivation of wholesome sentiment toward, 336.
Paresis: 186;
and crime, 279.
Parthenogenesis, 6.
Patterson, 56.
Paul, 163.
Pearson, 150, 151, 179, 296, 307.
Peas, 68, 82.
Performance tests, 256.
Peron, 133.
Personality determined by heredity, 2, 195.
Peterson, 242.
Phenotype, 86.
Phillips, 134, 135.
Phototropism, 198.
Pinard, 165.
Pineys, the, 271.
Plato, 290.
Poellman, 271.
Polar bodies, 44, 45.
Polydactyly, 108.
Potato-beetle, production of variations in, 125.
Potts, 292.
Predisposition to disease, 148.
Pregnancy, neglect of mothers during, 165.
Prenatal care: 336;
infection, 147;
influence, 11, 159, 162.
Prenuptial medical inspection desirable, 336.
Presence and absence theory: 78;
formulæ for man, 99.
Primrose, experiments on, 125.
Principles, Mendelian, 68.
Prisoners, many mentally subnormal, 266.
Pronucleus, 47.
Protective coloration, not of somatic origin, 135, 136.
Protoplasm, germinal, 39.
Psychical development, 196, 203, 205, 206, 213, 215.
Pyramidal tracts, 214.
Quagga hybrid, 10.
Race amalgamation: 297, 298;
deterioration, in a selected population, 303.
Racial degeneracy, not curable by improved environment alone, 294.
[Pg 372]
Ratio: the 1:2:1, 73;
the 3:1, 77;
the 9:3:3:1, 85;
the 27:9:9:9:3:3:3:1, 87;
the 15:1, 88;
the 63:1, 90.
Rational behavior, 205, 206.
Reason, 206.
Recessiveness: 74;
in man, 115.
Records of family traits desirable, 337.
Reduction division, 41, 42.
Reflexes, 203.
Regression, law of, 17.
Renault, 172.
Rentoul, 232.
Reproduction: asexual, 6, 26;
sexual, 26;
sexual and variation, 139.
Reproductive cells, 27, 28, 29.
Responsibility for conduct, 195.
Rest, importance of, in pregnancy, 165.
Reversion: 7, 8;
and atavism, 8;
in guinea-chicken hybrids, 8.
Rheotropism, 198.
Rheumatism, 154.
Ritter, 143.
Rogers, 246, 272.
Romanes, 133.
Rosanoff, 243.
Rossolimo, 256.
Rudin, 243.
Salpingectomy, 322.
Sanford, 205.
St. Vitus’ dance, 117.
Schulze, 24.
Schuster, 296.
Sclerosis, multiple, 64, 117.
Segregation: in dihybrids, 84;
Mendelian, 69, 70, 75;
of defectives, 318.
Seguin, 256.
Self-control, importance of, 221, 267, 268, 284, 286, 287.
Sex: and chromosomes, 59;
and heredity, 53;
cells of Volvox, 25;
chromosome, 57, 58;
determination, 55;
differentiation and X-element, 60;
evolution of, 25-30;
hygiene, question of school instruction in, 285;
in certain insects, 56;
linked characters, 60, 65;
not a necessary factor in heredity, 6;
problem, knowledge alone not sufficient, 286.
Sexual vice, 284.
Sharp, 322.
Simplex character, 80, 99.
Skill, non-transference in brain, 212, 213.
Skin, color of, 92.
[Pg 373]
Smallpox, 152.
Social maladies, prevention of, 293.
Softening of the brain, 186.
Soma, 28.
Spermatid, 43.
Spermatocyte, primary, secondary, 43.
Spermatogenesis, 42.
Spermatogonium, 43.
Spermatazoon: 26, 40;
a cell, 22;
formation of, 43;
structure of, 43.
Spindle, in cell-division, 32.
Spottedness of hair-coat, 113.
Sprague, 281, 305.
Starfish, training a, 204.
Statistical methods, 15.
Statistics, trustworthy needed, 334.
Stature, inheritance of, 17.
Stereotropism, 198.
Sterility, 182.
Sterilization: 322;
in epilepsy, 326;
laws, 323;
laws, on trial, 329;
laws, states having, 327.
Stevens, 41.
Stockard, 174-178.
Strength, muscular, 120.
Stripes, reversionary, 8.
Stutzman, 305.
Sullivan, 168.
Superior strains, conservation of, 157.
Synapse, 210.
Synapsis, 41, 42.
Syndactyly, 65, 108, 111.
Syphilis: 184-190;
and prostitutes, 185;
cerebro-spinal form, 189-190;
prenuptial inspection for, 190-192;
prevalence, 186;
stages of, 185;
tests for, 188.
Syphilitics: children of, 187, 188;
married, 190.
Tabes dorsalis, 186.
Taints, 101.
Talent, inheritance of, 212.
Taylor, 297.
Telegony, alleged cases of, 10.
Temperament, inheritance of, 19.
Thermotropism, 198.
Thigmotropism, 198.
Third generation, segregation in, 69.
Thomsen’s disease, 118.
Thomson, 55.
Thorndike, 296.
[Pg 374]
Tower, 125.
Training of children: and heredity, 218;
faults in, 221, 222.
Transmission, not necessarily inheritance, 163.
Tredgold, 170.
Treponema pallidum, 185.
Tribe of Ishmael, 271.
Tropic responses: often purposeful, 201;
uncertainties in, 202.
Tropisms: 197;
complications in, 200;
in plants and animals, 198;
relations to reflex actions and instincts, 203.
Tschermak, 68.
Tuberculosis, 118, 148-160, 162.
Twins: identical, 55;
sex of, 55.
Typhoid, 152.
Unemployed, frequently morons, 280.
Unfit, elimination of, urgent, 313.
Unit-character: 12;
inheritance of, 13.
Unicellular organisms: 21;
inheritance in, 22, 23.
Use and disuse, 122.
Van Ingen, 167.
Vasectomy, 322.
Venereal disease, 182.
Virchow, 147.
Voison, 133.
Volitions as tropisms, 199.
Volvox, 25, 26, 27.
War, eugenical effects of, 299.
Wasserman, provocative, 189.
Wasserman test, 188, 189.
Webbed digits, 65.
Weeks, 251, 252, 253, 291.
West, 167.
Wheat, 75, 81, 88.
Whetham, 314, 316.
Whitman, 145.
Wilmarth, 243, 245, 274, 291.
Wilson, 59, 62, 94, 95.
Woods, 296.
X-element, 57, 58.
Zebra hybrids, 10.
Zeros, the, 271.
Zygote: 26, 27;
chromosomes of, 40.
Footnotes:
[1] The reader desiring more detailed information will find fuller discussions in the following:
Wilson, E. B.: Recent Researches on the Determination and Heredity of Sex. Science, January 8, 1909.
Wilson, E. B.: The Chromosomes in Relation to the Determination of Sex. Science Progress, April, 1910.
Guyer, M. F.: Recent Progress in Some Lines of Cytology. Transactions of the American Microscopical Society, April, 1911.
Morgan, T. H.: Heredity and Sex. Columbia University Press, 1913.
[2] A translation of Mendel’s original papers will be found in Mendel’s Principles of Heredity, by W. Bateson.
[3] Heredity of Skin Color in Negro and White Crosses: Publication No. 188, of the Carnegie Institution of Washington.
[4] Whitman, C. O.: Animal Behavior, Biological Lectures, Marine Biological Laboratory, 1898.
[5] The Fight Against Tuberculosis and the Death Rate from Phthisis, London, Dulau & Co., 1911.
[6] Forel, August: The Sexual Question, p. 268.
[7] Loc. cit. p. 251.
[8] In this connection it is instructive to note from a Michigan state report, just off the press, that, among 4,917 insane individuals concerning whom satisfactory information was obtained, 65.4 per cent. “had among their ancestors or family such hereditary influences as insanity, apoplexy or paralysis, psychopathic abnormalities or alcoholism.” See Report of the Commission to Investigate the Extent of Feeble-mindedness, Epilepsy, Insanity and Other Conditions of Mental Defectiveness in Michigan. Wynkoop Hollenbeck Crawford Co., State Printers, Lansing, Michigan, 1915.
[9] Feeble-mindedness; Its Causes and Consequences, by Henry H. Goddard, The Macmillan Company, 1914.
[10] The Binet-Simon Measuring Scale for Intelligence, by Henry H. Goddard, 1911. The Training School, Vineland, N. J. Price 15 cents.
[11] “Tests for Mental Defects,” by Howard A. Knox, Journal of Heredity, March, 1914. See also Knox: Journal of the American Medical Association, 1914.
[12] The Individual Delinquent, by William Healy, M. D. Little, Brown & Co., Boston.
[13] The Individual Delinquent, by William Healy, M. D. Little, Brown & Co., Boston.
[14] The Psycopathic Laboratory in connection with the Juvenile Court of Chicago.
[15] See “The Foreign Born in the United States.” The National Geographic Magazine, September, 1914.
[16] See First Report of the Committee of the Eugenic Section of the American Breeders’ Association, “On Immigration”, American Breeders’ Magazine, Vol. III, No. 4, 1912. Also Second Report of same, The Journal of Heredity, July, 1914.
[17] “The Negro and His Health Problems,” Medical Record, September 12, 1912.
[18] See D. S. Jordan, The Human Harvest, or V. L. Kellogg, Eugenics and Militarism.
[19] For arguments indicating the superior eugenical fitness of college graduates see “Wellesley’s Birth-Rate,” by Roswell H. Johnson and Bertha Stutzman, The Journal of Heredity, June, 1915. See also, “Education and Race Suicide,” by Robert J. Sprague, ibid., April, 1915.
[20] Since the present manuscript went to press an excellent government report (Insane and Feeble-Minded in Institutions in 1910, Department of Commerce, Bureau of the Census, 1914, Washington, D. C.) has appeared. In it one finds the estimate that not over one-tenth of our feeble-minded are being cared for in special institutions.
[21] For summaries of existing sterilization laws and statements of the issues involved see (1) The Legal, Legislative, and Administrative Aspects of Sterilisation, Bulletin 10B, February 3, 1914, Eugenics Record Office, Cold Spring Harbor, N. Y.; (2) Sterilisation of Criminals, Report of Committee H of the American Institute of Criminal Law and Criminology, Bulletin No. XV, September, 1914.